Research Article - (2025) Volume 4, Issue 3
Stability Analysis of a System of Stochastic Difference Equations with Exponential Nonlinearity
Received Date: Oct 20, 2025 / Accepted Date: Nov 14, 2025 / Published Date: Nov 24, 2025
Copyright: ©©2025 Leonid Shaikhet. This is an open-access article distributed under the terms of the Creative Commons Attribution License, which permits unrestricted use, distribution, and reproduction in any medium, provided the original author and source are credited.
Citation: Shaikhet, L. (2025). Stability Analysis of a System of Stochastic Difference Equations with Exponential Nonlinearity. Curr Res Stat Math 4(3), 01-09.
Abstract
A system of two difference equations with exponential nonlinearity in each equation is studied under stochastic perturbations. Conditions of the stability in probability of a positive equilibrium are studied by virtue of the general method of Lyapunov functionals construction and the method of linear matrix inequalities (LMIs). The obtained results are illustrated via examples and figures with numerical simulation of the solution of the system of stochastic difference equations. The proposed research method can be applied to nonlinear systems of higher dimension with an order of nonlinearity higher than one, both for stochastic difference equations and for stochastic differential equations with delay in various important applications, for example, in quantum physics, in population models and others.
Keywords
Nonlinear Difference Equations, Positive Equilibrium, Stochastic Perturbations, Asymptotic Mean Square Stability, Stability in Probability, Linear Matrix Inequality (LMI), Numerical Simulations, MATLAB MSC: 39A30; 39A50
Introduction
Systems of both difference and differential equations with different forms of exponential nonlinearities are very popular in research and various applications (see, for instance, [1–17] and references therein), in particular, the model from quantum physics [5], the model of Nicholson’s blowflies [2] or Mosquito population equation [12].
Here, similarly to [14], the stability of the positive equilibrium of a system with exponential nonlinearity is investigated under stochastic perturbations via the general method of Lyapunov functionals construction [16,18–20] and the method of linear matrix inequalities (LMIs) [21–29]. However, unlike, for instance, [7,14], where the exponential nonlinearity in each equation depends on only one variable, here each equation exponentially depends on all variables of the system under consideration. The obtained results are illustrated via examples and figures with the equilibrium and numerical simulation of the solution of the considered system of difference equations. Numerical analysis of the considered LMIs is carried out using MATLAB.
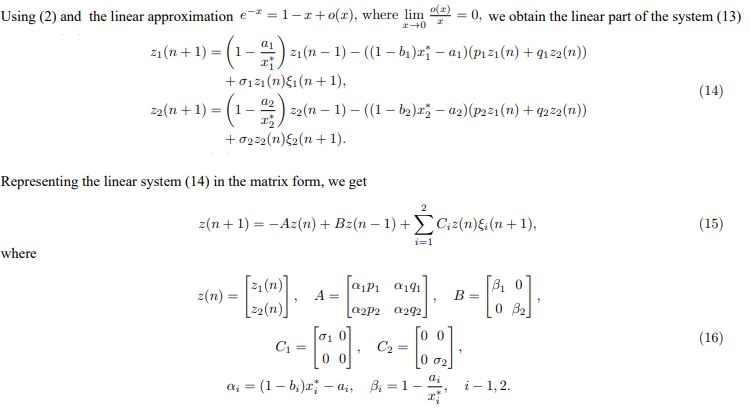
Consider the system of two nonlinear difference equations

Equilibrium


Figure 1: The Graphs of the Functions x2 = f1 (x1) (green) and x2 = f2 (x1) (red)



Stochastic Perturbations and the System Transformation




Stability
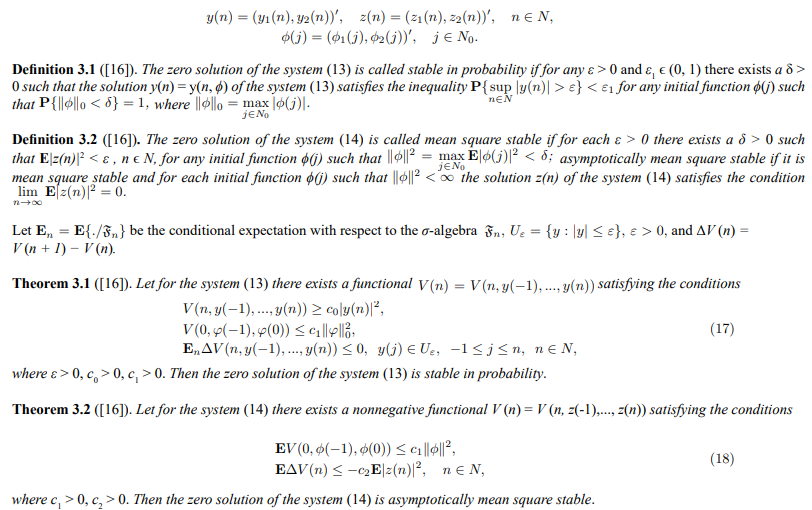
Some Necessary Definitions and Statements
Let ′ be the transposition sign. Put now

Remark 3.1 Note that the system (13) has an order of nonlinearity higher than one. It is known [16] that in this case suficient conditions for asymptotic mean square stability of the zero solution of the linear system (14) are also suficient conditions for stability in probability of the zero solution of the nonlinear system (13).
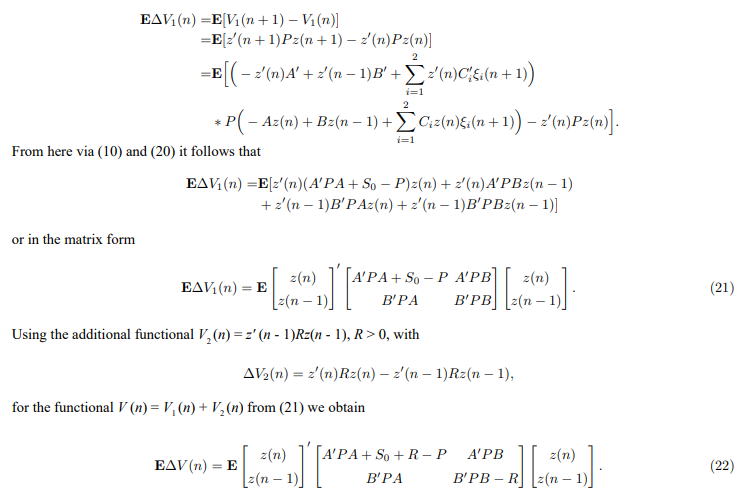
Stability Conditions




Conclusion
Stability of a system of nonlinear difference equations under stochastic perturbations is investigated. The nonlinearity of exponential form in each equation depends on all variables of the system under consideration. The conditions of stability in probability for positive equilibrium of the considered system, obtained via the general method of Lyapunov functionals construction, are formulated in terms of linear matrix inequalities (LMIs) and are illustrated by numerical examples and figures. The method of stability investigation, used in the paper, can be applied to many other types of nonlinear systems with an order of nonlinearity higher than one for both difference and differential equations in various applications.
Data Availability: No data was used for the research described in the article.
Disclosure Statement: No potential conflict of interest was reported by the author(s).
References
- Feckan, M., Marynets, K. (2020). Study of differential equations with exponential nonlinearities via the lower and upper solutions’method. Numerical Analysis and Applicable Mathematics, 1(2), 1-7.
- Feng, Q. X., Yan, J. R. (2002). Global attractivity and oscillation in a kind of Nicholson’s blowflies. Journal of Biomathematics, 17(1), 21-26.
- Francisco, B. B., Rech, P. C. (2023). Multistability, period-adding, and spirals in a snap system with exponential nonlinearity. The European Physical Journal B, 96(5), 63.
- Kara, M. (2023). Investigation of the global dynamics of two exponential-form difference equations systems. Electronic Research Archive, 31(11), 6697-6724.
- Kenkre, V. M., Jørgensen, M. F., Christiansen, P. L. (1996). Exponential nonlinearity and saturation in quantum nonlinear dimers.Physica D: Nonlinear Phenomena, 90(3), 280-292.
- Khan, A. Q. (2022). Global dynamics of a nonsymmetric system of difference equations. Mathematical Problems in Engineering,2022(1), 4435613.
- Papaschinopoulos, G., Radin, M. A., Schinas, C. J. (2011). On the system of two difference equations of exponential form: xn+1 = a+ bx e−yn ,y = c + dy e−xn . Mathematical and Computer Modelling, 54(11), 2969-2977.n−1
- Papaschinopoulos, G., Radin, M., Schinas, C. J. (2012). Study of the asymptotic behavior of the solutions of three systems of difference equations of exponential form. Applied Mathematics and Computation, 218(9), 5310-5318.
- Papaschinopoulos, G., Fotiades, N., Schinas, C. J. (2014). On a system of difference equations including negative exponential terms.Journal of difference equations and applications, 20(5-6), 717-732.
- Papaschinopoulos, G., Ellina, G., Papadopoulos, K. B. (2014). Asymptotic behavior of the positive solutions of an exponential type system of difference equations. Applied mathematics and computation, 245, 181-190.
- Shaikhet, L. (2015). Stability of equilibrium states for a stochastically perturbed exponential type system of difference equations.Journal of computational and applied mathematics, 290, 92-103.
- Shaikhet, L. (2014). Stability of equilibrium states for a stochastically perturbed Mosquito population equation. Dynamics of Continuous, Discrete and Impulsive Systems. Series B: Applications & Algorithms., 21(2-3), 185-196.
- Shaikhet, L. (2023). Stability of the Exponential Type System of Stochastic Difference Equations. Mathematics, 11(18), 3975.
- Shaikhet, L. (2023). Stability of equilibria of exponential type system of three differential equations under stochastic perturbations.Mathematics and Computers in Simulation, 206,105-117.
- Shaikhet, L. (2025). About stability of equilibria of one system of stochastic delay differential equations with exponential nonlinearityModern Stochastics: Theory and Applications, 12(3), 313-324.
- Shaikhet, L. (2011). Lyapunov functionals and stability of stochastic difference equations. Springer Science & Business Media.
- Thai, T. H., Dai, N. A., Anh, P. T. (2021). Global dynamics of some system of second-order difference equations. Electronic Research Archive, 29(6), 4159-4175.
- Kolmanovskii, V., Shaikhet, L. (2002). Some peculiarities of the general method of Lyapunov functionals construction. Applie Mathematics Letters, 15(3), 355-360.
- Kolmanovskii, V., Shaikhet, L. (2003). About one application of the general method of Lyapunov functionals construction International Journal of Robust and Nonlinear Control: IFACâ?Afiliated Journal, 13(9), 805-818.
- Shaikhet, L. (2013). Lyapunov functionals and stability of stochastic functional differential equations. Springer Science & BusinessMedia.
- Boyd, S., El Ghaoui, L., Feron, E., Balakrishnan, V. (1994). Linear matrix inequalities in system and control theory. Society for industrial and applied mathematics.
- Choi, H. H. (1997). A new method for variable structure control system design: A linear matrix inequality approach. Automatica,33(11), 2089-2092.
- Fridman, E., Shaikhet, L. (2017). Stabilization by using artificial delays: An LMI approach. Automatica, 81, 429-437.
- Fridman, E., Shaikhet, L. (2018). Delay-dependent LMI conditions for stability of stochastic systems with delay term in the form of Stieltjes integral. In 2018 IEEE Conference on Decision and Control (CDC) (pp. 6567-6572).
- Fridman, E., Shaikhet, L. (2019). Simple LMIs for stability of stochastic systems with delay term given by Stieltjes integral or with stabilizing delay. Systems & Control Letters, 124, 83-91.
- Gouaisbaut, F., Dambrine, M., Richard, J. P. (2002). Robust control of delay systems: a sliding mode control design via LMI Systems & control letters, 46(4), 219-230.
- Nguang, S. K. (1998). Robust H∞ control of a class of nonlinear systems with delayed state and control: an LMI approach. InProceedings of the 37th IEEE Conference on Decision and Control (Cat. No. 98CH36171) (Vol. 3, pp. 2384-2389).
- Niculescu, S. I. (1998). H∞ memory less control with an α-stability constraint for time delays systems: an LMI approach. IEEETransactions on Automatic Control, 43(5), 739-743.
- Seuret, A., Gouaisbaut, F. (2015). Hierarchy of LMI conditions for the stability analysis of time-delay systems. Systems & Control Letters, 81, 1-7.
- Beretta, E., Kolmanovskii, V., Shaikhet, L. (1998). Stability of epidemic model with time delays influenced by stochastic perturbations. Mathematics and Computers in Simulation, 45(3-4), 269-277.

