Research Article - (2025) Volume 10, Issue 1
Oxidation of Sunflower Oil Using Annona Squamosa and Vangueria Madagascariensis Methanolic Extracts
2College of Agricultural Studie, Sudan University of Science and Technolo gy, Khartoum,1111, Sudan
3University of Jeddah, College of Sciences and Arts, Department of Biology, Jeddah,21589, Saudi Arabia
Received Date: Nov 29, 2024 / Accepted Date: Dec 23, 2024 / Published Date: Jan 07, 2025
Copyright: ©©2025 Sara El Kheir Mustafa Fadul, et al. This is an open-access article distributed under the terms of the Creative Commons Attribution License, which permits unrestricted use, distribution, and reproduction in any medium, provided the original author and source are credited.
Citation: Fadul, S. E. K. M., Ahmed, Y. M., Mariod, A. A. (2025). Oxidation of Sunflower Oil Using Annona Squamosa and Vangueria Madagascariensis Methanolic Extracts. Adv Nutr Food Sci, 10(1), 01-08.
Abstract
The purpose of this study was to assess how Annona squamosa Gishta and Vangueria madagascariensis Kikir methanolic extract affected sunflower oil stabil-ity.Measurements of the formation of peroxide value PVs and the Conjugated Diene CD Test were used to assess the impact of Annona squamosa(Gishta) and Vangueria madagascariensis (Kirkir) Methanolic extracts (Leaves, seed cake and bark) on the ox-idative stability of sunflower oil stored in the dark at 70°C for 72 hours, in compari-son to the control and BHT(butylated hydroxytoluene). The best oxidative stability was demonstrated by plant extracts of Gishta and Kirkir leaves (500 mg), which reduced PVs and decreased C D. These extracts also successfully prevented the formation of peroxides in sunflower oil when compared to 20 mg of BHT.
Keywords
Annona Squamosa, Vangueria Madagascariensis, Oxidative Stability, Conjugated Diene
Introduction
The ability of edible oils to withstand oxidation during handling, processing, and stor- age is known as oxidative stability. Lpid autoxidation is a spontaneous reaction that takes place between unsaturated fatty acids and molecular oxygen via a chain reaction of free radicals that includes the production of hydroperoxides, fat free radicals, and peroxide free radicals [1]. Sunflower oil's high PUFA content makes it extremely prone to lipid oxidation [2]. The analysis of primary oxidation compounds is always performed using the peroxide value (PV) or the conjugated dienes content (CD) since polyunsaturated fatty acid hy- dro peroxides, which are the most susceptible to oxidation, exhibit a strong absorbance at 232 nm [3].
One of the most often determined quality indicators in the production, storage, and sell- ing of oil is Peroxide Value (PV). PV quantifies the total number of peroxides pro- duced as a byproduct of primary oil oxidation and indicates the degree of oxidation in the material [4]. Hydroperoxides, often known as peroxides, are the main byproducts of lipid peroxida- tion. According to [5], the peroxide value estimation results so clearly show lipid autoxidation, evaluating the generation of peroxide value at 70°C, the ef- fects of different plant extracts on the oxidative stability of sunflower oil— which is particularly rich in linoleic fatty acid—were assessed.
Also, the concentrations of con- jugated diene hydroperoxides and conjugated diene non-hydroperoxides as the primary and secondary, respectively, oxidation products are represented by the conjugated diene value (CDV). The value can be ascertained with great ease and sensitivity [6]. Leaves, seed cakes and bark extracts from Annona squamosa and Vangueria madagascariensies are rich in polyphenols and flavonoids and show antioxidant properties [7,8]. The aim of this study is to assess the impact of extracts from Annona squamosa and Vangueria mada- gascariensis on the oxidative stability of sunflower oil kept in the dark at 70°C.
Materials & Methods
Plant Material and Chemicals
An inquiry is now underway on leaves collected from Sudan's Alfola Agricultural Ar- ea, specifically from Annona squamosa and Vangueria madagascariensis. specimens recognized by taxonomists from Khartoum, Sudan's National Center for Research on Medicinal and Aromatic Plants (MAPRI). The plants were preserved for the extraction procedure after being dried in various shades and finely ground with an electric mill.Before beginning the extraction process, the seeds were dried out and then ground into a fine powder using an electric mill. All of the solvents ere of analytical grade.
Preparation of Methanolic Extract
Thirty grams of dried powdered of Annona squamosa (ANL) and Vangueria madagas- cariensis leaves (VML) were sonicated with eighty percent methanol (Hwasin Tech- nology, Seoul, Korea) to obtain a methanolic extract with a solid to solvent ratio of one to ten (w/v) overnight at room temperature. Whatman No. 1 filter paper was used to filter the methanolic extracts. Next, a rotary evaporator (Buchi, Flawil, Switzerland) was used to extract the solvents. Each extract's yield was calculated and stored at -80°C for later examination.
Methods
Oxidation
Sample (sunflower oil) weighing 50g were placed in 250-ml Erlenmeyer flasks and allowed to oxidize at 70ºC in a shaker water bath while kept dark (Kottermann, Hanigsen, Germany). The assessment of oxidative stability was conducted through the periodic analysis of the oil samples' peroxide value (PV) at 0, 2, 4, 8, 16, 24, 32, 48, 56, and 72 hours. Every analysis was carried out twice
Oxidation of Sunflower Oil Using Annona Squamosa and Vangueria Mada- Gascariensis Extracts
To determine the oxidative stability of sunflower oil using dried extracts of Annona squamosa and Vangueria madagascariensis's leaves 100 g of sunflow- er oil was treated with 100, 250, and 500 mg of leaves methanolic extract. 200 ppm of BHT was used as a comparative level. In an ultrasonic water bath (Bandelin Electronic, Berlin, Germany), the dried extracts and the synthetic antioxidant were combined with a minimum quantity of absolute methanol and added to 100 g of oil. The mixture was then mixed again for ten minutes.The same amount of methanol was used to dissolve the extracts and BHT in order to create a control sample [9].Samples and a control group were placed in 250- milliliter Erlenmeyer flasks and left to oxidize at 70 degrees Celsius in the dark within a rattling water bath (Kottermann, Germany). As markers for the primary oxidation of the sunflower oil, the peroxide value (PV) and the inhibi- tion of oil oxidation (IO) were employed. Periodically, the PVs were calculated at 0, 6, 12, 24, 32, 48, and 56 hours. IO is equal to 100 percent - (PV increase of samples/PV increase of control) X 100 percent [10].
Conjugated Diene Test (Bulk Oil System)
Determining conjugated diene (CD) and measuring absorbance at 234 nm were used to assess the oxidative stability of stored sunflower oil (stored at 70°C for 56 hours) as markers for the initial and secondary oxidation of the oil. The CD was calcu- lated at intervals of 0, 6, 12, 24, 36, 48, and 56 hours. Every treatment was adminis- tered three times. Weighing each sample (20–40 mg) into a 25 mL volumetric flask was done. After that, the mixture was fully mixed and isooctane (ACS grade) was add- ed as needed.
Using a Hewlett-Packard 8452 A diode array spectrophotometer, the absorbance was measured at 234 nm. The standard utilized was pure isooctane. The following equation was used to compute the conjugated diene values. According to (11) CD value defined as A/(C-l), where CD stands for conjugated diene, A for absorbance at 234 nm, C for concentration (g/100 ml), and 1 for route length (cm).
Results & Discussion
Effects of Adding Annona Squamosa and Vangueria Madagascariensis Ex- tracts on the Stability of Sunflower Oil as Measured by Peroxide Value
The Peroxide Value PV of sunflower oil (control) increased gradually both with and without ASL, ASC, VML, VMC, VMB, and BHT. As shown in Figs. 1, 2, and 3, the control group obtained a maximum PV of 38.5 meqO2/kg) after 56 hours of storage without the addition of extract or BHT. It was discovered that the PVs of sunflower oil containing 100 mg of VML, ASL, ASC, VMC, VMB, or 20 mg BHT were, in that or- der, 12.5,13, 15, 15.2, 17, and 8 meq O2 kg-1 (Fig.1). Upon 56 hours of storage, these samples displayed an IO of 72, 70, 65, 64, 59, and 82%, respectively, in contrast to the control. It follows that every extract that was add- ed had a strong antioxidative action that prevented oil deterioration. The extracts with the highest activity were VML and ASL; however, BHT appeared to have a greater effect. As shown in Figure 2, the PVs of sunflower oil containing 250 mg of VML, ASL, ASC, VMC, VMB, or 20 mg BHT were determined to be, respectively, 11.5,13,13, 14,15, and 8 meq O2/kg-1. After 56 hours of storage, these samples displayed an IO of 71, 67,67, 65, and 82%, respectively, as compared to a control. This suggests that every extract used has exceptional antioxidative activity to reduce the deterioration of the oil. The most active was BHT, which was followed by ASL and VML.According to Figure 3, the PVs of sunflower oil containing 500 mg of ASL, VML, ASC, VMC, VMB, or 20 mg of BHT were 7, 7.5, 10,12.5, 17, and 8 meq O2 kg-1, in that order. Mariod ,et. al, and Mustafa, evaluated the phenolic compounds of methanolic extracts of Annona squamosa and Vangueria madagascariensis (leaves, bark, roots, and seedcake) as shown in Fig.1 and HPLCDAD and the Folin- Ciocalteau method were used to measure the total phenolic content of the ex- tracts under examination. The GAE values for A. squamosa roots, Vangueria madagascariensis bark, A. squamosa bark, and Vangueria madagascariensis leaves were 171.5, 170.4, 169.5, and 167.9 g/kg plant extract, respectively[7,8]. Usg the 1,1-diphenyl-2-picrylhydrazyl (DPPH) assay, Mariod,et.al, and Mustafa, results also demonstrated that the extracts of Vangueria madagascariensis and A. squamosa exhibited antioxidant properties[7,8]. The IC50 values ranged from 7.81 to 62.5 and from 7.81 to 125.0 μg/ml, respectively as shown in Table 1
Figure1: The Total Phenolic Content of Methanolic Extracts of Annona Squamosa, And Vangueria Madagascariensis Bark, Leave, Root and Seedcake
Source:( Mariod.et.al, and Mustafa.et.al,) [7,8].
ASC: Annona squamosa seed cake.
ASR: Annona squamosa root
VMC: Vangueria madagascariensis seed cake.
VMB: Vangueria madagascariensis bark.
VML: Vangueria madagascariensis leaves.
ASL: Annona squamosa leaves.
ASB: Annona squamosa bark.
|
Extract |
IC50 μg /ml |
ORAC ( μM of Trolox) |
|
VMB |
62.5± 0.5 |
47.08± 0.23 |
|
VMC |
31.3± 0.3 |
44.94± 0.34 |
|
VML |
7.81± 0.1 |
72.72± 0.89 |
|
ASC |
15.6± 0.2 |
87.95± 0.96 |
|
ASB |
125.0± 0.4 |
84.62± 0.31 |
|
ASL |
7.81± 0.1 |
29.60± 0.17 |
|
ASR |
7.81± 0.1 |
65.20± 0.51 |
|
Ascorbic Acid |
3.13± 0.1 |
0.00 |
|
Quercetin |
0.00 |
58.97± 0.02 |
Table1: Results of DPPH (IC50) of Annona Squamosa, and Vangueria madagascariensis methanolic extracts
*Results are mean ± SD (n=3). Ascorbic Acid usded as control for ISC50, while Quercetin was used as control for ORAC and it was found 58.97± 0.02
Source:( Mariod.et.al, and Mustafa.et.al,) [7,8].
VMB: Vangueria madagascariensis bark.
VMC: Vangueria madagascariensis seed cake.
VML: Vangueria madagascariensis leaves.
ASC: Annona squamosa seed cake.
ASB: Vangueria madagascariensis bark.
ASL: Annona squamosa leaves.
ASR: Annona squamosa roots.
This result is based on Mariod,et.al, and Mustafa, findings, they discovered that these extracts had good antioxidant activity [7,8]. Additionally, they discovered that the leaf extracts of the two trees had high levels of flavonoids, polyphenols and antioxidant activity. After 56 hours of storage, these samples' respective IOs were 83, 82, 75, 70, 57, and 82% as compared to the control. We conclude that 0.5% concentrations of Vangueria madagascariensis leaf extract effectively stabilized sunflower oil during 70°C storage. The ability of antioxidant components found in Annona squamosa and Vangueria madagascariensis leaves to protect oil from oxidation is significantly impacted by this. Based on this analysis, the potential value of extracts from Annona squamosa leaves, and Vangueria madagascariensis leaves was shown to be higher than that of BHT. These extracts may have use as prophylactic antioxidant agents and for enhancing the nutritional value of foods in the future.
Figure 2: Oxidation of Sunflower Oil Treated with Annona Squamosa, And Vangueria Madagascariensis Ex- Tracts 100mg/100g Oil During Storage At 70°C
ASL: Annona squamosa leaves
ASC: Annona squamosa seed cake.
VML: Vangueria madagascariensis leaves.
VMC: Vangueria madagascariensis seed cake.
VMB: Vangueria madagascariensis bark.
ASB: Vangueria madagascariensis bark.
BHT: Butylated hydroxyl toluene

Figure 3: Oxidation of Sunflower Oil Treated with Annona Squamosa, and Vangueria Madagascariensis Ex- Tracts 250mg/100g Oil During Storage At 70°Cp
ASL: Annona squamosa leaves
ASC: Annona squamosa seed cake.
VML: Vangueria madagascariensis leaves.
VMC: Vangueria madagascariensis seed cake.
VMB: Vangueria madagascariensis bark.
BHT: Butylated hydroxyl toluene
Figure 4: Oxidation of Sunflower Oil Treated with Annona Squamosa, and Vangueria Madagascariensis Ex- Tracts 500mg/100g Oil During Storage At 70°C
ASL: Annona squamosa leaves
ASC: Annona squamosa seed cake.
VML: Vangueria madagascariensis leaves.
VMC: Vangueria madagascariensis seed cake.
VMB: Vangueria madagascariensis bark.
BHT: Butylated hydroxyl toluene
The Effects of Adding Various Extracts from Annona Squamosa and Vangueria Madagascariensis (ASL, VML, ASC, VMC, VMB) on the Stability of Sunflower Oil as Measured by Conjugated Dienes
The degree of oxidative deterioration has been assessed using a number of techniques that are connected to the determination of the concentration of primary or secondary oxidation products. Specific absorptivity in the UV region at 232 and 270 nm is one of the most widely utilized. Conjugated dienes (CDs) and conjugated trienes (CTs) are measured by the specific absorptivity at 232 and 270 nm [12]. Polyunsaturated Acids (PUFA) undergo a double bond shift that results in the formation of conjugated dienes as intermediates. UV absorbance at 232-234 nm can be used to quantify these substances [4].
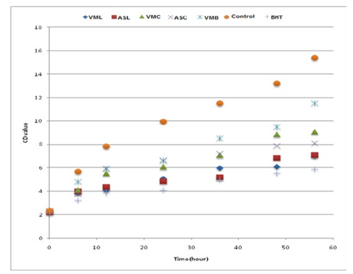
The ability of methanolic extracts from Annona squamosa and Vangueria madagasca- riensis to suppress the oxidation of edible sunflower oil at 70°C at 234 nm (while mon- itoring conjugated dienes) was studied at 100, 250, and 500 mg (Figs. 4, 5 and 6). Ac- cording to Figure 6, all of the extracts at 500 mg/100 g of oil seemed to be potent oxi- dation inhibitors of sunflower oil.The leaves of Annona squamosa and Vangueria mad- agascariensis were the most active extracts; at 20 mg/kg, these extracts' antioxidant activity seemed comparable to that of BHT. The antioxidant activity of the other three extracts—ASC, VMC, and VMB—was less than that of BHT.
According to the above-mentioned study results, extracts from Annona squamosa and Vangueria madagascariensis leaves, seedcakes, and bark appear to be a good source of naturally occurring antioxidants that can be used to prevent edible sunflower oil oxida- tion. These findings were consistent with those of who investi- gated various extracts from various plants sources to be used as edible oil oxidation inhibitors[12]. Figure 6 shows the conjugated diene of sunflower oil on hours 0 and 56 of storage, in- corporating extracts of Annona squamosa and Vangueria madagascariensis leaves at 500 mg and BHT at 200 ppm/100 g (because it was better than 250 mg). In this inves- tigation, the antioxidant-rich sunflower oil demonstrated noticeably decreased CD pro- duction than the antioxidant-free oil (control). After 56 hours of storage, the conjugated diene values of sunflower oil containing extracts of Annona squamosa and Vangueria madagascariensis increased by two to three times, whereas the control samples exhibit- ed an increase of five times or more. The extracts and controls that were employed showed a decrease in oxidation inhibitory activity in the following order: BHT
Figure 5: Conjugated Diene Values of Annona Squamosa and Vangueria Madagascariensis Leaves, Seed Cakes, and Vangueria Madagascariensis Bark Phenolic Extracts At 100 Mg/100 G and Bht at 200 Ppm in Sunflower Oil
VML: Vangueria madagascariensis leaves.
ASL: Annona squamosa leaves
VMC: Vangueria madagascariensis seed cake.
ASC: Annona squamosa seed cake.
VMB: Vangueria madagascariensis bark.
BHT: Butylated hydroxyl toluene

Figure 6: Conjugated Diene Values of Annona Squamosa and Vangueria Madagascariensis Leaves, Seed Cakes, and Vangueria Madagascariensis Bark Phenolic Extracts at 250mg/100 g and BHT at 200 ppm in Sunflower Oil
VML: Vangueria madagascariensis leaves.
ASL: Annona squamosa leaves
VMC: Vangueria madagascariensis seed cake.
ASC: Annona squamosa seed cake.
VMB: Vangueria madagascariensis bark.
BHT: Butylated hydroxyl toluene
Figure 7: Conjugated Diene Values of Annona Squamosa and Vangueria Madagascariensis Leaves, Seed Cakes, and Vangueria Madagascariensis Bark Phenolic Extracts at 500mg/100 g and BHT at 200 ppm in Sunflower Oil
VML: Vangueria madagascariensis leaves.
ASL: Annona squamosa leaves
VMC: Vangueria madagascariensis seed cake.
ASC: Annona squamosa seed cake.
VMB: Vangueria madagascariensis bark.
BHT: Butylated hydroxyl toluene
Conclusions
We may conclude that extracts from Annona squamosa and Vangueria madagascari- ensis leaves, at 0.5% (w/w) concentrations, were successful in stabilizing sunflower oil when it was stored at 70 °C. This has a significant effect on extending research into the antioxidant components found in these plant extracts and their application in prevent- ing oil oxidat ion.
References
- Asnaashari, M., Tajik, R., & Khodaparast, M. H. H. (2015). Antioxidant activity of raspberry (Rubus fruticosus) leaves extract and its effect on oxidative stability of sunflower oil. Journal of food science and technology, 52, 5180-5187.
- Gazwi, H. (2017). Oxidative stability of Sunflower oil as affected by Carica papaya leaves extracts during accelerated oxidative storage. International Journal of Biosciences, 1(11), 116-126.
- Luzaic, T. Z., Grahovac, N. L., Hladni, N. T., & Romanic,R. S. (2021). Evaluation of oxidative stability of new cold- pressed sunflower oils during accelerated thermal stability tests. Food Science and Technology, 42, e67320.
- Shahidi, F., Desilva, C., & Amarowicz, R. (2003). Antioxidant activity of extracts of defatted seeds of niger (Guizotia abyssinica). Journal of the American Oil Chemists' Society, 80(5), 443-450.
- Farhoosh, R., & Moosavi, S. M. R. (2009). Evaluating the performance of peroxide and conjugated diene values in monitoring quality of used frying oils. Journal of Agricultural Science and Technology, 11(2), 173-179.
- Suja, K. P., Abraham, J. T., Thamizh, S. N., Jayalekshmy, A., & Arumughan, C. (2004). Antioxidant efficacy of sesame cake extract in vegetable oil protection. Food chemistry, 84(3), 393-400.
- Khabbaz, E. S., Jooyandeh, M., Jaldani, S., & Farhoosh, R. (2024). Cut-off conjugated diene values for rejection of vegetable oils. LWT, 192, 115712.
- Mariod, A. A., Abdelwahab, S. I., Elkheir, S., Ahmed, Y. M., Fauzi, P. N. M., & Chuen, C. S. (2012). Antioxidant activity of different parts from Annona squamosa, and Catunaregam nilotica methanolic extract. Acta Scientiarum Polonorum Technologia Alimentaria, 11(3), 249-258.
- Mustafa, S. E., Mariod, A. A., Ahmed, Y. M., & Abdelwahab, S. I. (2017). Antioxidant activity and cytotoxicity study of Vangueria madagascariensis leaf, bark and seed cake methanolic extracts. Australian Journal of Basic Applied Sciences, 11(3), 64-70.
- Moure, A., Franco, D., Sineiro, J., Domínguez, H., Núñez, M. J., & Lema, J. M. (2000). Evaluation of extracts from Gevuina avellana hulls as antioxidants. Journal of Agricultural and Food Chemistry, 48(9), 3890-3897.
- Mustafa, S. E. (2011) Evaluation of Oil Components of Annona squamosa (Gishta) and Vangueria madagascariensis (Kirkir) Seeds and Antioxidant Activity of their Meth- anolic Extracts. Ph.D, Thesis ,Sudan University of Science and Technology, Sudan.
- Rohman, A., Che Man, Y. B., Ismail, A., & Hashim, P. (2011).Monitoring the oxidative stability of virgin coconut oil during oven test using chemical indexes and FTIR spectroscopy. International Food Research Journal, 18(1).
