Short Communication - (2025) Volume 3, Issue 3
Reflection and Transmission Coefficients of Electromagnetic Wave Equation in Schwarzschild Black Hole
Received Date: Oct 23, 2025 / Accepted Date: Nov 27, 2025 / Published Date: Dec 18, 2025
Copyright: ©2025 Gopal Neupane. This is an open-access article distributed under the terms of the Creative Commons Attribution License, which permits unrestricted use, distribution, and reproduction in any medium, provided the original author and source are credited.
Citation: Neupane, G. (2025). Reflection and Transmission Coefficients of Electromagnetic Wave Equation in Schwarzschild Black Hole. OA J Applied Sci Technol, 3(3), 01-12.
Abstract
The electromagnetic perturbation to the Schwarzschild metric is studied. The perturbation of the Schwarzschild black hole is described by the general time-dependent Regge-Wheeler equation. We trasnform this equation to usual Schwarzschild coordinates. In this case, it is possible to separate a harmonic time-dependence. Then, the resulting radial equation belong to the class of confluent Heun equation consisting of effective potential. The potential behaves like 1-D potential barrier in elementary quantum mechanics which is used to calculate the reflection and transmission coefficients near the Schwarzschild space-time using black hole boundary condition and the properties of confluent Heun function.
Introduction
Before Einstein theory of general theory of relativity, scientists only knew about behavior of wave equation in the absence of gravity, but after general theory of relativity, they try to use wave equation in gravity [1]. Initially, they got the problem about singularity (mainly three singularity, i.e. r = 1,0,∞) in the differential equation of electromagnetic wave in gravity and no perfect idea was obtained. But Heun deduced the method to solve equation containing such singularity in terms of confluent Heun equation [2-6]. Then many scientists developed the idea to solve wave equation near the black-hole and Teukolsky Master equation, Zerilli equation are obtained and the research of wave equation is going forward [7].
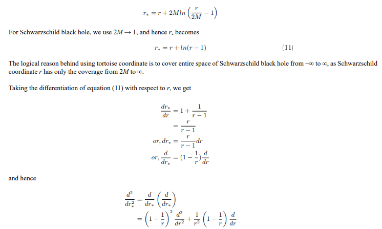
Detail understanding of black hole physics can be achieved by propagating wave into it. This is the technique that somehow reveals the quantum phenomena underlying within black hole. Thus, the wave propagation onto the black hole space-time opens a perspective on additional phenomena such as interference effects, scattering of radiation at a black hole, its quasi-normal modes and black hole evaporation [8]. To describe the propagation of waves on Schwarzschild space-time, we use wave equation named as Regge-Wheeler equation, which is analogous to Schrodinger equation [8]. Additionally, Regge-Wheeler equation is time-dependent equation where we use tortoise co-ordinate as well as spin-perspective. Actually, to detect the type of wave propagated, we use spin-perspective [9].
On this basis, Regge-Wheeler categorized the perturbations in the field as tensorial or gravitational perturbation (spin s = 2), vectorial or electromagnetic perturbation (spin s = 1) and scalar or massless perturbation (spin s = 0) [10-13]. After these successive perturbation, Regge-Wheeler equation becomes spherical harmonics whose variable co-ordinate is radial co-ordinate. Regge-Wheeler equation is a Schrodinger type differential equation with a spin-dependent potential barrier. Due to the form of this potential no exact solution is known as long as the tortoise co-ordinate is kept as the radial variable [9]. Keeping in mind that scattering patterns have proven to be very important tools in other branches of physics and yield observational properties of different physical systems, we are strongly devoted to the black-hole scattering properties in this work. First, we have found the Heun solution of wave equation in case of elctromagnetic perturbation at Kerr black hole (vanishing rotation term) and then we have calculated the reflection and transmission coefficients of electromagnetic waves in the presence of a black hole using black hole boundary conditions. Finally, we have plotted these reflection and transmission coefficients to study their nature.
Electromagnetic Perturbation

1-D Wave Equation and Its Solution for Spin (s) = +1




Reflection and Transmission Coefficients for Spin (s) = +1








1-D Wave Equation and Its Solution for s = -1


Reflection and Transmission Coefficients for s = -1




Discussion and Conclusion
We investigated the transmission and reflection coefficients of em-wave equation in Schwarzschild black hole from beginning to end of this research. To do this, we took the 1-D wave equation with the potential which is in Kerr-geometry (but taking the rotation term tends to zero). Then, we splitted the wave equation into two parts by using different potentials (i.e.one with spin s = +1 and another with s = −1). First of all, we plotted the nature of potentials for the case of s = +1 and s = −1 against ′r′. When we plotted the potential against ′r′ by varying ′s′, we found that the peak of the potential is located at r = 1.5 for s = 1 and s = 0 it is slightly below r = 1.5 and for s = 2 slightly above. But in the limit l → ∞, all three cases coincides with the radius r = 1.5. From this, we concluded that the potential peak near the Schwarzschild black hole is found maximum for em-wave. Similarly, when we drew the plot of potential against ′r′ by varying l (taking s = +1), we found that potential is increased with the increase of l-value. Also, the potential decreases exponentially near the horizon (r → −∞) and behaves like r−2 for r → +∞. After investigating potential nature, we transformed the wave equation into confluent Heun type equation which gave the Heun type solution.
Then, we took the three region by considering Schwarzschild black hole as a potential barrier. Then, we used the black hole boundary condition and some of the confluent Heun properties to get the transmission and reflection probabilities. When we found the value of transmission and reflection probabilities. we amazed that these values do not depend on l-values and depend only on the energy parameter ′w′. When ′w′ increases, then the transmission probability also increases up to certain value and remains approximately constant after that value. It concluded that the high energy particles are more trapped when they pass through the Schwarzschild black hole. Similarly, when we saw the graph of reflection coefficients against ′w′, we found that the reflection probability decreases with the increase of ′w′ upto certain limit and it remains unchanged after that limit. From this, we concluded that the high energy particles are less reflected when they pass through the Schwarzschild black hole. We found the same nature of reflection and transmission probabilities results in case of s = −1 also.
Finally, we came in the conclusion that this work is very helpful to study the quantum nature of black hole like scattering, penetrating, interference effects, quasi-normal modes of black hole, black hole evaporation, etc., and we hope that it also helps to study other branches of Physics where confluent Heun type solution occurs.
References
- Weinberg, S. (1972). Gravitation and cosmology: principles and applications of the general theory of relativity. John Wiley & Sons.
- Slavyanov, S. Y., & Lay, W. (2000). Special functions: a unified theory based on singularities. OUP Oxford.
- Fiziev, P. P. (2009). Novel relations and new properties of confluent Heun's functions and their derivatives of arbitrary order. Journal of Physics A: Mathematical and Theoretical, 43(3), 035203.
- Fiziev, P. P. (2010). Classes of exact solutions to the Teukolsky master equation. Classical and Quantum Gravity, 27(13), 135001.
- Fiziev, P. P. (2009). Classes of exact solutions to Regge-Wheeler and Teukolsky equations. arXiv preprint arXiv:0902.1277.
- Sharma, P. (2023). Stable orbit of massive Klein Gordon eld near Schwarzschild black hole and its quasi-normal modes. Open Access Journal of Applied Science and Technology
- Staicova, D. (2012). Ph.D. thesis. Sofia University, Bulgaria.
- Philipp, D., & Perlick, V. (2015). On analytic solutions of wave equations in regular coordinate systems on Schwarzschild background. arXiv preprint arXiv:1503.08101.
- Narlikar, J. V. (2002). An introduction to relativity. Cambridge University Press.
- Regge, T., & Wheeler, J. A. (1957). Stability of a Schwarzschild singularity. Physical Review, 108(4), 1063-1069.
- Fiziev, P. P. (2007, May). Exact solutions of Regge-Wheeler equation. In Journal of Physics: Conference Series (Vol. 66, No. 1, p. 012016). IOP Publishing.
- Fiziev, P. P. (2006). Exact solutions of Regge–Wheeler equation and quasi-normal modes of compact objects. Classical and Quantum Gravity, 23(7), 2447-2468.
- Sibandze, D. B., Goswami, R., Maharaj, S. D., Nzioki, A. M., & Dunsby, P. K. S. (2016). Scalar wave scattering from Schwarzschild black holes in modified gravity. arXiv preprint arXiv:1611.06043.
- Stephani, H. (1974). On solutions of the conformal Einstein equations. Journal of Mathematical Physics, 15(1), 14-21.
- Herlt, E., and Stephani, H. (1975). Exact solutions of the Einstein equations. International Journal of Theoretical Physics, 12(2), 8-92.
- Chandrasekhar, S. (1983). The mathematical theory of black holes (Vol. 69). Oxford university press.
- Decarreau, A., Maroni, P., and Robert, A. (1978). Sur les Øquations diffØrentielles de la forme de l’Øquation de Heun. Annales de la SociØtØ Scienti que de Bruxelles, 92, 151-189.

