Research Article - (2025) Volume 4, Issue 3
A Quantum Ground Operator
Received Date: Aug 01, 2025 / Accepted Date: Sep 04, 2025 / Published Date: Sep 25, 2025
Copyright: ©©2025 Francisco Bulnes. This is an open-access article distributed under the terms of the Creative Commons Attribution License, which permits unrestricted use, distribution, and reproduction in any medium, provided the original author and source are credited.
Citation: Bulnes, F. (2025). A Quantum Ground Operator. Curr Res Stat Math, 4(3), 01-11.
Abstract
The ground operator is the operator that underlies every action of a field and that preserves the energy state of a system, maintaining the law of conservation of energy of the dynamical system given in the Lagrangian.and giving it a direction in space-time. Said operator will be a fundamental part in the system transformations in field theory and to define the field intentionality. An immediate application is in nanotechnology.
Keywords
Action Integral, Energy States, Field Intentionality, Intention Integral, Lagrangian, Operator of Spatial Correlation, Phase Space, Quantum Ground Operator, Symplectic Bundles, Symplectic Realities
Introduction




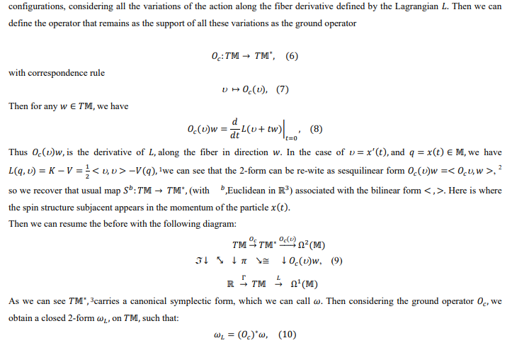
Ground Operator Basic Properties.




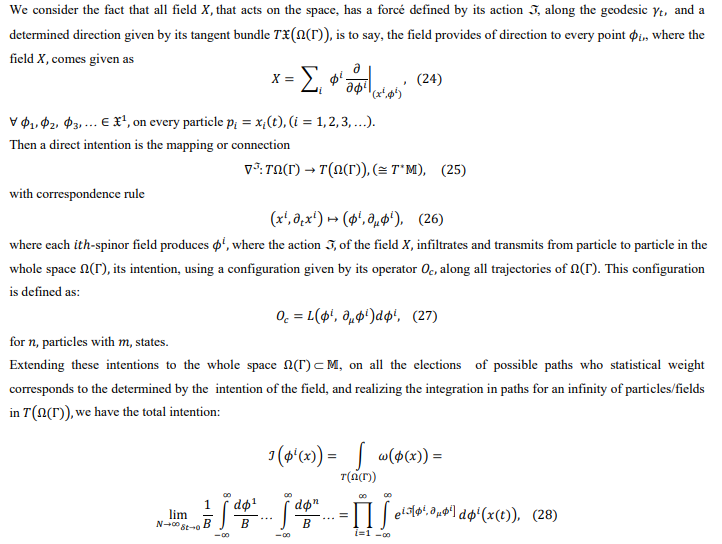
Intentionality







Conclusions
One of the most important applications of the ground operator is in nanotechnology, where the intention of the field over matter is power over matter (the power comes given by (28)), where this must be understood as the ability to transform matter through organized transformations that are predetermined by an field intention. Likewise, we can give the following principle that define the nanotechnology.

conservation of energy of the dynamical system given in the Lagrangian and giving it a direction in space-time. If oc = cte, then this means that its value does not change at any point in space or spacetime considered. In physics, this could be interpreted as a tensor field that does not vary spatially or temporally, which could correspond to certain intrinsic properties of the physical system in question, or to the absence of certain physical phenomena. This means in nanotechnology that no exists field that acts on the physical system. Then oc, is “pure consciousness”.
Technical Notation:


![]()
References
- Bulnes, F. (2013). Quantum intentionality and determination of realities in the space-time through path integrals and their integral transforms. Advances in Quantum Mechanics. Rijeka: INTECH, 213-244.
- Bulnes, F. (2013). Mathematical nanotechnology: Quantum field intentionality. Journal of Applied Mathematics and Physics,1(5), 25-44.
- F. Bulnes, “Theoretical Concepts of Quantum Mechanics,” In: M. R. Pahlavani, Ed., Correction, Alignment, Restoration and Re-Composition of Quantum Mechanical Fields of Particles by Path Integrals and Their Applications, InTech, Rijeka, 2012 http://www.intechopen.com/books/theoretical-concepts-of-quantum-mechanics/correctionalignment-restoration-and-re- composition-of-fields-of-particles-by-path-integrals-and-the
- Bulnes, F. (1998). Treatise of Advanced Mathematics: System and Signals Analysis. Faculty of Sciences, UNAM, Mexico.
- González-Gaxiola, O., & Bulnes, F. (2013). A Generalization of the Feynman-Kac Formula through an Operator Algebra. Adv. Studies Theor. Phys, 7, 1109-1123.
- Feynman, R. P. (1948). Space-time approach to non-relativistic quantum mechanics. Reviews of modern physics, 20(2), 367.
- J. Schwinger, “Particles, Sources, and Fields,” Vol. 1, 3rd Edition, Advanced Book Program, Perseus Books, Massachusetts, 1998.
- B. R. Holstein, “Topics in Advanced Quantum Mechanics,” Addison-Wesley Publishing Company, Cambridge 1992.
- M. Alonso and E. Finn, “Fundamental University Physics, Volume III: Quantum Statistical Physics,” Addison-Wesley Publishing Co., Massachusetts, 1968.
- F. Bulnes, Mathematical Nanotechnology, Generis, Chisinau, Moldova, 2023.
- Aharonov, Y., & Bohm, D. (1959). Significance of electromagnetic potentials in the quantum theory. Physical review, 115(3), 485.
- LeBrun, C. R. (1990). Twistors, ambitwistors and conformal gravity. Twistors in mathematics and physics, 71-86.
- Bulnes, F. (2013). Penrose Transform on Induced DG/H-Modules and Their Moduli Stacks in the Field Theory. Advances in Pure Mathematics, 3(2), 246-253.

