Research Article - (2025) Volume 3, Issue 7
Utilising General Relativity to Predict the Percentage of Dark Energy and To Refine Einstein’s Space-Time Equations
Received Date: Jun 01, 2025 / Accepted Date: Jun 26, 2025 / Published Date: Jul 01, 2025
Copyright: ©2025 Edward Babb. This is an open-access article distributed under the terms of the Creative Commons Attribution License, which permits unrestricted use, distribution, and reproduction in any medium, provided the original author and source are credited.
Citation: Babb, E. (2025). Utilising General Relativity to Predict the Percentage of Dark Energy and To Refine Einstein's Space-Time Equations. Eng OA, 3(7), 01-11.
Abstract
Dark energy is believed to drive the accelerated expansion of the universe, comprising approximately 71.35% of the total energy density. This work proposes that gravitational potential energy and dark energy are equivalent, and derives expressions predicting both the percentage of dark energy and spatial variation in the speed of light. Results reproduce known light bending near massive bodies and resolve issues such as the black hole time-stop paradox. The approach is based solely on classical mechanics and relativity, without introducing new physical laws.
Keywords
Dark Energy Theory, Gravity, Quantum Gravity, Quark, Black Hole, General Relativity
Introduction
Problem
Dark energy is hypothesized to drive the observed accelerated expansion of the universe, despite the attractive nature of the gravity force Newton [1]. Based on the Wilkinson Microwave Anisotropy Probe, the estimate of dark energy is 71.35%. Dark energy theories are of different types, as described by Bennett, Amendola, Misner, and Padmanabhan (e.g., quintessence, modified gravity, and cosmic acceleration) [2-5]. The Lambda Cold Dark Matter (Lambda-CDM) model uses only experimental data in the dark energy theory, yielding the value for the cosmological constant Λ in Einstein's field equation. Farnes used a negative mass to explain the dark energy expansion [6].
Einstein’s field equations are an excellent description of the interaction between matter and radiation in low-gravity fields. The theory of general relativity (GR) (Cheng [7] and Katti [8]) was initially verified by Einstein [9,10], who calculated the bending angle of light by the Sun to be 1.7 secs of arc (p. 105). GR does not explain the dark energy or dark matter. It does not define the detailed curvature of space between two masses. At the event horizon of a black hole, it predicts that the speed of light drops to zero, referred to as the time-stop problem. It does not relate to quantum theory.
Objectives
The approach involves logically deriving equations based on classical gravity and relativity. No new laws are assumed. Equations are derived for the percentage of dark energy and the speed of light (curvature of space) at any location. These equations are validated by experiment where possible.
Summary of Methods
The methods are given in section 2. This paper proposes two important new equations. The first equation is for the percentage of dark energy Babb [21]. The second equation is used to calculate the speed of light at any location, enabling the prediction of light bending near the Sun. Additional expressions are presented for the expansion rate and 3D energy density of dark energy.
Summary of Results
The results are given in section 3. The percentage of dark energy is calculated by a dark energy equation. The equation gives 71.5% compared to the experimental value of 71.35% for dark energy. By contrast, the other dark energy models (quintessence, modified gravity, etc.) give no prediction of the percentage of dark energy.
The speed of light equation uses the density of dark energy. The equation is validated by predicting the same bending of light by the sun as Einstein see [9,10].
The equation predicts a localized variation (‘kink’) in dark energy density above each mass, such as between the Earth and Moon (Figure 1). Near a black hole, the speed of light equation changes the optical behavior quite considerably. In particular, the speed of light now never drops to zero, thus solving the time-stop problem.
The expansion of dark energy is explained by the radiation from the stars creating kinetic energy and so creating potential and therefore dark energy.
Assumptions or Axioms
The main assumptions are listed in subsection 2.1. The dark energy equation calculates the level of potential energy released when all quarks collapse together. The result was given in Babb [21]. It was so close to the experimental value; it was assumed that potential energy and dark energy are the same. The other main assumptions is that Newtons inverse square law is true. Finally, it is assumed the speed-of-light ratio is inversely proportional to the relative potential energy density D” in space. For example, double the density of dark energy halves the speed of light.


Method
The Equation for The Percentage of Dark Energy
When spherical particles of equal mass mp and radius rp fall together and surround particle P, they generate kinetic energy Esp and remove Esp of dark energy. The particles fall together into a lattice where the maximum distance between quarks is nmax
![]()
This equation, from Babb [21, 16], assumes that all the masses in the universe collapse together so that they touch, releasing all the potential or dark energy stored in the elasticity of space. The particle surrounded by the most dark energy is the quark. In this model, all quarks are collapsed into contact, forming a theoretical minimum-energy configuration. This equation describes the collapse and provides the energy, specifically the kinetic energy released when they all touch. It is assumed that this kinetic energy is from potential energy stored in space.
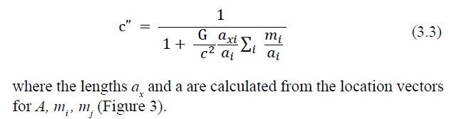
The Equation for The Speed of Light at Any Location
The speed of light in any location is illustrated in Figure 2 is given by Equation (10.1) and proved in section 10:
![]()
where the lengths ax and a are calculated from the location vectors for A, mi , mj (Figure 3).
The equation above uses Newtonian gravity plus relativity as axioms. The three central axioms are as follows: Newton's inverse square gravity law yields a force or rate of change of kinetic energy:

At location A, the 1D dark energy density is DA, and the speed of light is c'. At the observer location, the 1D dark energy density is D, and the speed of light is always c. Einstein used these axioms, excluding axioms 2 and 3, to derive his equations for the curvature of space [9,10]. The new speed-of-light equation above is confirmed in Babb [21] using these axioms.
Bending of light by the Sun using the speed-of-light equation As depicted in Figure 4, the significant mass, msun is the Sun. Therefore, mi is msun. The vector location of A is just distance a from the centre of the Sun to a photon passing by the Sun. The location of A is the location of the photon, so ax = a. This yields the speed of light at the photon’s location as:

This speed-of-light ratio c” is that obtained by Einstein [9,10]. He used his equivalence principle to get his equation. The rate of change in c” with respect to a causes photon bending. After differentiating with respect to a, the equation is as follows:
Again, this is the result used by Einstein [9, 10] see section 12. The term dc”/da indicates the force on a stationary particle with the mass of a photon. It also bends a moving particle, such as a photon, using Huygens’ principle.

Results
The results are equations that yield the percentage of dark energy, the speed of light at any location, and its expansion rate, a solution to the time-stop problem.
Percentage of Dark Energy Results
Equation (2.1) given in methods cannot be computed directly. This relationship is resolved using a polar-coordinate equation, which also yields the ratio of dark energy to total energy. It is derived by Babb [21, 16] as follows:

Applying this equation to the experimental data presented below resulted in a calculation of 71.50% dark energy in relation to the total energy. This value is close to the experimental value from NASA, which estimates dark energy at 71.35% (70.39 to 72.25). Because it closely predicted the experimental ratio of dark energy, it was concluded that potential and dark energy are the same.
The experimental data used in this equation is listed below:
Radius of quark, Zeus [13] rQ is 4.3E-19 metres,
Mass of up quark [14] mup is 3.82E-30 Kgms
Mass of down quark [14] mdown is 8.36E-30 Kgms.
Mass of universe [15] mU is 1E+53 Kgms.
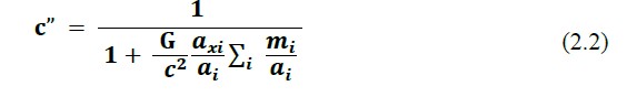
The Speed of Light at any Location
The speed of light at any location A is given by Equation (10.15) as follows:

The relationship of location A to adjacent masses is illustrated in The relationship of location A to adjacent masses is illustrate in the variable axi is zero. In the black area above the masses in Figure 1, the 3D dark energy density is much lower than along the centre line of the two masses. For example, between the Earth and the Moon, the speed of light would be measured at this location on the Earth or the Moon and might be detected by measuring the slight reduction in the bending of a photon.
The Bending of Light by the Sun
Einstein [9, 10] assumed a spherically symmetric gravitational field around each mass. He did not include the Newtonian force between pairs of masses. In terms of the above equation, it means axi is assumed to be the same as ai . Therefore, the term axi / ai can be removed. Einstein calculated the bending of light by the Sun at an angle of 4.23766E-06. The result given in section 12 for both methods is the same angle of 4.23766E-06. In practice, his spherical assumption makes little difference to this angle prediction.
The Rate of Expansion of Dark Energy
The theory by Babb [17] provides the expansion rate of dark energy, the Hubble constant, at an almost exact 71 km/sec/megaparsec.
The Density of Dark Energy at any Location
Equation (2.11) is used for just two masses, repeated as follows:

This equation predicts an increase in dark energy density relative to the ambient background, as visualized in Figure 1 through localized distortions near each mass. Between the Earth m1 and the moon m2 this kink might produce a measurable reduction in the speed of light at right angles to the axis between them. The kink is caused by the ax1 droping to zero.
Solution to Time-Stop Problem with Black Holes
Einstein [9, 10] calculates the speed-of-light ratio c” as

It is given in Section 12 as Equation (12.4). Section 12 repeats Einstein’s calculation of light bent by the Sun. For a black hole, this equation incorrectly becomes negative inside the event horizon, where m is large, and x is small.
Based on the new theory, the speed-of-light ratio near the Sun mass m (which represents any mass, instead of the more specialised msun) is as follows:

Discussion
Dark Energy Wave Equation

Dark Matter and Black Holes
Travelling in this elastic dark energy field of space are dark energy waves with a magnitude bounded by the density of space. These waves may be dark matter.
High concentrations of matter form black holes. Inside the black hole, the speed of light drops to a fraction of its normal value. Most of the radiation is trapped by internal reflection. The black hole core may be modelled as a region with high internal reflectivity, analogous to a glass sphere. Some radiation can escape Babb [18]. It is hypothesized that photons could be trapped within dark energy wave structures, potentially resembling micro black holes in behaviour. Particles such as quarks may be micro black holes containing trapped photons.
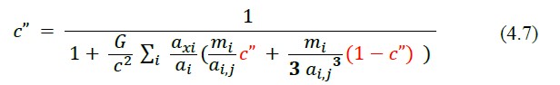
The general equation for the speed of light at any location and dark energy density is given by Equation (11.1) as follows:

Note the speed of light ratio is also on RHS. Its solved iteratively by assuming c" =1 on RHS to give a new c" on LHS and so on.
If the sum of mi is the mass of the black hole or a particle Babb [18] then this mass drops to zero at the centre and so removes the singularity. It has a significant impact on the theory of black holes, which currently relies on Einstein’s equation which doesn’t use dark energy.
Conclusion
GR plus relativity plus the assumption that potential energy and dark energy are the same yields two novel equations.
Equation 1 is the percentage of dark energy, utilising an important theorem that generalises Newton's law to include the speed-of- light ratio. When the whole universe shrinks together, the inverse square law becomes an inverse fourth power law. The results of the new theory were compared with the experimental results. The theory used the mass and radius of a quark to estimate the percentage of dark energy at 71.50%. The experimental result from the Wilkinson-Microwave-Anisotropy-Probe NASA Bennet [2] is 70.39% to 72.25%. It was concluded that this was sufficiently close to establishing a new equation as correct and that potential and dark energy are the same.
Equation 2 is the speed of light, or curvature of space, at any location. The study calculated the bending of light by the Sun and produced the same result as Einstein. For very large masses such as a black hole, the time-stop and singularity problems are removed, suggesting a revision to the theory of black holes, with the possibility of conventional radiation.
Few existing models directly predict the proportion of dark energy using classical or relativistic mechanics. The approach using dark energy improves the speed-of-light equation. The new equations suggest two forms of energy. The potential energy stored in space is referred to as dark energy. Wave energy, which travels in this space, is either trapped in particles or loose in space.
This work presents an alternative to General Relativity-based models in specific contexts, providing measurements of the percentage of dark energy and the speed of light at any location.
Statements and Declarations
The author declares no conflicts of interest. This work was not supported by any external funding. E. Babb was the sole author of this study. The author has read and approved the final manuscript. The author would like to thank Sandra S, Peter B., Dr. Richard B., Peter K, Dr. Andrew B., Prof. Volodymyr K, Dr. Hao C, Dr. Tahir, and staff at Imperial College and Oxford University.
Appendices
The following theorems and algorithms are logical consequences of Newton's inverse square law, relativity, and the potential energy being equivalent to dark energy.
Theorem 3D Marginal Dark Energy Density anywhere
Theorem








References
1. Newton, I. The Mathematical Principles of Natural Philosop; Flame Tree Collections; New edition (30 Mar. 2020); ISBN-10: 1839641509
2. Bennett, C. L., Larson, D., Weiland, J. L., Jarosik, N.,Hinshaw, G., Odegard, N., ... & Wright, E. L. (2013). Nineyear Wilkinson Microwave Anisotropy Probe (WMAP) observations: final maps and results. The Astrophysical Journal Supplement Series, 208(2), 20.
3. Amendola, L.; Tsujikawa, S. Dark Energy: Theory and Observations; Cambridge University Press: Cambridge, UK, 2010; ISBN 978-0-521-51600-6.
4. Misner, C.W.; Thorne, K.S.; Wheeler, J.A. Gravitation; princeton University Press: Princeton, NJ, USA, 2017; ISBN978-0-691-17779-3.
5. Padmanabhan, T. (2008). Dark energy and gravity. General Relativity and Gravitation, 40, 529-564.
6. Farnes, J. S. (2018). A unifying theory of dark energy and dark matter: Negative masses and matter creation within a modified ΛCDM framework. Astronomy & Astrophysics, 620, A92.
7. Cheng, T.-P. Relativity, Gravitation and Cosmology; Oxford University Press: Oxford, UK, 2010; ISBN 978-0-19- 9573646.
8. Katti, A.N. The Mathematical Theory of Special and General Relativity; CreateSpace Publishing: Scotts Valley, CA, USA, x`2017; ISBN 1-5305-0199-7
9. /Einstein, A. Relativity: The Special and General Theory; Martino Publishing: Eastford, CT, USA, 2010; ISBN 1-891396-30-7.
10. Einstein, A. The Principle of Relativity; Dover Publications: Mineola, NY, USA, 1952; ISBN 978-0-486-60081-3.
11. Penrose, R. The Road to Reality: A Complete Guide to the Laws of the Universe; Vintage: London, UK, 2005; ISBN 0-099-44068-7.
12. Conway, J.H.; Sloane, N.J.A.; Bannai, E. Sphere Packings, Lattices, and Groups; Springer: New York, NY, USA, 1999; ISBN 978-0-387-98585-5.
13. ZEUS Collaboration. Limits on the effective quark radius from inclusive ep scattering at HERA. Phys. Lett. B 2016, 757, 468–474.
14.Cho, A. Mass of the common quark finally nailed down. Science 2010, 328, 317.
15. Gaztañaga, E. The mass of our observable universe. Mon. Not. R. Astron. Soc. Lett. 2023, 521, L59–L63.
16. Babb, E. New theory of general relativity giving the percentage of dark energy and solving the black hole time stop problem, https://www.academia.edu/127738030.
17. Babb, E. A Modification to general relativity which calculates the expansion of dark energy, the Hubble constant, at an almost exact 71km/sec/megaparsec, https://www.academia. edu/42186366.
18. Babb, E. A correction to general relativity that removes time and singularity problems with black holes and even gives the radius of a Quark, https://www.academia.edu/99161234.
19. Berkeley Labs. Proportion of hydrogen and helium in the universe. Available online: https:w2.lbl.gov/abc/wallchart/ chapters/10/0.html (accessed on 18 March 2025).
20. Gettys, E., Keller, F. J., Stove, M. J., Physics Classical and Modern; Publisher: McGraw-Hill Inc., US (January 1, 1989), ISBN-10: 0070335230, ISBN-13: 978-0070335233.
21. Babb, E. (2025). Using General Relativity to Explain and Quantify Dark Energy. Eng OA, 3(4), 01-09.

