Research Article - (2025) Volume 8, Issue 4
The Material Connection Between Classical Mechanics and Modern Physics
Received Date: Nov 03, 2025 / Accepted Date: Dec 15, 2025 / Published Date: Dec 23, 2025
Copyright: ©2025 Hu Chang-Wei. This is an open-access article distributed under the terms of the Creative Commons Attribution License, which permits unrestricted use, distribution, and reproduction in any medium, provided the original author and source are credited.
Citation: Chang-Wei, H. (2025). The Material Connection Between Classical Mechanics and Modern Physics. Adv Theo Comp Phy, 8(4), 01-12.
Abstract
Classical mechanics is intuitive, clear, and deterministic, but it is generally regarded as an approximate description applicable only under macroscopic, low-speed, and weak gravitational field conditions. In contrast, the quantitative description of modern physics is quite accurate, but it presents non-intuitive anomalies. Why is this the case? This paper argues that there exists a special material connection between classical mechanics and modern physics, which gives rise to the non-intuitive nature of the latter. The matter of this connection is the physical vacuum, which is called the ether. The ether is omnipresent, and humans always observe the world through it. Relativistic effects can be understood as lensing effects caused by variations in ether density. The peculiar phenomena of the microscopic world, such as quantum behavior, are related not only to the lensing effect of the ether but also to its microscopic structure. Due to the ether's lensing effect, there is a dislocation between the precise quantitative descriptions of modern physics and the truth of facts. The theory of compressibility ether based on absolute spacetime view can restore the truth of facts, but in quantitative terms, we should take modern physics as the standard, and the two are complementary. The relativistic effect is a vacuum effect caused by the change of ether density, not a physical object effect, so an experimental idea is put forward.
Keywords
Classical Mechanics, Modern Physics, Ether (Physical Vacuum), Lensing Effect, The Theory of Compressibility Ether
Introduction
Classical mechanics is deterministic, clear and intuitive, which makes people think that its description is quite real. Quantum mechanics has quantum, probability, uncertainty and other anomalies that are difficult to understand. Therefore, Gerard Hoft, who won the special prize of the scientific breakthrough award in 2025, said in the award-winning interview that quantum mechanics is not true and called on the academic community to re-examine the direction of basic physics.
In fact, the theory of relativity has similar problems. Don't you? Space and time have no shape or size, they are not matter, but in relativity, length can shrink, time can expand, space-time can bend, which is not puzzling? As a result, many physicists are confused and dissatisfied with modern physics. Einstein once said frankly: I feel that in my work, no concept will stand firmly, and I am not sure that the path I am taking is generally correct [1].” “Anyone who is not confused by quantum theory does not understand it” Bohr said [2]. Steven Weinberg, Richard Phillips Feynman, Lee Smolin, and others have similar representations [3,4]. For this reason, various mathematical models have been proposed in an attempt to correct modern physics but the results are noncommittal [5-10].
Why is there such a big difference between classical mechanics and modern physics? In this paper, it is believed that this is the result of the action of the physical vacuum, namely the ether. We put forward the compressible ether theory which holds that in the absolute spacetime view, the macroscopic ether is a compressible superfluid, the so-called relativistic factor is actually the compressible factor of the ether, and light is the sound wave in it [11]. The ether is everywhere, and people are always looking at the world through the ether.
In a macroscopic, low-speed, weak gravitational field environment, the ether is generally evenly distributed, and the ether lensing effects caused by light distortion is minimal. In the case of high speed and strong gravitational field, the density of ether fluctuates greatly, which leads to the obvious change of the propagation route of light, so the lensing effects of ether appear, which are the relativistic effects. In the microcosmic world, besides the lensing effects of the ether, the structure of the ether has also changed, resulting in special phenomena such as quantum effect. In a word, there is a material connection of ether between classical physics and modern physics. Understanding this material connection can help us better understand the limitations of modern physics and provide new ideas for its further development.
This paper places the ether in an important position, which will cause some controversy. It is generally believed that the null result of the Michelson-Morley experiment denies the existence of the ether wind and thus the ether. In fact, if the ether is compressible, this statement is not true. It has been proved by both numerical simulation experiments and actual acoustic interference experiments that compressible flow has the effect that the acoustic interference fringes of the loop do not change with the change of wind speed [12]. These facts make it abundantly clear that the effects of motion relative to the fluid are counteracted by the effects of the compressibility of the fluid itself. Therefore, the Michelson-Morley experiment denies the old theory of incompressible ether, but not the existence of compressible ether. The following discussion and the confirmation of the experimental ideas therein will gradually dispel doubts about the existence of the ether.
Hydrodynamic Derivation of the Lorentz Transformation
As the matter of the vacuum state, the ether should be an infinitely distributed superfluid. By leveraging this property and applying fluid dynamics, it is possible to derive the Lorentz transformation of relativistic spacetime view on the basis of absolute spacetime view. This provides evidence for the existence of the ether and its bridging role between classical mechanics and modern physics.


If the speed of sound C in the special fluid is the speed of light in a vacuum, then the combination of (6) and (8) is just the Lorentz transformation.
Because Galileo transformation is the mathematical expression of absolute spacetime view and Lorentz transformation is the mathematical expression of relativistic spacetime view, they all have certain universality. Therefore, the above derivation process not only reflects the reality of superfluid ether, but also connects the absolute spacetime view, relativistic spacetime view and ether organically, which contains rich physical connotations.
The above derivation process is based on the absolute spacetime view, and the Lorentz transformation is derived through an ether transformation. This means that the absolute spacetime view is the real spacetime view, which is primary, and the relativistic spacetime view is derived from the ether transformation, which is secondary. The transformation of the ether here is like a lens effect through the ether, as shown in Figure 1. Relativistic effect is a kind of lensing effect of ether, which is negligible in general, but only obvious in the case of ultra-high speed and ultra-strong gravitational field.
Figure 1: The Lens Effect of the Ether
The shade of blue indicates the size of the ether density, B is the observed object, observer A thinks that the light travels in a straight line (the ether density is uniform), and the observed object is at C. As a result, the truth was distorted.
The above derivation States that light is sound in the ether. Since ether is a superfluid, light will be different from mechanical waves in general. In a physical superfluid, there are two types of sound: the first is an ordinary sound wave, a density wave, and the second is a temperature wave that transfers heat [14]. In a vacuum, the transfer of heat is thermal radiation, an electromagnetic radiation, so light is precisely the second sound in the ether. Electromagnetism originates from microscopic charged particles, and the electromagnetism of light means that the ether is associated with particles.
The Ether Mechanism of Relativity
The above derivation shows that in the absolute spacetime view, the ether is compressible, that is, the density of the ether is variable, while the relativistic ether is incompressible, that is, its density is absolutely constant, and thus the speed of light is constant. In this paper, ether density refers to the variable ether density in the absolute spacetime view. In this paper, ether density refers to the variable ether density in the absolute space-time view, and it is its change that causes the relativistic effects.
The Ether Mechanism of Relativistic Spacetime View
The Lorentz transformation transforms the ether with variable density in the absolute spacetime view into the ether with constant relativistic density, thus ensuring the constant speed of light, which also means that the relativistic spacetime standard will change with the ether density in the absolute spacetime view: the relativistic unit length is proportional to the distance between adjacent ether particles in the absolute spacetime view; The relativistic unit time is inversely proportional to the time interval between the passage of light through adjacent ether particles. Because the two criteria of length and time are related to the distance between ether particles, space and time in relativity are entangled. It can be seen that the theory of relativity regards the ether as the spacetime matter that determines the spacetime standard, which is like putting a spacetime coat on the ether, thus making it difficult for modern physics to see the essence of the ether. This also fully shows that the ether is the material basis of the theory of relativity; without the ether, there would be no theory of relativity.
Why is the relativistic space-time view distorted by the ether more accurate in quantitative terms? This is because the absolute spacetime view has nothing to do with any matter, and it is theoretically impossible to determine a practical spacetime standard, which leads to quantitative deficiencies. In addition, the agreement of theoretical data with experimental data is regarded as a criterion to check the correctness of a theory. The theoretical data of relativity are related to the ether, and any experimental data cannot avoid the influence of the ether, so the two tend to be more consistent.
The Ether Mechanism of Relativity
Special relativity is based on inertial motion. In the view of compressible ether theory, inertia is the invariance of the ether density of the object where it goes, and the inertial frame is the reference frame in which the ether density distribution remains uniform and unchanged. When an object moves in the compressible ether, the density of the ether will be higher than that at rest, thus causing the special relativistic effect. General relativistic effects are caused by the inhomogeneous distribution of the density of the ether in the gravitational field.
We define the ether density state in a vacuum where the physical object (the matter with mass) is located as the ground state. According to that bending phenomenon of the ray in the gravitational field and the relationship between the mas of the physical object and the gravitational field, it can be found that in the unified ether ocean of the universe, the distribution of the ether density is closely related to the physical object, that is, the physical object is the core of the ether density wave packet, the center of mas of the physical object is the maximum point of ether density, the gravitational field is an ether density field, and the absolute value of gravitational potential is positively related to the ether density. Here, the correspondence between the quantitative concept of relativity and the ether density is: the gravitational field strength corresponds to the ether density gradient; the mass corresponds to the increment of the density of the ether wave packet of the physical object (relative to the ground state); and the energy corresponds to the increment of the pressure of its ether wave packet (relative to the ground state). The basic physical quantities of relativity, such as length, time, mass and energy, are closely related to the density of the ether, which is a reflection of the fact that the relativistic effect is the ether lensing effect, because the ether lensing effect is the effect of the change of the density of the ether.
In relativistic formulas, there is often a proper quantity with a subscript of zero. Because the relativistic effect is the result of observing the world through the ether on the basis of absolute space-time view, the proper quantity in relativity is actually the quantity of classical mechanics. For example, the relativistic mass-velocity relation:

General relativity describes the effect of ether lensing caused by accelerated motion or gravitational fields. The equivalence between the accelerated motion and the gravitational field can be explained as follows: in the reference frame at rest with the accelerated object, the density of the ether in front (in the direction of acceleration) will become denser and denser, which is consistent with the gradient distribution of the density of the ether in the gravitational field, thus causing the general relativistic effect.
In the view of absolute spacetime, the space studied by general relativity is the space with uneven distribution of ether density. But in the view of general relativity, namely quantitatively speaking, the distribution of ether is still uniform, but its four-dimensional spacetime continuum has become curved, as shown in Figure 2. It follows that the curvature of the so-called relativistic curved spacetime is positively correlated with the rate of change of the ether density.

Figure 2: The Relationship Between the Two Space-Time Views
The shade of color in the diagram indicates the size of the ether density. In the general relativistic spacetime view B, the ether is evenly distributed in the curved spacetime. In the absolute spacetime view A, the ether density is unevenly distributed in the flat spacetime. The curvature of general relativistic curved spacetime B is positively related to the rate of change of the ether density in absolute spacetime A.

Equation (13) is the formula for the gravitational redshift of light in Schwarzschild geometry [15].
The bending of light in the gravitational field indicates that the speed of light in the gravitational field is variable, which is obviously a description based on the absolute spacetime view and it is also a factual truth. Because in the gravitational field, the space-time standard will change with the gravitational potential, if measured on the spot, the speed of light will still be constant everywhere. The qualitative description of compressible ether theory and the quantitative description of relativity are complementary.
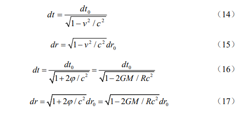
Experimental Idea
Experimental Principle
The theory of relativity holds that unit length dr and unit time dt can vary with variations in velocity v and gravitational potential φ:

Where, G, M, and R are the gravitational constant, the mass of the gravitational source, and the distance from the center of the gravitational source, respectively.
The compressible ether theory holds that, in the final analysis, unit length and time change with the density of the ether. On the ground, although the gravitational potential of the sun is greater than that of the earth, here, the gravitational ether field of the sun is a uniform background field, and the gravitational ether field of the earth is superimposed on it, in which the kinematic effect depends on the gravitational ether field of the earth, so the earth should be taken as a reference. Leaving the earth and entering the space of the solar system, the gravitational ether field of the sun plays a dominant role. In addition, Relativistic effects are vacuum effects rather than physical object effects. Therefore, light is an ether wave, and it will fully follow the spacetime variation relationships from equations (14) to (17). However, a spaceship, as a physical object, will not follow these relationships. Therefore, on a spaceship flying at high speed, when using light waves that can change to measure the unchanging spaceship, its length will instead become longer as the absolute value of speed or gravitational potential increases; its time will also become slower as the absolute value of speed or gravitational potential increases. From this, an experimental scheme can be designed.
Experimental Analysis
Suppose there is an artificial planet orbiting near Uranus' orbit, and it is far away from Uranus, basically not affected by its gravitational field. Then, does the clock on this artificial planet run faster or slower than the clock on the ground? How will the length of the ship itself change?
In the solar system, the sun's ether field dominates, so analysis should be conducted based on the sun's ether field. The absolute value of the sun's gravitational potential at the position of this artificial planet is smaller than that at the Earth's orbit. Moreover, there is the Earth's gravitational potential on the ground. Therefore, in terms of gravitational potential, the unit time on the artificial planet is slightly shorter than that on the ground, meaning it passes faster; while the unit length is slightly longer than that on the ground. In terms of speed, the Earth's orbital speed is greater than the orbital speed near Uranus, and there is also the speed of the Earth's rotation on the ground. Therefore, in this regard, the unit time on an artificial planet is also a bit shorter than that on the ground, meaning it passes faster; while the unit length is a bit longer than that on the ground. In conclusion, according to the compressible ether theory, the density of ether on the ground is higher than that in the ether at Uranus' orbit. As a result, clocks on the ground run slower than clocks on artificial planets in Uranus' orbit; the unit length on artificial planets is slightly longer than that on the ground. When measuring the unchanged artificial planet with a slightly longer unit length, its length will appear contracted. In fact, when the influence of the planet can be ignored, clocks on artificial planets with orbital radii larger than Earth's orbit will all run faster than ground clocks, while the length of the ship itself appears to be short. The relevant data is as follows (The system MKS).
In terms of gravitational potential, the Earth's gravitational potential on the ground is 6.2567×107, the Sun's gravitational potential on the ground is 8.87168×108¸, totaling 9.49735×108. On the spacecraft, the gravitational potential of the sun is 4.6233×107. Then, according to (14)-(17), the relative change rate of unit time and unit length is 5.413×10-9. In terms of orbital velocity, Earth's orbital average speed is 29,780, and Uranus's orbital average speed is 6,810. The relative rate of change per unit time and per unit length can be calculated as 4.927×10-5 which is much larger than that in the gravitational potential aspect.
Experimental Setup
Based on the above analysis, the experimental setup is: A long rigid rod that is difficult to deform and a laser rangefinder that can measure and transmit the length of the rod at any time are installed on the spacecraft to observe the changes in its readings. Here, the laser is an ether wave, and the length standard reflected by it will change with the change of ether density, that is, its unit length will change with the change of velocity or gravitational potential; while the length of a rigid long rod will remain unchanged, so the magnitude of its reading (the length of the rod) will be opposite to the change of the length standard. For example, at the beginning of the launch of the spacecraft, the gravitational potential does not change much, but the speed changes greatly, which leads to the contraction of unit length. At this time, the reading of a constant rigid long rod measured by the length standard of contraction will increase instead. As for the speed of time, we can compare the time interval between two identical atomic clocks on the spacecraft and on the ground in the same period of time.
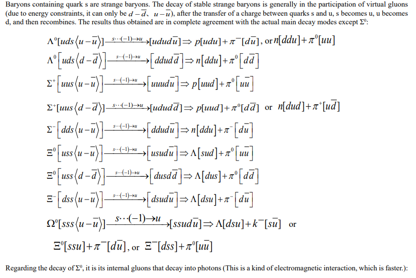
The Ether Mechanism in Quantum Mechanics
Superfluid is a property of the macroscopic ether. Just as water under a microscope shows that water molecules are moving in disorder, it is difficult to show its overall fluid nature, so the microscopic ether will appear complex and elusive. The electromagnetism of light tells us that the vacuum ether will produce electromagnetic excitation after absorbing energy, and the origin of electromagnetism lies in charged particles, so there is an intrinsic relationship between microscopic ether and particles
Particles and Ether
The Standard Model of particle physics is the most basic description of the matter elements of the universe by physicists at present. It posits that the most elementary particles consist of 48 fermions and 13 bosons. Among these, fermions can be categorized into three generations of leptons and three generations of quarks, as shown in the table below (excluding antiparticles; the colors of quark are not distinguished):

Table 1: The Generations and Electric Charge (the Superscript) of Fermions
There are as many as 61 of the most basic particles, which is extremely inconsistent with the most basic. Based on the symmetry of fermion generations and charges as shown in Table 1, this paper proposes the following hypothesis:

So, what is electric charge? Based on the fact that dislocations and electric charges exhibit striking similarities in both photographic images and mathematical descriptions [16], the author proposes that electric charge is a dislocation in the ether. In relativity, the distribution of vacuum-state ether is uniform and isotropic everywhere, and electric charge is a dislocation within it. The uniformity of four-dimensional spacetime leads to the quantization of the Burgers vector of perfect dislocations, which is the fundamental reason for the quantization of electric charge. Furthermore, fractional charge can be seen as the result of the expansion of a perfect dislocation into a partial dislocation in the ether. Partial dislocations cannot exist independently, which explains why quarks carrying fractional charges cannot exist on their own.
Due to the Pauli‘s’ exclusion principle, fermions cannot all occupy the lowest energy state. As for bosons, whose spin is an integer, they can be regarded as coupled pairs or even numbers of fermions. In principle, bosons can all condense into the lowest energy state [17], so the ether should be composed of bosons. As is well known, the Dirac equation describes fermions and has two solutions: positive- energy states and negative-energy states. Particles in positive-energy states are positive particles, while holes in negative-energy states correspond to antiparticles. The vacuum-state ether is a condition where there are neither positive particles nor antiparticles—meaning it is a state where positive particles and antiparticles are perfectly paired. In reality, various positive-fermion and anti-fermion pairs can be created or annihilated in pairs within the vacuum. Therefore, we propose that the microscopic ether consists of a collection of virtual bosons formed by positive-fermion and anti-fermion pairs, representing the most fundamental and universal form of Bose-Einstein condensation.
The ether in the vacuum state consists of "virtual particles" that possess no mass, shape, or size. Since mass corresponds to an increment in the density of an ether wave packet and energy corresponds to an increment in the pressure of an ether wave packet, the essence of being "virtual" lies in the fact that it does not form an ether wave packet centered around itself, or it exists in the lowest energy state, that is, in a state of energy balance. If a virtual particle gains energy, it can transform into a real particle, for example, a virtual photon e
e gaining energy becomes a real photon ![]()
Ether is the general term for vacuum-state matter, which can transform into one another. The ether in the pure gravitational field is formed by the condensation of the virtual etherons composed of the positive and anti-neutrino pairs. The ether in electrostatic and magnetic fields is formed by the condensation of virtual photons composed of positive and anti-charged lepton pairs, which are electromagnetically excited ether (the arrangement of virtual photons in electric and magnetic fields is different), and is the result of the transfer of a charge between positive and anti-neutrinos in the etheron. The so-called gluons are pairs of positively and negatively charged quarks, i.e., color-excited ethers, arising from the transfer of fractional charges between the positive and negative particles within etherons or virtual photons.
The Ether Participates in the Mutual Transformation Between Particles



The above description aligns with the facts presented in the particle table, which demonstrates the rationality of our hypothesis.
The Origin of the Particularity of the Microcosm
The most fundamental characteristic of the microscopic world is the quantum phenomena. This paper posits that it is a manifestation of the quantitative relationships of relativity in the microscopic realm: The constant speed of light means that each photon model will have some commonalities in terms of quantity. A photon is a quantum of energy, this is, a virtual photon that absorbs energy. The energy E = hν, indicates that the increment in its ether pressure is proportional to its frequency. Here, virtual photons do not move macroscopically, but only transfer energy. The amplitude of each virtual photon is the same, and the greater the energy, the steeper the wave peak.
Frank Wilczek posits that the modern conception of the ether is akin to a "grid" [18]. Wen Xiaogang and his colleagues further propose that the true ether is a "string-net liquid," capable of simultaneously supporting two transversely polarized waves. The density waves of strings within this string-net liquid constitute light waves (electromagnetic waves); the vector of string density corresponds to the electric field; and the ends of the strings represent electrons, thereby providing a quantitative description and unified explanation for particles such as light and electrons [19]. The so-called "modern meaning" or "true" ether clearly refers to a relativistic ether, which are uniformly distributed everywhere, isotropic, with ether particles forming an overlapping, uniform grid or string-net. When a particle moves, its own ether wave packet interacts with the microscopic ether grid of the vacuum. At each step forward, it has numerous possible paths to choose from. Thus, starting from a given point, the particle does not follow a definite trajectory to reach its destination but instead arrives via one of countless possible paths. Each possible path has a different probability, and the actual path is typically tortuous yet continuous (see Figure 2). Such paths are precisely what path integrals describe. Therefore, among the three equivalent formulations of quantum mechanics—wave mechanics, matrix mechanics, and path integrals—the one that best reflects its underlying physical mechanism is the path integral. That is to say, microscopic particles are always particles, but they are accompanied by probability waves because of the uncertainty of their motion paths. When the particle is observed, the probability disappears, and the probability wave does not exist.

Figure 3: Schematic Planar Representation of Microscopic Particle Trajectories Trajectories. Little dots constitute the cross-section of a microscopic ether grid rings represent microscopic particles thick black solid lines indicate the actual motion trajectory of the particles dashed lines denote theoretically possible directions of motion.
Some believe that the motion of microscopic particles is sometimes discontinuous and occurs in jumps, as exemplified by quantum jumps. Indeed, the images formed by lenses can exhibit such discontinuous, jumping phenomena. However, when directly tracking and observing the particles themselves, their trajectories are invariably continuous. In 2019, scientists at Yale University conducted an experiment that confirmed quantum jumps are, in fact, a continuous process [20] Therefore, microscopic particles have the dual properties of probability waves and particles. When one tracks down the particle, the probability disappears and only the particle property remains.

Figure 4: Deviation Angle of Quantum Physics
Summary and Discussions
Classical mechanics describes physical phenomena and laws that can be seen directly, while modern physics describes the physical world through the ether. Because the ether is full of vacuum, its density will change with the speed or gravitational potential, so in the case of high speed and strong gravitational field, the density of the ether fluctuates greatly, and classical mechanics is quantitatively unsustainable; the description of modern physics, although quantitatively quite accurate, deviates from the truth due to lensing. The microscopic ether is the condensation of virtual particles. The virtual and real particles only have different energy States, and they can interact and transform with each other. The specificity of quantum mechanics is the comprehensive expression of the lens effect of the microscopic ether and its microstructure.
So, can we establish a mathematical model of etheric lensing effect on the basis of classical mechanics to replace the relativistic description? It seems that it is not feasible, because it is difficult to change the quantitative shortcomings of the absolute space-time concept. Compressible ether theory can restore the truth, while modern physics can give a more correct quantitative description, although it seems to be unreal. There is dislocation between the two, and they complement each other.
Any theory of physics always has certain limitations. Macroscopic ether, as a superfluid, will have a certain critical velocity, critical density and critical pressure, etc. When the velocity approaches the speed of light, it will inevitably exceed the critical point, the ether will lose its superfluidity, and the relativistic formula will no longer be valid. In fact, in the early study of subsonic flow, the density- velocity relation of fluid is completely consistent with the mass-velocity relation (9) in relativity, and when the speed of sound is reached, the density of gas is only increased by 6 times, rather than infinite in relativity [21]. This seems to mean that the speed of light is not the limit of the speed of physical object motion. Actually, many scholars have explored this aspect superluminal k-gap solitons in nonlinear photonic time crystals have also been observed [22-25].
The theory of relativity has certain limitations, and it does not describe the real spacetime, so it is inappropriate to use it to describe the whole universe. Modern cosmology is developed on the basis of the solution of the gravitational field equation of general relativity, so there are many difficult problems in it. For example, singularity, dark matter, dark energy problems and so on. In addition, on the one hand, relativistic spacetime can contract, expand and bend, which makes spacetime look like a physical object with shape and size; on the other hand, it thinks that space is not a matter, so it can expand faster than light, which is very contradictory.
The ether is the basic form of existence of a substance different from the physical object, and the field is the distribution state of the ether. As we all know, the gravitational field dominates the space of the solar system; the electromagnetic field plays a dominant role in the atomic world; and the color field (strong interaction) plays a major role between nucleons and quarks. Based on the interval nature of this field action, we put forward the idea of interval field ether theory and infinite hierarchical cosmic material framework, hoping to throw out a brick to attract jade.
References
- Einstein. (1960). To Maurice. Solovin's Correspondence Collection. Berlin, German Science Publishing House. 94-95.
- John, G. (1984). In search of Schrodinger's cat. Quantum physics and reality.
- Weinberg, S. (2016). Why I am not satisfied with quantum mechanics. The speech at the Patrusky Lecture.
- Smolin, L. (2008). The Trouble with Physics. Mariner Books.
- Einstein, A., Podolsky, B., & Rosen, N. (1935). Can quantum-mechanical description of physical reality be considered complete? Physical review. 47(10), 777.
- Bohm, D. (1952). A suggested interpretation of the quantum theory in terms of" hidden" variables. I. Physical review, 85(2), 166.
- Bell, J. S. (1964). On the einstein podolsky rosen paradox. Physics Physique Fizika, 1(3), 195.
- Wang, H. Y. (2022). The modified fundamental equations of quantum mechanics. Physics Essays, 35(2), 152-164.
- Oppenheim, J., & Weller-Davies, Z. (2022). The constraints of post-quantum classical gravity. Journal of High Energy Physics. (2), 1-39.
- Bianconi, G. (2025). Gravity from entropy. Physical Review D, 111(6), 066001.
- Chang-Wei, H. (2024). The Theory of Compressibility Ether: Interpretation and Development of Modern Physics. Scientific Research Publishing, Inc. USA.
- Weiping, L., Benqing, S., Deke, X., Xintie, Y. (2007). Compressible flow acoustic interference phenomenon also has the Michelson – Morley effect. Mechanical Science and Technology. 26 (9): 1144-1146.
- Fung, Y. C. (1977). A first course in continuum mechanics. Englewood Cliffs.
- Landau, E. M Lifshitz. (1960). Continuum Mechanics. Beijing, People's Education Press. p546.
- Vanian, H. C., Ruffini, R. (2006). Gravitation and Space-time [M]. Science Press, Beijing. p313.
- Hongzhou, Z. (1989). A Preliminary Study on the Theory of Dislocations [J]. Beijing: Potential Science. No.5.
- Xianwei, Z. (2008). Quantum Statistical Mechanics [M], Beijing, Science Press. p62.
- Wilczek. (2010). The Lightness of Being [M]. Hunan Science and Technology Press.
- Xiaogang, W. (2012). Do we live in a bowl of noodle soup? Unification and Origin of Light and Electron. Physics. 41, 06.
- Minev, K. (2019). And other, to catch and reverse a quantum jump midflight. Nature. 570, 200-204.
- Jian, S. (2004). Space, Astronautics and Light Barriers. Proceedings of the 242nd Fragrant Hill Science Conference [C]. Beijing: Institute of Frontier Science.
- Xintie, Y. (2004). Breaking through the Light Barrier. Proceedings of the 242nd Fragrant Hill Science Conference. Beijing: Institute of Frontier Science.
- Shenglin, C. (2005). Einstein's Theory of Relativity and Superluminal Motion, 100 Scientific Problems in the 21st Century. Beijing,Science Press.
- Zaifeng, W. (2009). Tachyon and the Fallacy of Causality Violation. UFO Exploration. (11): 36-38.
- Pan, Y., Cohen, M. I., & Segev, M. (2023). Superluminal k-gap solitons in nonlinear photonic time crystals. Physical Review Letters, 130(23), 233801.
