Research Article - (2025) Volume 2, Issue 1
The Ewald-Oseen Extinction Theorem in the Light of Huygens’ Principle
2U. Sultangazin Pedagogical Institute, Kostanai Akhmet Baitursynuly Regional University, Kazakhstan
3Sirius, Moscow, Russia
Received Date: Feb 18, 2025 / Accepted Date: Mar 14, 2025 / Published Date: Mar 21, 2025
Copyright: ©©2025 Peter M. Enders, et al. This is an open-access article distributed under the terms of the Creative Commons Attribution License, which permits unrestricted use, distribution, and reproduction in any medium, provided the original author and source are credited.
Citation: Enders, P. M., Telegina, O., Radchenko, T., Onoochin, V. (2025). The Ewald-Oseen Extinction Theorem in the Light of Huygensâ?? Principle. Space Sci J, 2(1), 01-10.
Abstract
The Ewald Oseen extinction theorem deals with the penetration of an electromagnetic wave from a vacuum into a polarizable and/ or magnetizable medium. It states that the incident electromagnetic wave penetrates into the medium without perturbation. Within the medium, there is a polarization and/or magnetization which create(s), (i), the reflected wave, (ii), a wave which extinguishes the incident wave in the medium, (iii), the observed wave(s) in the medium, and, (iv), the wave(s) leaving the medium. The question arises, what excites the medium? For the incident wave does it not because it does not interact with the medium. Thus, while being mathematically correct, that theorem is both physically and philosophically incorrect as the excitation used has no reason but is being imposed from nothing. Moreover, it contradicts Huygens’ principle according to which, (i), the incident wave is absent after having excited the sources of the secondary wavelets and, (ii), each secondary source re-irradiates only one secondary wavelet (in case of double refraction, two ones). This contradiction is examined in terms of, (i), propagators (following Feynman) and, (ii), the electric Hertz vector (following Zangwill, where his calculations are simplified). Being mathematically correct, it may be useful to treat the theorem “as if” (Vaihinger) it also were physically correct.
Introduction
When a light wave enters a material medium, it magnetizes and/or polarizes it. The excited medium re-irradiates light. In view of the linearity of the Maxwell equations for linear media, one could think that the total electromagnetic field in the medium is the sum of the original (incident, exciting) and the re-irradiated fields. Actually, the incident beam is not observed in the medium. The Ewald Oseen extinction theorem explains this absence in that the excited medium creates three waves: (i), one, which annihilates aka extincts the incoming wave, (ii), one that propagates trough the medium according to its optical properties, see Figure 1 (p. 8, Figure 4), and, (iii), the reflected wave [1-3].
Mansuripur comments, as if “the oscillating electrons conspire to produce a field that exactly cancels out the original beam everywhere in the medium” (p. 209). Now, it is hard to believe, that “electrons conspire” that way as this phenomenon has nothing to do with collective effects like Langmuir waves [4,5]. Huygens’ secondary wavelets consist of only one part which, however, depends on the local propagation conditions (double refraction needs additional considerations [6-9]). Of course, mathematically, due to the linearity of the Maxwell equations and the linear media usually considered in the literature, the electric and magnetic field quantities can be rather arbitrarily split and combined. Anyway, the theorem has been reconsidered several times and for various materials, e.g. to name a few, and it enters some textbooks, e.g. For a review of various interpretations of the extinction process, see [10,11].
Sein states, “. . . the extinction theorem is essentially an expression of Huygens’ principle for the incident field inside the medium.” According to Lian, if Huygens’ principle is mathematically formulated such that, in a vacuum or in homogeneous isotropic media, back- scattering is absent, “it must satisfy” the extinction theorem (p. 5 II). Using simple cases, we will show that the extinction theorem and Huygens’ principle are mathematically equivalent but not physically.
Thus, to clarify the physical content of the Ewald Oseen extinction theorem and, in particular, its relationship to Huygens’ principle, this article proceeds as follows. Section II sketches the most general representation of Huygens’ principle in terms of propagators due.
The incident pulse enters the medium without perturbation (red line), the atoms irradiate waves to Feynman. Section III presents a novel representation of the extinction theorem using that framework. For subsequent use, Section IV provides the Maxwell-Heaviside equations and sketches the macroscopic and microscopic approaches for describing the polarization as well as Hertz’s potential and the electric Hertz vector, where a novel hypothesis is proposed. Basing on that, Section V treats the dielectric half-space, commenting on Born & Wolfs and Zangwill’s treatments. Finally, Section VI summarizes and concludes this article.
It is a correction, clarification, and major extension of an earlier article by one of us [12-28].

Feynman’s Representation of Huygens’ Principle in Terms of Propagators
The Chapman-Kolmogorov Equation
According to Feynman, Huygens’ principle can be expressed through propagators Pab as

where G is an appropriate propagator aka Green’s function [31,32]. It generalizes Huygens’ construction from sharp to spreading wave fronts, where the domain of sources of secondary wavelets is not necessarily a surface but may be a finite volume Vb. Sharp wave fronts correspond to a δ-function in G whence the volume integral is reduced to a surface integral. In the usual representations of Huygens’ construction, this surface is the location of the secondary sources.
Notice that the Chapman-Kolmogorov equation (2) is not fulfilled by the Green’s function of d’Alembert’s (Euler’s) wave equation in 3+1d. However, that does not mean that Huygens’ principle “is only approximately fulfilled in optics”. One has to transform a wave equation into two partial differential equations of first order in time and to analyze the corresponding matrix Green’s function.
Example
To illustrate that most general representation of Huygens’ principle, let us consider a very simple example, viz., a two-dimensional network of (ideally) lossless transmission lines, see Figure 2 [33].

A node connects 4 lines, say, in the directions West, North, East, and South. Each line has the impedance Z. A very short pulse of voltage 1 (arbitrary units) incident from the South is scattered as follows.
• The pulse enters the node from a line with impedance Z. At the node, it meets three lines with impedance Z each. Because they are parallel, their common impedance at the node is 1/3 Z . For this, the reflection coefficient equals (a node works like a voltage divider).

The voltage impulses in that network are described by a set of difference equations of first order in the propagation (time) step. Its fundamental solution is a discrete matrix Green’s function which obeys a Chapman-Kolmogorov equation [37].
BTW, TLM networks are (idealized) physical realizations of correlated random walks [38]. This makes their algorithms in numerical
mathematics extremely stable.
The Ewald Oseen Extinction Theorem in Terms of Propaga Tors
Let a in formula (1) refer to a state (point) outside a medium (vacuum), c to one inside the medium, and b to one on its surface. Then, formula (1) reads

Mathematically, both formulae (8) and (10) are equivalent. Physically, however, they are quite different. For Huygens’ principle –formula (8) – states that the incoming ‘wave’ is absorbed at the boundary.
Remark 1 What should be the reason for the secondary sources to irradiate two different secondary ‘wavelets’ into the medium according
to formula (10)? (For double refraction, see.
Remark 2 Again, if the incident ‘field’ travels unperturbed through the medium, which ‘field’ is exciting the medium?
General Electromagnetic Formulas for Later Use
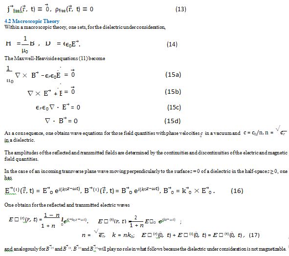
The Maxwell-Heaviside Equations
In what follows, we will consider an electromagnetic wave traveling through a vacuum and a linear, electrically neutral, homogeneous, and isotropic dielectric. To avoid confusions in the notations, let us begin with the Maxwell-Heaviside equations (SI units; cf. [39,40]).


Polarization
The relative dielectric constant ÃÃÃÃÂ???ÂÃÃÂ??ÂÃÂ?µr in eqs. (14) can also been represented by the polarization Pâ?? and the polarizability χ as

Microscopic Theory
The polarization Pâ?? (18) is related to the bound charge and current densities as

The symmetry of the electromagnetic field is obvious; in particular, Π is independent of ÃÃÂ?ÂÂ?. The vector and scalar potentials equal Aâ?? = (0, 0, −∂Π/∂t) and Φ = ∂Π/∂z, respectively. For this, the Hertz potential is also called a ‘super-potential’.
The boundary conditions used in eqs. (17) are not needed when looking for a solution in whole space. Such a solution can be obtained using the electric Hertz vector.

If that hypothesis holds true, it provides a reason for the fact that they have proven useful for solving many radiation problems (for a throughout analysis, see [44-46], for references of pedagogical purpose [47]). In contrast to the cumbersome traditional calculations (e.g., Section 2.4), the electric Hertz vector allows for a relatively direct treatment of the extinction theorem in non-magnetically, electrically neutral dielectrics (e.g. as will be discussed in what follows.
The Ewald-Oseen Extinction Theorem for a Dielectric Half- Space
Experimental Setup
Zangwill (Section 20.9) considers a dielectric as above which occupies the half-space z ≥ 0 (see his Figure 20.23 on p. 763). There is an incident plane wave of electric field strength Eâ?? (i) moving perpendicularly to the surface z = 0 of the dielectric,



The second line displays the extinction of the incident wave, while the last line describes the observed transmitted wave Eâ?? (t) (17) in the dielectric.
Our early recursion to the macroscopic theory in formulas (46) saves the calculations in (20.255) ff.
Obviously, that exposition is formally, mathematically correct. However, it contradicts Huygens’ principle, see Remark 4.

The second line displays the extinction of the incident wave, while the last line describes the observed transmitted wave Eâ?? (t) (17) in the
dielectric.
Our early recursion to the macroscopic theory in formulas (46) saves the calculations in (20.255) ff.
Obviously, that exposition is formally, mathematically correct. However, it contradicts Huygens’ principle, see Remark 4.
Summary and Conclusions
In our understanding, Huygens’ construction involves that the incident wave is completely extinguished by having excited the sources of the secondary wavelets; each of these sources irradiates one secondary wavelet according to its local propagation conditions (in case of double refraction, two secondary wavelets are irradiated).
On the contrary, the Ewald Oseen extinction theorem describes refraction this way: The incident wave moves through the refracting medium without any alteration;
There is a polarization and/or a magnetization of the medium creating three or four waves:
(a) the reflected wave,
(b) one wave which extinguishes the incoming wave,
(c) one wave which corresponds to the observed one (in case of double refraction two waves).
Here, the question arises, how the medium is excited when the incident wave moves through it without alteration, i.e. without interacting with the medium? Hence, as the excitation of a medium has not any cause, the theorem is both physically and philosophically doubtful. Therefore, it resembles Vaihinger’s philosophy of ‘as if’ [50]. It can be useful to act “as if” it were physically (and philosophically) correct.
As an example, we have shown in Section III that an abstract propagator description is mathematically compatible with both points of view. This corroborates Feynman’s interpretation of Huygens’ principle in terms of the Chapman-Kolmogorov equation (2). However, both descriptions are mathematically but not physically equivalent.
Notice that all those treatments discard the interaction principle in that the incident wave acts upon the secondary sources, while there is no back-reaction from the secondary sources upon the incident wave (cf. end-note 9).
For the sake of completeness, let us remark this. The Ewald Oseen extinction theorem imagines that each secondary source in Huygens’ principle re-irradiates more than one secondary wavelet. This resembles the standard interpretation of the surface integral terms in Kirchhoff’s integral theorem in that it “involves two types of sources of varying strength.” [51,52]. For a criticism of that interpretation as well as considering Kirchhoff’s theorem as a representation of Huygens’ principle, see.
Acknowledgments
Parts of this work were performed at the U. Sultangazin Pedagogical Institute, Kostanai Akhmet Baitursynuly Regional University, Kazakhstan. The hospitality over there was overwhelming, comparable with the one described by J. M. Ziman in the preface to his well- known book on solid-state theory [53]. Moreover, one of us (PE) feels highly indebted to Masud Mansuripur for numerous enlightening explanations when writing the earlier version and Christian Vanneste for sharing his insights on scattering theory, which finally re- solved the local realization of Huygens’s principle within transmission line matrix modeling as well as his hospitality in Sophia Antipolis during the TLM conference over there. He also thanks Hassan Bolouri, Rudolf Germer, Jan Helm, Axel Kilian, and Bernd Steffen for a helpful discussion on the crucial issues of this article.
References
1. Enders, P. (2011). The Ewald-Oseen extinction theorem in the light of Huygens’ Principle. Electronic Journal of Theoretical Physics, 41, 127-136.
2. Oseen, C. W. (1915). Über die wechselwirkung zwischen zwei elektrischen dipolen und üer die drehung der polarisationsebene in kristallen und flüssigkeiten. Annalen der Physik, 353(17), 1-56.
3. H. S. Tetikol, Ewald-Oseen Extinction Theorem, Thesis, Koc University, Nov. 24, 2015
4. M. Mansuripur, Classical Optics and its Applications, Cambridge: Cambridge Univ. Press 22009, Ch. 16
5. Tonks, L., & Langmuir, I. (1929). Oscillations in ionized gases. Physical Review, 33(2), 195.
6. Huygens, C. (1966). Horologium oscillatorium sive de motu pendulorum ad horologia aptato demonstrationes geometricae. Apud F. Muguet.
7. Chr. Huygens, Trait´e de la lumi`ere, Leiden: Pierre van der Aa 1690. German: Abhandlung ueber das Licht, Thun Frankfurt am Main: Deutsch 41996 (Ostwald’s Classics 20).
8. Blok, H., Ferwerda, H. A., & Kuiken, H. K. (1992). Huygen's principle 1690-1990: theory and applications.
9. Lal, B., Subrahmanyam, N., & Hemne, P. S. (2008). Heat Thermodynamics and Statistical Physics. S. Chand Publishing.
10. Sein, J. J. (1969). An integral-equation formulation of the optics of spatially dispersive media. New York University.
11. Fearn, H., James, D. F., & Milonni, P. W. (1996). Microscopic approach to reflection, transmission, and the Ewald–Oseen extinction
theorem. American Journal of Physics, 64(8), 986-995.
12. Pattanayak, D. N., & Wolf, E. (1972). General form and a new interpretation of the Ewald-Oseen extinction theorem. Optics communications, 6(3), 217-220.
13. Wangsness, R. K. (1981). Effect of matter on the phase velocity of an electromagnetic wave. American Journal of Physics, 49(10),
950-953.
14. Sein, J. J. (1989). Solutions to time-harmonic Maxwell equations with a hertz vector. American Journal of Physics, 57(9), 834-839.
15. Mansuripur, M. (2015). The Ewald-Oseen extinction theorem. arXiv preprint arXiv:1507.05234.
16. Ballenegger, V. C., & Weber, T. A. (1999). The Ewald–Oseen extinction theorem and extinction lengths. American Journal of Physics, 67(7), 599-605.
17. Mansuripur, M., & Zakharian, A. R. (2009). Maxwell’s macroscopic equations, the energy-momentum postulates, and the Lorentz law of force. Physical Review E—Statistical, Nonlinear, and Soft Matter Physics, 79(2), 026608.
18. Berman, D. H. (2003). An extinction theorem for electromagnetic waves in a point dipole model. American Journal of Physics, 71(9), 917-924.
19. Lian, R. (2018). On Huygens' Principle, Extinction Theorem, and Equivalence Principle (Inhomogeneous Anisotropic Material System in Inhomogeneous Anisotropic Environment). arXiv preprint arXiv:1802.02096.
20. Hadamard, J., & Hadamard, J. (1932). Le problème de Cauchy et les équations aux dérivées partielles linéaires hyperboliques: leçons professées à l'Université Yale. (No Title).
21. Enders, P. (1996). Huygens' principle and the modelling of propagation. European Journal of Physics, 17(4), 226.
22. Enders, P. (2001). Huygens' principle in the transmission line matrix method (TLM). Global theory. International Journal of Numerical Modelling: Electronic Networks, Devices and Fields, 14(5), 451-456.
23. Enders, P. (2009). Huygens' principle as universal model of propagation. Latin-American Journal of Physics Education, 3(1), 4.
24. Lakhtakia, The Ewald–Oseen Extinction Theorem, Weiglhofer Symp. Electromagnetic Theory, Maxwell Found., Edinburgh, UK, July 18–19, 2022.
25. Born, M., & Wolf, E. (2013). Principles of optics: electromagnetic theory of propagation, interference and diffraction of light.
Elsevier.
26. Zangwill, Modern Electrodynamics, Cambridge: Cambridge Univ. Press 2013, Section 20.9.
27. Feynman, R. P. (1948). Space-time approach to non-relativistic quantum mechanics. Reviews of modern physics, 20(2), 367.
28. Enders, P. (2011). The Ewald-Oseen extinction theorem in the light of Huygens’ Principle. Electronic Journal of Theoretical Physics, 41, 127-136.
29. Chapman, S., & Cowling, T. G. (1990). The mathematical theory of non-uniform gases: an account of the kinetic theory of viscosity,
thermal conduction and diffusion in gases. Cambridge university press.
30. Enders, P. Huygens^ Principle as Rather Universal Model of Propagation and Transport.
31. Enders, P. (2011). The Ewald-Oseen extinction theorem in the light of Huygens’ Principle. Electronic Journal of Theoretical Physics, 41, 127-136.
32. Barton, G. (1989). Elements of Green's functions and propagation: potentials, diffusion, and waves. Oxford University Press.
33. Mircha – Own work, 4 Oct. 2006, CC BY-SA 3.0.
34. Enders, P., & Vanneste, C. (2003). Huygens' principle in the transmission line matrix method (TLM). Local theory. International Journal of Numerical Modelling: Electronic Networks, Devices and Fields, 16(2), 175-178.
35. Hoefer, W. J. R., So, P. P. M., Pompei, D., & Papiernik, A. (1990, November). Numerical analysis of guiding and radiations microwave structures band on Huyghens's principle. In Dutch Association for Mathematical Physics, International Symposium Huyghens's Principle.
36. Hoefer, W. J. (1991). Huygens and the computer-a powerful alliance in numerical electromagnetics. Proceedings of the IEEE, 79(10), 1459-1471.
37. De Cogan, D., & Enders, P. (1994). Discrete Green's functions and hybrid modelling of thermal and particle diffusion. International Journal of Numerical Modelling: Electronic Networks, Devices and Fields, 7(6), 407-418.
38. Enders, P., & de Cogan, D. (1992). Discrete modelling of transport processes in two spatial dimensions. International Journal of Numerical Modelling: Electronic Networks, Devices and Fields, 5(2), 121-127.
39. J. C. Maxwell, A Dynamical Theory of the Electromagnetic Field, Phil. Trans., R. Soc. CLV (1865) 459–512 (article accompanying the Dec. 8, 1864 presen- tation to the Royal Society.
40. O. Heaviside, Electromagnetic theory, London, UK: Elibron Classics 2005; Vol. I, AMS Chelsea Publ. 2003 (Vol. 237, preface by E. Whittaker), Cosimo Classics 2007; Vol. II, London: “The Electrician” 1899
41. Hampshire, D. P. (2018). A derivation of Maxwell's equations using the Heaviside notation. Philosophical Transactions of the Royal
Society A: Mathematical, Physical and Engineering Sciences, 376(2134), 20170447.
42. Hertz, H. (1889). Die Kräfte electrischer Schwingungen, behandelt nach der Maxwell'schen Theorie. Annalen der Physik, 272(1), 1-22.
43. P. Enders, Equat Causa Effectum [Effect equals cause], invited plenary talk, Fundamental Frontiers of Physics (FFP15), Nov. 27–30, 2017, Orihuela (Spain), in: B. G. Sidharth, J. C. Murillo, M. Michelini & M. Perea (Eds.), Fundamental Physics and Physics Education Research, Springer 2021, pp. 37–47.
44. Hertz, H. (1892). Untersuchungen ueber die Ausbreitung der elektrischen Kraft (Vol. 2). JA Barth.
45. Nisbet, A. (1955). Hertzian electromagnetic potentials and associated gauge transformations. Proceedings of the Royal Society of London. Series A. Mathematical and Physical Sciences, 231(1185), 250-263.
46. McCrea, W. H. (1957). Hertzian electromagnetic potentials. Proceedings of the Royal Society of London. Series A. Mathematical and Physical Sciences, 240(1223), 447-457.
47. Kannenberg, L. (1987). A note on the Hertz potentials in electromagnetism. American Journal of Physics, 55(4), 370-372.
48. Stakgold, I., & Holst, M. J. (2011). Green's functions and boundary value problems. John Wiley & Sons.
49. https://en.wikipedia.org/wiki/Ewald%E2%80%93Oseen_extinction_theorem#Hertz_
50. Vaihinger, H. (1911). Die Philosophie des Als Ob. Kant-Studien, 16(1-3), 108-115.
51. Kirchhoff, G. (1883). Zur theorie der lichtstrahlen. Annalen der Physik, 254(4), 663-695.
52. Miller, D. A. (1991). Huygens's wave propagation principle corrected. Optics letters, 16(18), 1370-1372.
53. Ziman, J. M. (1979). Principles of the Theory of Solids. Cambridge university press.

