Research Article - (2025) Volume 2, Issue 2
The Energy-Momentum Tensor of Electromagnetism Revisited
Received Date: Mar 17, 2025 / Accepted Date: Apr 14, 2025 / Published Date: Apr 21, 2025
Copyright: ©2025 Serge Collin. This is an open-access article distributed under the terms of the Creative Commons Attribution License, which permits unrestricted use, distribution, and reproduction in any medium, provided the original author and source are credited.
Citation: Collin, S. (2025). The Energy-Momentum Tensor of Electromagnetism Revisited. Space Sci J, 2(2), 01-05.
Abstract
Maxwell's energy-momentum tensor cannot be used as is in Einstein's equation for general relativity in the presence of sources. In this case, its four-divergence is non-zero, whereas the tensors in the equation must have this characteristic. However, the sun emits streams of ionized particles, gases are present within galaxies, material transfers in the form of ionized plasma can occur in binary star systems, and so on. These charges cannot be neglected in the study of space-time in these regions. Here, we present a modified version of this tensor that eliminates this flaw, provided that the potentials satisfy the Lorenz gauge. The distribution of sources will also be analyzed in light of fluid mechanics, allowing us to account for its influence in terms of generated pressure. Keywords: electromagnetism, general relativity, cosmology, canonical tensor.
Introduction
In the context of Noether's theorem, an energy-momentum tensor is canonical if the four divergence is zero. This corresponds to the conservation of energy and momentum. Unfortunately, the energy-momentum tensor of Maxwell commonly used satisfies this condition only in the absence of charges and currents and therefore cannot be used as is in presence of sources.
If, within the framework of general relativity, we wish to have a geometrically correct description of spacetime on scales of galaxies, star systems, etc., we cannot neglect the influence of the charged particles present and their interactions with electromagnetic fields. These phenomena must therefore be taken into account in the energy-momentum tensor that appears in Einstein's equations.
The problem of formulating a stress-energy-momentum tensor for electromagnetism dates back over a century, and has never really been solved in the case of the presence of sources (charges and/or currents). Some research has tackled the question, but generally from a specific angle [1-3]. In this article, we deal with the problem in all its generality.
The tensor presented in this article takes these effects into account and is thus likely to pave the way for better modeling and, in turn, improve the understanding and knowledge of the physics of these regions. If sources are present, they will be modeled by a fluid of charged particles. The rest space is considered to be comoving with the particles, and the values are the means of the total particles.
Symmetry comes at a cost: the potentials must satisfy the Lorenz gauge. For the sake of simplicity in writing, the development is first carried out within the framework of special relativity in Minkowski spacetime and will then be extended to general relativity.
Notation
The Greek indices take the values 0, 1, 2, and 3, while the Latin indices range from 1 to 3. The main symbols used in this paper are summarized in the following table.

Charged Particles Distribution

Construction of a Canonical Tensor, Neither Symmetric Nor Anti-Symmetric
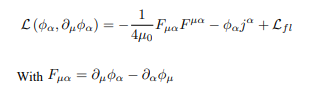
Let us start with the Lagrangian density of electromagnetism in the presence of charges, augmented by the Lagrangian density of incompressible relativistic fluid Lfl, as we consider it to represent the particle distribution. This provides


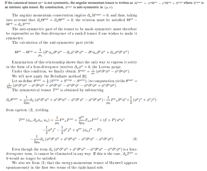
Angular Momentum Conservation

Hamiltonian Density
In our canonical tensor, the Hamiltonian density is provided by the term T00. Calculating this element leads to the following expression


Tµµ in special relativity

General Relativity
In the presence of charges, the Maxwell stress-energy momentum tensor is not suitable for use, as is the case for Einstein's equation, because its 4-divergence is not null. On the other hand, the tensor that we developed in (3) does not suffer from this defect and can be introduced directly, as is Einstein's equation.
Its covariant form, adapted to general relativity, is given by


Conclusion
Starting from the "noncanonical" Maxwell stress-energy-momentum tensor in the presence of sources, we have augmented it to make it canonical, meaning that its four-divergence is zero in the presence of charged or uncharged massive particles.
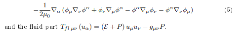
The most outstanding result is given by (5), which provides a new SEM tensor for electromagnetism that is suitable for direct use in Einstein's equation, and which we have completed by modeling charges limited to the form of an incompressible, inviscid fluid to give (4). We also open some paths to detect exotic matter in vicinity of black holes and supernovae. Clearly, this modeling is only a basic example, and further modeling can be envisaged by adding additional tensors, provided that they agree with Einstein's equation of general relativity.
By treating these particles as incompressible fluids, we observe that these sources modify the fluid pressure, as can be calculated, for instance, from the ideal gas law.
A similar result but with a different start point can be found in another paper I published [9].
We hope that this article will contribute to better modeling ionized gas behavior within the interstellar medium and, linked to metrics such as the Schwarzschild or Friedmann Lemaître Robertson Walker metrics, improve cosmology understanding. The price to pay for achieving tensor symmetry is the adherence to the Lorenz gauge. Therefore, it is tempting to consider the Lorenz gauge as a fifth equation of electromagnetism that would complement the four Maxwell's equations.
Data Availability Statement: No Data Associated in the Manuscript
Declarations
Funding
There is no funding related to this research.
Conflicts of Interests/Competing Interests
I have no conflicts of interests or competing interests to declare.
References
- Anghinoni, B., Flizikowski, G. A. S., Malacarne, L. C., Partanen, M., Bialkowski, S. E., & Astrath, N. G. C. (2022). On theformulations of the electromagnetic stress–energy tensor. Annals of Physics, 443, 169004.
- Partanen, M., & Tulkki, J. (2021). Covariant theory of light in a dispersive medium. Physical Review A, 104(2), 023510.
- Ellingsen, S. Å., & Brevik, I. (2011). Electrostrictive fluid pressure from a laser beam. Physics of Fluids, 23(9).
- Weinberg, S. (1972). Gravitation and Cosmology.
- Landau, L. D. (Ed.). (2013). The classical theory of fields (Vol. 2). Elsevier.
- Landau, L. D. (1959). Em lifshitz, fluid mechanics. Course of theoretical physics, 6.
- Collin, S. (2024). The Energy-Momentum Tensor of Electromagnetism Revisited.
- Belinfante, F. J. (1940). On the current and the density of the electric charge, the energy, the linear momentum and the angular momentum of arbitrary fields. Physica, 7(5), 449-474.
- Collin, S. (2024). Tensor Lorentz Force Representation Yields a New Electromagnetic Canonical Energy-Momentum Tensor.

