Research Article - (2025) Volume 4, Issue 6
The Condition for the Invariance of the Speed of Light in Special and General Relativity
Received Date: Nov 05, 2025 / Accepted Date: Dec 15, 2025 / Published Date: Dec 26, 2025
Copyright: ©2025 Hyoungseok Koh. This is an open-access article distributed under the terms of the Creative Commons Attribution License, which permits unrestricted use, distribution, and reproduction in any medium, provided the original author and source are credited.
Citation: Koh, H. (2025). The Condition for the Invariance of the Speed of Light in Special and General Relativity. J Electrical Electron Eng, 4(6), 01-10.
Abstract
This study aims to investigate the conditions for the the law of invariance of the instantaneous speed of light in both inertial and non-inertial systems. By applying inertial forces, it argues that the invariance of the instantaneous speed of light applies not only to inertial systems but also to non-inertial systems, since inertial forces transform them into instantaneous inertial systems. In particular, while acceleration acts from the objects, inertial force acts from the rest field, thus presupposing the existence of such a rest field. Furthermore, the Lorentz transformation and its inverse, derived solely from the invariance of light speed, represent the relativity of observers. However, acceleration and gravity, both of which belong to non-inertial systems, are not equivalent, because the conditions under which the invariance of instantaneous light speed holds differ. In accelerating coordinate systems, the equivalence principle between acceleration and inertial force allows transformation into an instantaneous uniformly moving system. In contrast, a gravitational field involves not only the equivalence between gravity and inertial force but also the equivalence between gravitational and inertial mass, thereby forming an instantaneous inertial system. Meanwhile, in a gravitational field, applying the Lorentz transformation to the momentarily comoving rest system of a freely falling object yields the Schwarzschild metric, which corresponds to an instantaneous inertial system. Within the gravitational field of a star, by substituting the Schwarzschild metric into the geodesic equation, one can derive the spacetime paths of matter and light. A more detailed discussion of this will be reserved for future work.
Keywords
Absolutism, Relativity, Lorentz Transformation, Light’s Instantaneous Speed, Equivalence Principle, Schwarzschild Metric Tensor
Introduction
The universe is governed by four fundamental forces, among which electromagnetism shapes atomic structure and material cohesion, while gravity determines the formation of massive bodies and the dynamics of the cosmos. Because gravity acts universally on all matter and on light, the structure of space-time must account for both gravitational and gravity-free regions. Newton’s formulation of universal gravitation provided a unified explanation of gravitational attraction across scales, from objects falling on Earth to the orbit of planets. Einstein later expanded this framework by integrating the equivalence principle between acceleration and gravity with the principles of special relativity, allowing the bending of light and matter in gravitational fields to be calculated [1]. Yet Newton assumed absolute space-time, while Einstein adopted a relative conception [2,3].
To develop a framework of absolutist relativity, this study adopts the invariance of the instantaneous speed of light as a universal physical law. The relativity of physical laws in special relativity is regarded not as an independent axiom but as a consequence of lightspeed invariance. Under this viewpoint, Newton’s law of inertia is extended to include the behavior of light and to allow inertial forces in accelerated systems to operate within gravitational fields. In other words, by presenting the principle of equivalence between non-inertial and inertial forces, a theoretical basis was established for distinguishing between the equivalence of acceleration–inertial force and that of gravity–inertial force, since the two produce similar but not identical physical effects.
Chapter 2 examines the invariance of instantaneous light speed in inertial systems. Here, Newton’s law of inertia is broadened so that an inertial system includes stationary objects, objects in uniform motion, and light propagating at speed c. From this, three axioms valid in inertial systems are formulated: the invariance of instantaneous light speed, the invariance of rigid-ruler length, and the periodicity of atomic clocks. The invariance of light speed in inertial systems is then defined in two ways. First, in a stationary system, it is established through direct round-trip light measurements using rigid rulers and atomic clocks. Second, it is formulated through the principle of local simultaneity, whereby light emitted simultaneously from a nearby source reaches nearby observers simultaneously, enabling the Lorentz transformation and its inverse to be derived solely from light-speed invariance. Importantly, stationary and constant-velocity systems can be distinguished by round-trip light experiments using light rulers, though not by Michelson–Morley interference experiments using rigid rulers.
Chapter 3 extends the analysis to non-inertial systems. Newton’s second law is rewritten as f + (-ma) = 0, where the term -ma represents the inertial force. When applied forces and inertial forces balance, the accelerating system becomes a momentary inertial system in which the invariance of instantaneous light speed holds. However, acceleration and gravity, though similar, are not equivalent, and the application of the light-speed invariance principle differs accordingly. In accelerating systems, the equivalence between acceleration and inertial force allows transformation into a momentary constant-velocity system. In gravitational fields, both the equivalence between gravity and inertial force and the equivalence between gravitational and inertial mass operate together, yielding a momentary inertial system. Applying a modified Lorentz transformation to the momentarily comoving frame of a freely falling object leads to the Schwarzschild metric, from which the curved spacetime of matter and light can be derived, although a full treatment of geodesic motion lies beyond the scope of this study.
Through these considerations, the study shows that relative space- time emerges naturally from the invariance of instantaneous light speed, while absolute features arise from the invariance of rigid-ruler length and the periodicity of atomic clocks. Since all coordinate systems in the universe preserve the instantaneous invariance of light speed—either directly in inertial systems or through inertial forces in non-inertial systems—the study emphasizes that the absolute distinction of coordinate systems and the relativity of observers coexist, depending on the conditions under which the light-speed invariance law applies in both inertial and non-inertial frames.
Invariance of Lights Instantaneous Speed in Inertial Systems
While Newton's Principia begins with definitions, Einstein's theory of relativity starts with axioms. However, the fundamental principles of physics should be based on the law of the invariance of the instantaneous speed of light, which always holds in the universe. Accordingly, the principle of invariance of momentary light speed, the periodicity principle of atomic clocks, and the invariance of rigid ruler length are adopted as three axioms. Inertial systems are categorized into stationary and constant- velocity systems owing to the presence of fixed, rigid rulers and atomic clocks, whereas the relativity of observers is established through the common use of light.
Stationary System Determined Through Experiments to Measure The Speed of Light
Newton posited that all objects possess inherent inertial forces that maintain their state of rest or motion. Inertial systems were defined as zero-gravity fields in which the law of inertia applies. These systems are thought to comprise stationary and constant- velocity points, forming stationary and constant- velocity systems. Einstein introduced the principle of the relativity of physical laws as an axiom, stating that stationary and constant- velocity systems in inertial systems are indistinguishable. Newton, on the other hand, failed to address the concept of establishing stationary systems in zero-gravity fields when he asserted that the center of the world system is stationary [4]. However, stationary systems can be determined through round-trip light experiments by applying the three axioms.
Distinguishing between stationary and constant- velocity systems in an inertial system depends on the measuring instruments utilized. Neither Newton nor Einstein physically defined the tools for measuring spatial coordinates
and temporal coordinates t in inertial systems. Unlike mathematical coordinate systems, physical coordinate systems must first define the tools utilized for measurement. The physical invariance of the rigid ruler, atomic clock, and light utilized by inertial observers to measure coordinates are as follows:
• Invariance of Rigid Ruler Length: In inertial systems, length is measured using rigid rulers constructed with rigid rod that do not expand or contract. The mechanical length of a rigid ruler remains constant regardless of the stationary coordinate system, with all points on the rigid ruler being simultaneous. This is called the invariance of rigid ruler length.
• Periodicity Principle of Atomic Clocks: The time of a stationary point in an inertial system is measured using atomic clocks, utilizing the frequency of waves emitted by atoms to measure time. The periods of atomic clocks align when relatively stationary but differ when relatively moving. This is called the periodicity principle of atomic clocks.
• Invariance of Light Speed: Initially, the speed of light was measured in optics through round-trip light experiments, subsequently defined by electromagnetism as c = √μº εº where μ0 and ε0 represent the vacuum permeability and permittivity, respectively. In the special theory of relativity, Einstein postulated the invariance of light speed in inertial systems in two steps.
First, he measured the speed of light c through a round-trip light experiment in an arbitrarily chosen rest frame. Since he assumed the relativity of inertial systems, he selected one among many inertial frames as the rest frame for convenience. Then, based on the invariance principles of rigid ruler length and atomic clock periodicity, he measured the speed of light through the round-trip experiment [5]. For a rigid ruler of length x' and round-trip time t', the speed of light can be calculated as follows
c = 2x' / t' (1)
Next, he declared the following postulate that the speed of light ccc is invariant in all inertial systems [6].
Each ray of light moves in the coordinate system 'at rest' with the definite velocityc, independent of whether this ray of light is emitted by a body at rest or a body in motion. Here, velocity = light path / time interval, where 'time interval' should be understood in the sense of the definition in §1.
Since he had assumed the relativity of inertial systems, he believed that the speed of light c could be measured in other inertial systems using the same method as in the rest frame.
However, the round-trip time of light t′, measured in (1), remains constant regardless of the direction of light in certain inertial frames, whereas in other inertial frames, it varies depending on the direction. The former is referred to as a stationary system, whereas the latter is known as a constant- velocity system [7]. Einstein overlooked the fact that the inertial system in which the speed of light c can be measured using a rigid ruler and an atomic clock in a round-trip light experiment is the absolute rest frame.
Here, differentiating between round-trip light experiments and the Michelson-Morley interference experiment is crucial. In round- trip light experiments, the distance from the light source to the mirror is determined using a light ruler. However, in stationary systems, the round-trip distances align and return simultaneously, whereas in constant- velocity systems, they do not align or return simultaneously. On the other hand, interference experiments involve measuring the round-trip distance from the source to the mirror using rigid rulers. When rigid rulers are employed, both stationary and constant- velocity systems yield identical round-trip distances, resulting in no phase difference. Therefore, round-trip light experiments utilizing light rulers can differentiate between stationary and constant- velocity systems, whereas interference experiments using rigid rulers cannot. Einstein failed to recognize the distinction between rigid and light rulers, thereby overlooking this difference [8].
Once the stationary system is established, the observer measures the spatial coordinates x,y,z of a stationary point P using rigid rulers and the temporal coordinate t using atomic clocks [9]. Distance atomic clocks must be synchronized to measure the time coordinate t of a stationary point P. Synchronization introduced by Einstein, involved aligning the times of clocks in the stationary system using rigid rulers and light. For two clocks, Oand P, separated by distance r, measured with a rigid ruler, synchronization is achieved such that light sent from O at t0 reaches P at t,
t = t0 +r⁄c. (2)
This is referred to as the light clock between atomic clocks O and P, with the synchronization process referred to as coordinate synchronization. The observer in the stationary system records the coordinates of stationary points P as P(x,y,z,t) in Minkowski space-time and utilizes Euclidean geometry for representation. For synchronized stationary points Q1 (x1 , y1 , z1 , t1) and Q2 (x2 , y2 , z2 ,t2), the distance measured by light is c(t2 - t1), referred to as the light ruler [10]. Therefore, the stationary observer utilizes rigid and light rulers, along with atomic and light clocks.
The concept of “local simultaneity” refers to the absence of spatial distance and time interval between two points, resulting in identical coordinates. The stationary observer cannot directly measure the coordinates of a moving point P′ passing nearby; therefore, they apply local simultaneity and instead use the coordinates of the stationary point P(x,y,z,t). Once the coordinates of the moving point P'(x,y,z,t) are determined, their velocity and acceleration can be calculated.
Distinguishing between the kinematic differences of a moving object and light as a moving point is crucial in this context. In inertial systems, a constant- velocity object M with velocity v cannot accelerate or decelerate. Therefore, the stationary origin O and observer P are passed by M at velocity v. Conversely, light L, with a rest mass of 0, repeatedly experiences energy increase and decrease while traveling from the stationary source O to a stationary point P1, repeating this motion until it reaches the stationary observer P. In the Stationary system, although the light source and the observer are stationary points, light is a point that accelerates due to proximal interaction per period. Consequently, inertial systems must consider not only stationary and constant- velocity points but also periodically moving light.
Constant- Velocity System Where the Invariance of the Speed of Light Holds According to the Simultaneity in the Vicinity
When a stationary system establishes its coordinate system using rigid rulers, atomic clocks, and lights, a constant- velocity system constructs its coordinate system using only atomic clocks and light. Following the principle of local simultaneity, light emitted simultaneously from two light sources in the vicinity will reach an observer simultaneously. Similarly, light emitted from a single source will reach two observers in the vicinity simultaneously. Light emitted simultaneously from a stationary and a constant- velocity source in the vicinity will reach both a stationary and a constant- velocity observer passing through the vicinity simultaneously. The speeds of light measured by both observers remain constant at c, regardless of the relative velocity of the light sources; this is because light propagates through proximate interaction and enters from a relatively stationary light source.
Both the stationary and constant- velocity observer share light and atomic clocks, which enable the derivation of the Lorentz transformations and their inverses between the stationary observer P(x,y,z,t), and constant- velocity observer P' (ξ, η, ζ, τ) solely from the principle of the constancy of the speed of light [11].

From Eqs. (3) and (4), because the stationary observer P and constant- velocity observer P′ share light, each observer perceives themselves as being at rest with respect to their own stationary light source while viewing the other as moving. This phenomenon is known as the relativity of observers.
By sharing light, both the relativity of observers and that of physical laws are established. However, Einstein failed to recognize that the relativity of physical laws stems from the principle of the constancy of the speed of light. He erroneously treated the relativity of physical laws as an axiom equal to the principle of the constancy of the speed of light [12].
In Eq. (3), when the constant- velocity observer P' utilizes both rigid rulers and light in the Lorentz transformation, the absoluteness of the coordinate system emerges

In Eq (5), the coordinate of the axis parallel to the direction of motion satisfies ξ=kx′. This indicates that the coordinate ξ measured with a light ruler is k times longer than x′ measured with a rigid ruler [13]. (6) By comparing rigid rulers fixed in inertial systems, we can distinguish between stationary and constant- velocity systems, known as the absoluteness of inertial systems. Einstein mistakenly interpreted the relativity of physical laws as the relativity of inertial systems, leading to the erroneous belief that stationary and constant- velocity systems cannot be distinguished.
In Eq. (5), if ξ= 0, then τ0 = t/k applies, suggesting that the atomic clock in the constant- velocity system ticks 1⁄k times slower than that in the stationary system. This indicates that the clock in the stationary system moves the fastest in the universe (7)
In Eq. (5), the equation τ = τ - vξ ⁄ c2 holds between the time τ at the origin O′ of the constant- velocity system and the time τ of the constant- velocity observer P′. (8)
From Eqs. (2) and (8), it can be seen that the synchronization of the stationary system and the constant- velocity system are different. Eq. (2) represents the synchronization of the entire stationary system, whereas eq. (8) indicates that only the vertical plane at the ξ-axis is synchronized in the constant- velocity system. This difference in synchronization methods allows the stationary and constant- velocity systems to be distinguished absolutely. The fact that all atomic clocks in the stationary system are simultaneous, while only the planes perpendicular to the ξ-axis are simultaneous in the constant- velocity system, suggests that the relativity between the stationary and constant- velocity observers is local. In other words, relativity between observers applies not to a global coordinate system but to local coordinate systems.
In an inertial system, the coexistence of the coordinate system’s absoluteness and the relativity among observers is possible because the stationary system uses rigid rulers, atomic clocks, and lights, while the constant- velocity system uses lights and atomic clocks.
In the stationary system, all points are synchronized using a rigid ruler and light. However, in a constant- velocity system, only the points on the plane perpendicular to the direction of motion can be synchronized using a rigid ruler and light [14]. The stationary and constant- velocity systems can be distinguished by comparing these synchronization methods; additionally, the time at the origin of the constant- velocity system lags behind that of the stationary system by a factor of 1/k [15]. However, the relativity among observers becomes evident since both stationary and constant- velocity observers in the vicinity use light. The Doppler effect is a clear manifestation of the relativity of observers.
Invariance of Lights Instantaneous Speed in Non-Inertial Systems
Einstein denied the existence of a rest system or even a momentary rest system not only in the principle of special relativity but also in the principle of general relativity. He argued that in the equivalence principle of acceleration and gravity, the inertial force acts in opposition to acceleration. However, while acceleration is caused by a force exerted by other objects, inertial force originates from the rest field, thus having a different source. Paradoxically, the equivalence principle of acceleration and gravity, as proposed by Einstein, presupposes the existence of the universal rest field. He made an error by interpreting the relativity of physical laws solely as the relativity among inertial systems. Non-inertial systems are transformed into momentary inertial systems through the principle of equivalence between non-inertial forces and inertial forces. However, while in an accelerated system the accelerating force and its corresponding inertial force curve only the space-time of the accelerating object itself, gravity and its corresponding inertial force curve the surrounding space-time, and furthermore, space- time is additionally curved by the motion of matter and light.
Therefore, these two must be distinguished. This distinction provides a rationale for separating the equivalence principle of acceleration and inertial forces from that of gravity and inertial forces.
Accelerating System in Which the Equivalence Principle of Acceleration and Inertial Force Applies
Previously, we explored the constancy of the speed of light in inertial systems where a = 0. Notably, the constancy also applies to

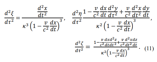
The velocities in the addition formula are determined using light rulers and clocks. Equations for acceleration between the stationary and constant- velocity observers are observed by differentiating Eq. (10) as follows:

This analysis demonstrates that acceleration can be measured in both stationary and constant- velocity systems. To ensure the sustainability of stars from the stability of atoms, the principle of invariance of the instantaneous speed of light must hold even in accelerated systems. Here, an accelerated system must transition into a momentary constant- velocity system for the law of invariance of the instantaneous speed of light to apply. That is, the equivalence principle between acceleration and inertial forces must be applied to the accelerating object:

When electric forces accelerate a charge, inertial forces from the rest field convert it into a momentary constant- velocity system. Consequently, the principle of equivalence between acceleration and inertial forces ensures alignment of the origins of the accelerated and constant- velocity systems[16]. The relationship between the accelerations of the system and momentary constant- velocity systems is as follows:

Indicating that the longitudinal inertial mass k3 m measured in the stationary system is k3 times greater than the accelerated mass m measured in the momentary constant- velocity system [17].
As the stationary electric field continuously transfers energy to the charge, the inertial mass increases, diverging from the accelerated mass. Stationary observers, utilizing rigid rulers, interpret this as mechanical acceleration, whereas momentary constant- velocity observers, using light rulers, refer to it as electromagnetic acceleration. These distinguish the equivalence principle between acceleration and inertial force from the equivalence principle between gravity and inertial force.
When an electric field (X,Y,Z) acts on a charge q, the stationary electric force behaves as if it originates from a relative stationary system when transferred to a charge moving at velocity v. Owing to the equivalence principle of acceleration and inertial forces, the electric force is transmitted as if it originates from the momentary constant- velocity system. The stationary electric field (X,Y,Z) transitions into the constant- velocity electric field (X',Y',Z' ) as

Notably, a charge accelerated by a stationary electric field cannot exceed the speed of light, as indicated in Eq. (24). The longitudinal inertial mass of a charge significantly increases as it approaches the speed of light, preventing further acceleration [19].
The law of the invariance of the speed of light, which holds in inertial systems, also holds in accelerated systems due to the equivalence principle of acceleration and inertial forces. In a zero-gravity field, the acceleration caused by electromagnetic forces cannot exceed the speed of light c because the inertial mass increases.
Gravitational Field in Which the Equivalence Principle of Gravity And Inertial Force and of Gravitational and Accelerated Masses Apply
The law of invariance of the instantaneous speed of light applies to both inertial and non-inertial systems, albeit under different conditions. In inertial systems, the law of inertia governs, whereas in non-inertial systems, inertial forces act to create momentary inertial systems. According to Newton, the proposed inertial forces exist to maintain an object's rest or motion however, he did not specify their origin [20]. Electromagnetic and gravitational forces are real forces that originate from objects, while inertial forces are fictitious forces that arise from the rest field in opposition to acceleration. Einstein also approached this issue by combining Newton's laws of motion and universal gravitation [21]. Consider a mass m located at a distance r from a star of mass M. The object experiences accelerated motion owing to gravitational force fg.
Einstein reformulated the law of universal gravitation as follows:
fg = mg ·pg. (25)
where fg represents the gravitational force, mg represents the gravitational mass, and pg represents the gravitational intensity.
He reinterpreted Newton's second law of motion as follows:
fi = mi· as . (26)
where fi represents the inertial force, m represents the inertial mass, and as represents the acceleration.
From Eqs. (25) and (26), the following equation between gravitational intensity and acceleration holds [21].

Einstein, utilizing the equivalence principles of gravity and acceleration and the equivalence principles of gravitational and inertial mass, argued that fg = fi and mg = mi, resulting in:
as = pg. (28)
While Einstein emphasized the equality of gravitational intensity pg and acceleration as, he did not consider the fact that the gravitational and accelerated systems must share the same coordinate system. and must utilize the same coordinate system [22].
The calculation of velocity for a freely falling object from a stationary coordinate system is described in classical mechanics. In the law of universal gravitation, a freely falling object does not change gravitational mass.


To distinguish it from the equivalence principle of gravitational mass and inertial mass, it is referred to as the equivalence principle of gravitational mass and accelerated mass.
In a non-inertial system, an accelerating force acts according to Newton's second law of motion, which is proportional to mass and acceleration:
F=ma, F+(-ma)=0. (39)
Here, F denotes the accelerating force, while F' = -ma is defined as the fictitious force called inertial force.
In a gravitational field, the principle of invariance of the instantaneous speed of light must hold to ensure the stability of atoms and the sustained existence of planets. Therefore, an inertial force acts from the rest field to transform the gravitational field into an momentary inertial system.
In (37), the law of conservation of energy holds because gravitational force and acceleration force are equivalent. From (29), (35), and (38), the following equation holds between gravitational force and acceleration force:

Based on Eqs. (41) and (42), a satellite falling toward the star is elongated into an ellipsoid along its forward and rearward axes, indicating that the equivalence principle of gravity and inertial forces is only valid at the center of the mass. The equivalence principle of gravity and inertial forces applies only in local regions; this is true not only because the principle of invariance of the instantaneous speed of light is upheld but also to preserve the stability of atoms.
In the principle of general relativity, when discussing the equivalence of gravitational mass and inertial mass, as well as in classical mechanics, when assuming the equivalence of gravitational mass and accelerated mass, a reference coordinate system was not specified.
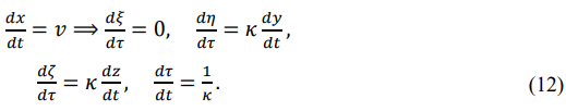
From Eq. (40), every free-falling local coordinate system transitions to a momentary inertial system owing to the equivalence principles of gravity and the inertial force, as well as gravitational and accelerated mass. Free-falling inertial systems can exist at various inertial systems from velocity v to 0. According to Eq. (38), the inertial system with velocity v is called the momentary stationary system O, and the inertial with velocity 0 is called the momentary constant- velocity system O' .
The momentary stationary system O and its observer P experience free fall from a stationary system, whereas the momentary constant- velocity system O' and its observer P' experience free fall in a gravitational field. The metric tensor for the observer P in the momentary stationary system resembles the flat metric tensor of a stationary system:

The existence of inertial systems in a zero-gravity field and momentary inertial systems in a gravitational field suggests that the zero-gravity and gravitational fields correspond to each other. The metric tensor of the momentary inertial observer P' moving at a relative velocity v can be derived using the momentary stationary observer P as a reference. Einstein's general theory of relativity was constructed based on the relativity of physical laws and the invariance of the speed of light in inertial systems, as well as the equivalence principle between acceleration and gravity and the equivalence principle between gravitational mass and accelerated mass in non-inertial systems. However, it has been revealed that the relativity of physical laws is established by the invariance of the speed of light and that acceleration and gravity are merely similar,not equivalent; this implies that in a gravitational field, space-time must be newly constructed based on the invariance of the speed of light and the equivalence principle between gravitational mass and accelerated mass.
The law of the invariance of the speed of light should apply not only in inertial and accelerated systems but also in gravitational fields. For this law to apply in a gravitational field, both gravity and its inertial forces must act to form a momentary inertial system; that is, in a gravitational field, an object experiences both gravity from other objects and its inertial forces from the rest field, ultimately becoming a momentary inertial system internally.
In summary, the equivalence principle of gravity and inertia, along with the equivalence of gravitational mass and accelerated mass, together act to create a momentary inertial system in which the law of the invariance of the speed of light operates. These imply that a gravitational field corresponds to a zero-gravity field. A gravitational field can also be divided into a momentary inertial system with the Einstein tensor Gij = 0 and a local gravitational field with Gij
0, similar to a zero-gravity field, which can be divided into an inertial system with acceleration a = 0 and an accelerating system with a
0. Therefore, when Gij = 0, heavy stars curve space-time in a vacuum; when Gij
0, the motion of objects and light along the geodesic equation further results in space-time curvature.
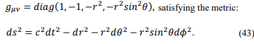
The fact that a local inertial system is formed in a gravitational field means that the Lorentz transformation, applied to an inertial system, can be modified to calculate the curvature of spacetime when the Einstein tensor G = 0. By modifying the Lorentz transformation, the Schwarzschild metric can be derived as a solution to the partial differential equations when Gij = 0, that is, when the Riemann tensor Rij = 0. The following is the calculation of the Schwarzschild metric with respect to a momentarily co- moving system, based on a locally stationary system where the law of invariance of the speed of light holds.



The presence of the Schwarzschild radius demonstrates the non-equivalence of gravity and acceleration. This distinction underscores the distinct space-time curvature effects induced by gravity, as evidenced in the Schwarzschild metric tensor.
In Equation (48), the Schwarzschild metric describes how the gravity of a star and its associated inertial force act on the vacuum, resulting in the curvature of spacetime. The curved spacetime around a non-rotating, spherically symmetric star, through which matter and light pass, is calculated in two stages. First, the spacetime curved by gravity and its corresponding inertial force is represented by the Schwarzschild metric. Second, by substituting the Schwarzschild metric into the geodesic equation, matter or light traveling through curved spacetime experiences a change in proper time. Since this paper aims to describe how the law of the invariance of the instantaneous speed of light applies in a gravitational field, the discussion is limited to the first stage.
Conclusion
This study explores the possibility of the coexistence of Newtonian mechanics' absolute space-time and Einstein's relativistic space- time by utilizing the law of invariance of the instantaneous speed of light. The primary objective was to demonstrate that absoluteness is evident in global stationary systems, while relativity applies to local coordinate systems. To achieve this goal, based on the law of invariance of the instantaneous speed of light valid, the invariance of rigid ruler length and the principle of atomic clock periodicity were adopted as axioms. Inertial systems were categorized into stationary and constant- velocity systems according to the conditions under which the law of invariance of light speed holds. Stationary systems were identified through round-trip light experiments, whereas constant- velocity systems were determined through Lorentz transformations under the invariance of the instantaneous speed of light.
Non-inertial systems are classified into accelerated systems and gravitational fields, both of which become momentary inertial systems due to the action of inertial force, allowing the law of invariance of the speed of light at any instant to hold. Accelerated systems transition into momentary constant- velocity systems due to the equivalence principle of acceleration and inertial force. Therefore, acceleration is obtained by differentiating the Lorentz transformation and its inverse, expressing it as an equation between the acceleration of the stationary system and that of the constant- velocity system. While the accelerated mass measured by the momentary constant- velocity system remains unchanged, the inertial mass measured by the stationary system varies In a gravitational field, the vacuum causes spacetime to curve, transforming it into a momentary inertial system due to the equivalence principles of gravitational and inertial forces, as well as gravitational and accelerated masses. Objects and light traversing this curved spacetime follow geodesic equations, resulting in changes to their proper time. Therefore, similar to zero-gravity fields, which are categorized into inertial systems with a = 0 and acceleration systems with a ≠ 0, gravitational fields are described as momentary inertial systems with Gμν = 0 and local gravitational fields with Gμν ≠ 0.

by applying the Lorentz transformation to a momentary inertial observer P' moving at a relative velocity v with respect to a momentary stationary observer P. This result is consistent with the Schwarzschild metric tensor obtained by Schwarzschild through calculations involving the Ricci tensor and Christoffel symbols when Gμν = 0. Freely falling objects surpass the speed of light c upon entering the Schwarzschild radius r0. Calculations of spacetime for objects and light in local gravitational fields where Gμν ≠ 0 fall outside the scope defined by this paper and are therefore deferred to future work Just as wave-particle duality governs the behavior of particles in the microscopic realm, the concepts of absoluteness and relativity coexist in the macroscopic realm. However, challenges persist in reconciling Newton's concept of absoluteness with Einstein's theory of relativity. These challenges revolve around defining mass for rotating objects with large radii or irregular mass distributions, determining momentary stationary systems in gravitational fields created by multiple stars, and describing space-time in regions such as atomic nuclei or black holes. Addressing these questions necessitates the development of a novel physical space-time system work that incorporates the interactions of strong and weak nuclear forces, electromagnetism, and gravity.
Data Availability
All data generated or analysed during this study are included in this published article
Acknowledgements
Author Contribution
The author formulated the conceptual system work, conducted the theoretical analysis, and synthesized relevant literature. AI assistance was limited to ensuring linguistic precision, standardizing terminology, and verifying the logical coherence of new ideas.
Declarations
The author declares no conflict of interest. All findings and interpretations presented in this work are derived independently, without any external influence or financial support that could bias the conclusions.
References
- Einstein, A. (1989). On the Influence of Gravitation on the Propagation of Light, in the Collected Papers of Albert Einstein. Vol. 3, Doc. 23, (Princeton University Press, Princeton), p. 379.
- Newton, I. (1999). The Principia: Mathematical Principles of Natural Philosophy. trans. by I. B. Cohen and A. Whitman (University of California Press, California) p. 54.Einstein, A. (2016). Relativity, trans. by R. W. Lawson (Red and Black Publishers, Florida), p. 71.
- Newton, I. (1999). The Principia: Mathematical Principles of Natural Philosophy. trans. by I. B. Cohen and A. Whitman (University of California Press, California), p. 462.
- Einstein, A. (1989). On the Electrodynamics of Moving Bodies, in Collected Papers of Albert Einstein. Vol. 2, Doc. 23 (Princeton University Press, Princeton), p. 143.
- Einstein, A. (1989). On the Electrodynamics of Moving Bodies, in Collected Papers of Albert Einstein. Vol. 2, Doc. 23 (Princeton University Press, Princeton), pp.143,144.
- Koh, H. (2023). Coexistence of Relativity between Observers and the Absoluteness of Inertial Systems. J. Electrical Electron. Eng. 2(1), p. 33.
- Koh, H. (2023). Coexistence of Relativity between Observers and the Absoluteness of Inertial Systems. J. Electrical Electron. Eng. 2(1), p. 38.
- Miller, A. I. (1981). Albert Einstein’s Special Theory of Relativity, on the Electrodynamics of Moving Bodies. (Addison-Wesley Publishing Company, Massachu-setts), p. 394.
- Koh, H. (2023). Coexistence of Relativity between Observers and the Absoluteness of Inertial Systems. J. Electrical Electron. Eng. 2(1), p. 33.
- Koh, H. (2023). Coexistence of Relativity between Observers and the Absoluteness of Inertial Systems. J. Electrical Electron. Eng. 2(1), pp. 35–36.
- Einstein, A. (1914). Relativity and Gravitation: Reply to a Comment by M. Abraham, in the Collected Papers of Albert Einstein. Vol. 4, Doc. 8, (Princeton University Press, Princeton), p. 132.
- Koh, H. (2023). Coexistence of Relativity between Observers and the Absoluteness of Inertial Systems. J. Electrical Electron. Eng. 2(1), p. 36.
- Koh, H. (2023). Special Relativity and Absoluteness. J. Electrical Electron. Eng. 2(4), p. 454.
- Koh, H. (2023). Coexistence of Relativity between Observers and the Absoluteness of Inertial Systems. J. Electrical Electron. Eng. 2(1), p. 37.
- Koh, H. (2023). Special Relativity and Absoluteness. J. Electrical Electron. Eng. 2(4), p. 464.
- Koh, H. (2023). Special Relativity and Absoluteness. J. Electrical Electron. Eng. 2(4), p. 464.
- Miller, A. I. (1981). Albert Einstein’s Special Theory of Relativity, on the Electrodynamics of Moving Bodies. (Addison-Wesley Publishing Company, Massachusetts), p. 406.
- Koh, H. (2023). Special Relativity and Absoluteness. J. Electrical Electron. Eng. 2(4), p. 465.
- Newton, I. (1999). The Principia: Mathematical Principles of Natural Philosophy. trans. by I. B. Cohen and A. Whitman (University of California Press, California), pp. 520–521.
- Einstein, A. (2016). Relativity. trans. by R. W. Lawson (Red and Black Publishers, Florida), p. 83.
- Einstein, A. (2016). Relativity. trans. by R. W. Lawson (Red and Black Publishers, Florida), p. 83.
- Newton, I. (1999). The Principia: Mathematical Principles of Natural Philosophy. trans. by I. B. Cohen and A. Whitman (University of California Press, California), p. 520.
- Koh, H. (2023). Coexistence of Relativity between Observers and the Absoluteness of Inertial Systems. J. Electrical Electron. Eng. 2(1), p. 37.

