Short Communication - (2025) Volume 3, Issue 3
Quantum Mechanics Based on Particles as Mutual Energy Flow Rather Than Self-Energy Flow
Received Date: Aug 01, 2025 / Accepted Date: Sep 22, 2025 / Published Date: Sep 26, 2025
Copyright: ©2025 Shuang-Ren Zhao. This is an open-access article distributed under the terms of the Creative Commons Attribution License, which permits unrestricted use, distribution, and reproduction in any medium, provided the original author and source are credited.
Citation: Zhao, S. R. (2024). Quantum Mechanics Based on Particles as Mutual Energy Flow Rather Than Self-Energy Flow. OA J Applied Sci Technol, 3(3), 01-36.
Abstract
According to classical electromagnetic theory, quantum mechanics, and quantum field theory, particles are often associated with self-energy flow. In electromagnetic theory, the so-called self-energy flow corresponds to the Poynting vector of energy flow, and in quantum mechanics, it represents the probability current density. The author believes this is likely incorrect. The author finds that self-energy flow can be replaced by mutual energy flow. Mutual energy flow consists of retarded waves emitted by the source and advanced waves emitted by the sink. The source includes the primary coil of a transformer, the transmitting antenna, radiation atoms, and the cathode emitting electrons. The sink includes the secondary coil of the transformer, the receiving antenna, absorbing atoms, and the anode receiving electrons. Originally, all energy flows are generated by the source. If we assume energy flow is generated jointly by the source and the sink, we first need to compress the field produced by the source to half its original size. In this way, the source produces half of the field, and the sink produces the other half. The mutual energy flow generated by the source and sink together will exactly match the original self-energy flow produced by the source. However, there is still a problem. If the energy flow is mutual energy flow rather than self-energy flow, then self-energy flow should not transfer energy. However, if we do not alter the original electromagnetic theory or quantum theory, self-energy flow still transmits energy. This creates an absurd situation where mutual energy flow particles and self-energy flow particles are two distinct particles, both transferring energy. The author finds that both self-energy flows in electromagnetic theory and quantum theory should be reactive power and therefore do not transfer energy. The author adds a magnetic field, source, and sink to the Schrödinger equation and extends the mutual energy flow law from electromagnetic theory to quantum theory. The author then corrects the phase of the magnetic field in Maxwell’s electromagnetic theory and quantum theory by 90 degrees. After the correction, both self-energy flows in the two theories become reactive power. Thus, particles, including photons, electrons, and all other particles, are mutual energy flows, not self-energy flows. For electromagnetic theory, the author also proves that the composite energy flow of many photon mutual energy flows coincides with the self-energy flow corresponding to the Poynting vector calculated from Maxwell’s electromagnetic theory. Thus, electromagnetic waves have three different modes: (1) broadcasting mode, where the source and sink simultaneously emit spherical waves at random, which decay with propagation distance. (2) Photon mode, where the retarded wave emitted by the source and the advanced wave emitted by the sink are perfectly synchronized. At this point, the advanced wave forms the waveguide of the retarded wave, and the retarded wave forms the waveguide of the advanced wave. Due to the interference between the retarded and advanced waves, the two waves interfere constructively along the line connecting the source and the sink and weaken in other directions, ultimately turning into quasi-planar waves along the connection line between the source and sink. These retarded and advanced waves constitute the mutual energy flow, which is the photon. (3) The average energy flow consisting of countless photons is consistent with the energy flow calculated according to the Poynting vector. Therefore, Maxwell’s electromagnetic theory is still valid for calculating average radiation electromagnetic energy flow. However, calculating photons requires the author’s electromagnetic theory. The situation for electrons or other particles is roughly similar.
Keywords
Maxwell, Schrödinger, Silver-Müller, Retarded Wave, Advanced Wave, Retarded Potential, Advanced Potential, Quantum Mechanics, Electromagnetic Wave, Photon, Electron, Electric Field, Magnetic Field
Introduction
Transactional Interpretation
How are particles and waves related? How can the wave-particle duality paradox be explained? This is currently the biggest challenge in quantum mechanics and quantum field theory. A series of quantum mechanical interpretations have been proposed to solve this problem. The most prominent of these is the Copenhagen interpretation of quantum mechanics. This interpretation states that the square of the wave function amplitude gives the probability of a particle appearing. Waves collapse into particles during measurement. There are also many-worlds and many-histories quantum mechanical interpretations. The navigation wave quantum interpretation is one among dozens of different interpretations. Among these, the author notes that the transactional interpretation of quantum mechanics [1,2] is quite reliable.
The transactional interpretation, based on Wheeler and Feynman's absorber theory [3,4], suggests that a current can emit half retarded waves and half advanced waves. Both the source and the sink are currents, so they each emit half retarded waves and half advanced waves. Cramer's transactional interpretation also makes some modifications to Wheeler and Feynman's absorber theory, suggesting that the waves emitted by a current do not need to be omnidirectional; for example, the source can emit a retarded wave forward and an advanced wave backward. Thus, the transactional interpretation tells us that the source emits a retarded wave, and the sink emits an advanced wave. The handshake between the retarded and advanced waves forms the particle. Suppose the source is at x=0 and the sink is at x=L, the source emits a retarded wave to the right. The sink emits an advanced wave to the left. The source emits an advanced wave to the left, and the sink emits a retarded wave to the right. On the left of the source, both the source and the sink emit advanced waves, but they cancel each other out due to a 180-degree phase difference. On the right of the sink, both the source and the sink emit retarded waves, but they cancel each other out due to a 180-degree phase difference. Suppose the source is at x=0 and the sink is at x=L. The wave emitted by the source is:

We see that between the source and the sink, the retarded and advanced waves are perfectly synchronized, so they add up. This ensures that energy flows from the source to the sink. Outside this region, the waves emitted by the source and the sink cancel out. Therefore, the energy flow is generated at the source and annihilated at the sink, which suggests that there is a particle between the source and the sink.
The problem with this interpretation is: (1) it does not explain why the two advanced waves have a 180-degree phase difference to the left of the source, and the two retarded waves have a 180-degree phase difference to the right of the sink. (2) Can both the retarded wave and the advanced wave be represented by the same plane wave? (3) The source and sink should emit spherical waves, but in the transactional interpretation, spherical waves are turned into plane waves. Is this possible? Why does the retarded wave emitted by the source exactly synchronize with the advanced wave emitted by the sink? Due to these problems, the transactional interpretation has not become a mainstream interpretation.
Mutual Energy Flow Theory



Further Development of the Mutual Energy Flow Theory

Figure1: Red represents the current source J1, producing the fields E1, H1. To calculate the electromagnetic field at x, we assume the presence of an absorbing sink J2 at infinity, shown in blue, which produces the electromagnetic fields E2, H2.
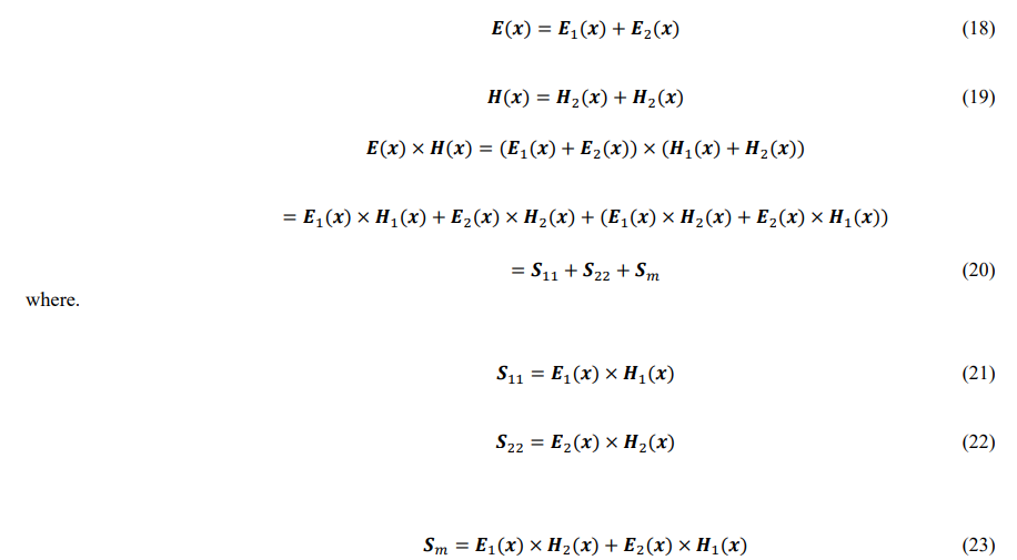
In Maxwell's field theory, the fields at the point x€V are generated by the source J1, see Figure 1. However, in the mutual energy flow theory, the source generates a retarded wave, and we further assume that the absorbing sink generates a advanced wave. Therefore, it is necessary to arrange the absorbing current source J2 on a spherical surface at infinite radius. Clearly, the field at x is produced by both J1 and J2. By initial estimation, the values of E1 (x) and E2 (x) are equally large, so the total electric field is:




Resolution of the Contradiction



Does this still hold? The author believes that the magnetic field and vector potential are two entirely different quantities. They just happen to have the relationship in equation (44) under quasi-static conditions. However, it cannot be guaranteed that equation (47) will still hold in the case of the retarded potential.
Average Magnetic Field on a Loop


In conclusion, the author discovered that the definition of the magnetic field using the curl of the vector potential is not the same as the magnetic field defined using Ampere's force. When defining the magnetic field using Ampere's force, it can be divided into two cases: the average magnetic field measured along a loop and the magnetic field measured along a straight line. These two cases are consistent under quasi-static conditions. However, for electromagnetic waves, i.e., radiated electromagnetic fields, the two cases differ. Next, we will study the radiated electromagnetic field.
Electromagnetic Radiation

Figure 4: Suppose there is a fluctuating magnetic field along the y-axis. We use a straight current element to measure this magnetic field. However, since it is unclear whether the current element belongs to the left or right loop, it is impossible to measure the induced electromotive force.







Left-Going Waves and Right-Going Waves
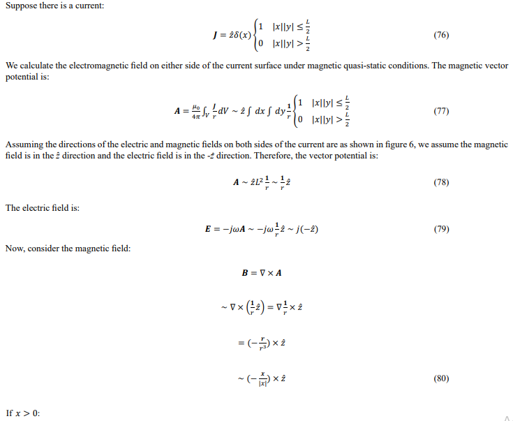
In this section, we study the radiation of a finite current sheet. Assume the current is in the z direction. The electromagnetic wave can either propagate from left to right across the current or from right to left across the current. This forms left-going and right-going waves. For the right-going wave, the wave is a advanced wave to the left of the current and a retarded wave to the right of the current. For the left-going wave, the wave is a advanced wave to the right of the current and a retarded wave to the left of the current. The following examples focus on right-going waves; the reasoning is similar for left-going waves. First, we study the electromagnetic field under quasi-static conditions.
Magnetic Field Under Quasi-Static Conditions
Assume the current and electromagnetic fields are as shown in Figure 6. The current is in the z direction, and the electric field is assumed to be in the -z direction. The magnetic field is in the y direction.
Figure 6: The current element is represented by the thick red arrow, and the electromagnetic field generated on either side is shown by the thin blue arrows.


In the above equation, the magnetic field on the right side of the current is in theB2 direction, and on the left side of the current, it is in the B2 direction. This result is consistent with the magnetic field defined by Ampere’s law (right-hand screw rule). Under quasi-static conditions, the electromagnetic field is not propagated as a wave but as a static field.
Right-Going Radiated Electromagnetic Field
Electromagnetic Field Calculated Using Maxwell's Electromagnetic Theory


Electromagnetic Field Calculated Using the Author's Electromagnetic Theory
When calculating the electromagnetic field using the author's theory, the magnetic field according to Maxwell's theory needs to be corrected.


These equations show that the electromagnetic fields calculated using this method can degenerate into the quasi-static magnetic field (79, 83), thus they are correct. However, if the magnetic field is calculated using Maxwell's electromagnetic theory, it cannot degenerate into the quasi-static electromagnetic field!
Radiated Electromagnetic Field Propagating to the Left
Electromagnetic Field Calculated Using Maxwell's Electromagnetic Theory



Electromagnetic Field Calculated Using the Author's Electromagnetic Theory
In the author's electromagnetic theory, the electromagnetic field should be appropriately corrected based on Maxwell's electromagnetic theory. These two equations show that the electric field and magnetic field calculated using this method (equations 111 and 112) can degenerate into the quasi-static magnetic field (equations 79 and 83). Therefore, this represents the correct left-propagating electromagnetic field.


Maxwell's Equations are Not Necessary
We have examined the method for determining the magnetic field. The retarded wave uses:



Maxwell's Equations Can Be Seen as an Approximation of the Mutual Energy Flow Theory


This shows that the mutual energy flow density Sm calculated using the author's electromagnetic theory is consistent with the self-energy flow density SMaxwell 11 calculated using Maxwell's electromagnetic theory. Therefore, we can still use Maxwell's theory to compute the self-energy flow SMaxwell 11, which is the mutual energy flow. However, this method only provides an equivalence in energy flow between the source and sink. It does not account for the nature of mutual energy flow generated at the source and annihilated at the sink. Moreover, even between the source and sink, the results for electric and magnetic fields from the author's method and Maxwell's theory remain inequivalent.
Conclusion
According to Maxwell's electromagnetic theory, the retarded wave is generally considered without the advanced wave. Even if the advanced wave is considered as a physical reality, Maxwell's theory is still incorrect. When the magnetic field and the electric field are in phase, this is wrong. The electromagnetic wave's electric field and magnetic field should have a 90-degree phase difference, ensuring the wave is reactive, with no energy transmission. Energy should be transmitted via the mutual energy flow, which will be discussed in the next chapter. The correct electromagnetic field of the wave can be obtained by modifying the magnetic field using Maxwell's theory, or by first calculating the electromagnetic field under quasi-static conditions and then adding the propagation factors to obtain the electromagnetic wave's magnetic field. This method suggests that Maxwell's equations may not be necessary. Specifically, the part of Maxwell's equations that adds the displacement current for the induced electromagnetic field is erroneous, i.e., the Ampere's circuital law:

Particles as Plane Waves
Quantum mechanics as a whole treats particles as plane waves. However, according to the Schrödinger equation, and the wave derived from Maxwell’s equations, the wave is a spherical wave, which decays with distance. Why can we treat particles as plane waves that do not decay? This is because particles consist of mutual energy flow formed by retarded waves emitted by sources and advanced waves emitted by sinks. The advanced waves in this mutual energy flow act as the waveguide for the retarded waves, and the retarded waves act as the waveguide for the advanced waves. In this way, both retarded and advanced waves propagate as though along a waveguide connecting the source and the sink. As a result, the retarded and advanced waves become plane waves, or more accurately, quasi-plane waves, similar to those in waveguides or optical fibers.
Particles Composed of Self-Energy Flow Plane Waves
In the electromagnetic and quantum theories of today, photons are considered to be plane waves, such as:


This provides the theory of energy transfer through self-energy flow, or the Poynting vector, as described by Maxwell’s equations. In today’s theories, whether electromagnetic or quantum, the assumption is that energy is transferred through self-energy flow. The author, however, believes this to be incorrect. Energy should be transferred via mutual energy flow, which will be discussed in the next sub- section.
Particles Composed of Mutual Energy Flow Plane Waves
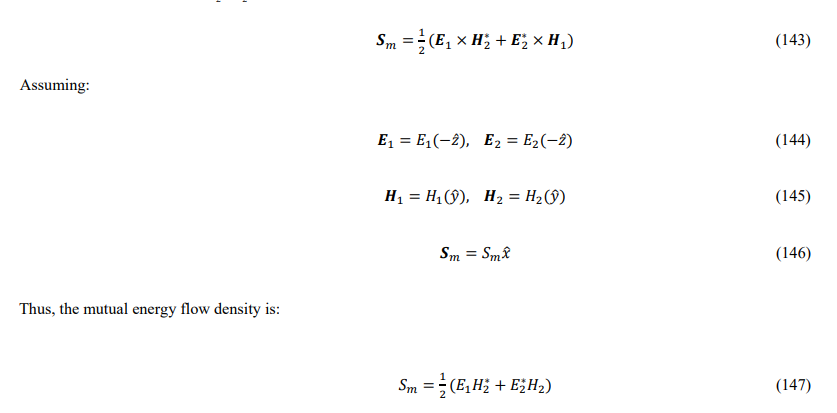
The author’s electromagnetic theory differs from Maxwell’s electromagnetic theory. The author’s theory assumes that energy is transferred through mutual energy flow. This theory posits that mutual energy flow consists of retarded waves E1, H1 emitted by the source and advanced waves E2, H2 emitted by the sink. The mutual energy flow density is:

Scheme 1
This scheme still calculates the electric and magnetic fields according to Maxwell’s electromagnetic theory, where the electric field and magnetic field are in phase, so:

Because without the above condition, both self-energy flow and mutual energy flow will transfer energy, and the total energy transferred will be more than expected. The author first discovered this issue in 2017, and the initial solution was to require these self-energy flows to collapse in reverse through time-reversal waves [11]. However, the reverse collapse introduces Maxwell’s equations in time-reversal, making the problem more complicated and unreliable. Therefore, the author later proposed another solution in 2022 [12], which posited that self-energy flow represents reactive power.
Scheme 2
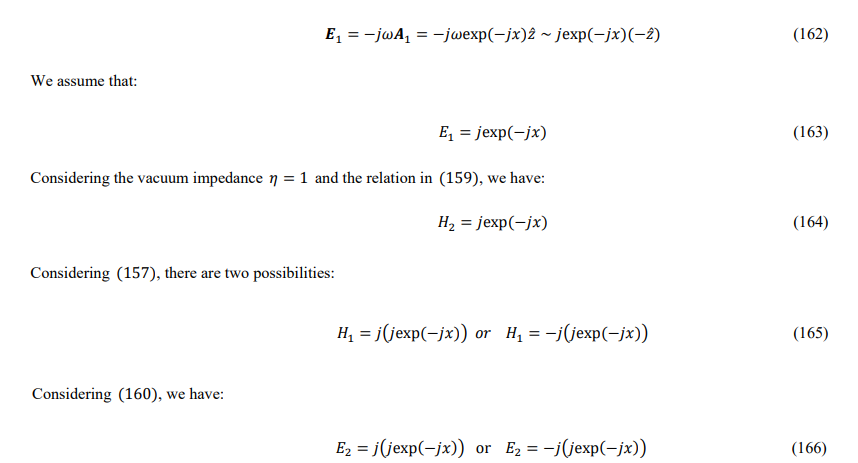
This scheme follows the author’s electromagnetic theory, where the electric and magnetic fields are no longer in phase but are required to satisfy:



First Possibility


Second Possibility



Therefore, the second possibility should be adopted.
Summary of this Chapter
This chapter explains that according to Maxwell’s theory, the Poynting energy flow of a plane wave can always be replaced by mutual energy flow. However, this replacement must modify Maxwell’s electromagnetic theory; otherwise, self-energy flow and mutual energy flow would both transfer energy, resulting in an excess of transferred energy. In reality, either self-energy flow or mutual energy flow transfers energy, but both cannot transfer energy simultaneously, as this would lead to more energy being transferred than expected. Initially, the author found this issue in 2017, and the proposed solution was to require that these self-energy flows collapse in reverse through time-reversal waves [11]. However, the reverse collapse introduces Maxwell’s equations in time-reversal, making the problem more complex and unreliable. Therefore, a new approach was proposed in 2022 [12], which posits that self-energy flow represents reactive power.
Constructing Particles from the Schrodinger Equation
Modified Schrödinger Equation
The author modifies the Schrödinger equation:


Calculating Self-Energy Flow Density (Probability Flow Density)
By transitioning from electromagnetic field equations to the analogous Schrödinger equation form, the author closely follows electromagnetic formulas. This method immediately leads to the corresponding Schrödinger equation formulas. Consider:




Green’s Function
Green’s Function Corresponding to Maxwell’s Equations
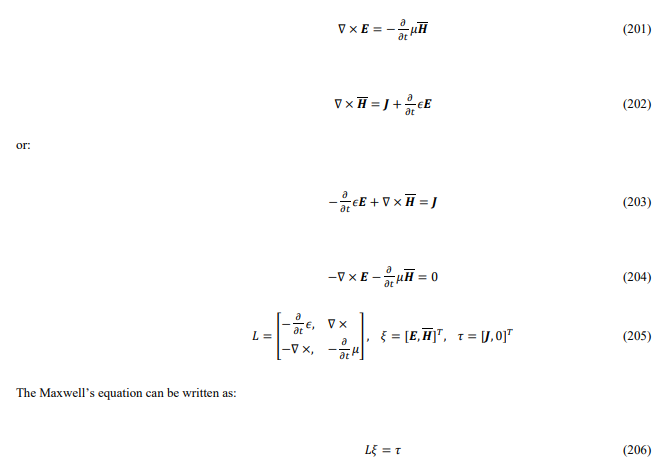
Maxwell’s two curl equations are:




Green’s Function of Schrödinger’s Equation
In the Schrödinger equation, some constants are omitted




Calculating Mutual Energy Flow Density
This result is consistent with the probability flow density obtained from other methods. The mutual energy flow density is:


Mutual Energy Flow Law
From the mutual energy flow law of electromagnetic fields:

That is, for the plane wave, the mutual energy flow density calculated using the author’s method is consistent with the self-energy flow density calculated using Schrödinger’s equation. However, the author’s mutual energy flow is emitted at the source and annihilated at the sink, while the probability flow (self-energy flow) calculated using Schrödinger’s equation generally has an emission but no annihilation. Therefore, using self-energy flow or probability flow density to describe particles is very limited. Particles should be described using mutual energy flow instead.
Conclusion
This paper presents three different modes of electromagnetic waves. (1) The broadcast mode, where the source and sink emit random spherical waves that decay with distance. The source emits retarded waves randomly and the sink emits advanced waves randomly. According to quantum mechanics, this is a superposition state since the source sends signals to all sinks simultaneously. (2) The photon mode or waveguide mode. In this case, there is synchronization between the advanced wave emitted by a sink and the retarded wave emitted by the source. Synchronization can also be referred to as handshake, which means that when a retrded wave hits a certain absorber, the absorber also emits an advanced wave. This advanced wave will synchronize with that retarded wave. Due to interference, both the retarded wave from the source and the advanced wave from the sink interfere constructively along the line between the source and the sink and destructively or weakly in other directions. In this way, the advanced wave becomes the waveguide for the retarded wave, and vice versa. Eventually, both the retarded and advanced waves become quasi-plane waves that do not decay with distance. The mutual energy flow formed by these waves transmits energy. This mutual energy flow has the properties of a particle, which can be regarded as a photon. Thus, the wave collapses from the superposition state into a photon. (3) The average effect of a large number of photons (mutual energy flow) constitutes a macroscopic electromagnetic wave. These macroscopic electromagnetic waves are proven to be identical to the Poynting vector calculated using Maxwell’s equations. In this sense, the author’s electromagnetic theory can be regarded as a more fundamental theory of electromagnetism than Maxwell’s theory. Maxwell’s electromagnetic theory agrees with the author’s theory in terms of macroscopic radiation patterns but differs significantly in the specific electromagnetic fields. The author found that for waveguide-mode electromagnetic waves, the quasi-static electromagnetic field theory should be used for calculations, and then the retardation or advancement factor can be added. There is no need to use Maxwell’s equations. Of course, if Maxwell’s equations are used, the magnetic field at the far-field should be corrected. After the correction, the magnetic field and electric field of the electromagnetic wave maintain a 90-degree phase difference instead of being in phase. The author discovered that the error in Maxwell’s electromagnetic theory arises because the curl of the magnetic vector potential is the average magnetic field along the loop, not the true magnetic field. The average magnetic field along the loop is equivalent to the magnetic field in quasi-static conditions, but they are no longer equivalent in the case of electromagnetic waves. Maxwell’s electromagnetic theory confuses the average magnetic field along the loop with the magnetic field itself. The author found the same error in quantum theory. Therefore, the author applied the correction from electromagnetic theory to quantum theory. The Schrödinger equation was modified to include the source, sink, and magnetic field, and the mutual energy flow law was established. The mutual energy flow is formed by retarded and advanced waves. However, both self- energy flow and mutual energy flow, calculated from Schrödinger’s equation, still have issues. The issue is that both self-energy flow and mutual energy flow transfer energy. This issue is identical to that in Maxwell’s electromagnetic theory. Therefore, the author applied the same correction to the magnetic field in Schrödinger’s equation. After the correction, the magnetic field in Schrödinger’s equation and the wave function maintain a 90-degree phase difference. This makes the probability flow density in Schrödinger’s equation represent reactive power, no longer transferring energy. Thus, there is no need to call it probability flow anymore. After the correction, mutual energy flow transmits energy, and the amount of energy transmitted by mutual energy flow is exactly the same as the energy transmitted by the original probability flow in Schrödinger’s equation. However, mutual energy flow is generated at the source and annihilated at the sink, whereas the probability flow (self-energy flow) calculated by Schrödinger’s equation only has an emission point but no annihilation point. Therefore, the corrected quantum theory can use mutual energy flow to describe particles, which provides a good solution to the wave-particle duality problem.
References
- Cramer, J. G. (1986). The transactional interpretation of quantum mechanics. Reviews of modern physics, 58(3), 647.
- Cramer, J. G. (1988). An overview of the transactional interpretation of quantum mechanics. International Journal of Theoretical Physics, 27(2), 227-236.
- Wheeler, J. A., & Feynman, R. P. (1945). Interaction with the absorber as the mechanism of radiation. Reviews of modern physics, 17(2-3), 157.
- Wheeler, J. A., & Feynman, R. P. (1949). Classical electrodynamics in terms of direct interparticle action. Reviews of modern physics, 21(3), 425.
- Zhao, S. R. (1987). The application of mutual energy theorem in expansion of radiation fields in spherical waves. ACTA Electronica Sinica, P.R. of China, 15(3):88–93.
- Zhao, S. R., (1989). The simplification of formulas of electromagnetic fields by using mutual energy formula.
11(1), 73-77. - Welch, W. (2003). Reciprocity theorems for electromagnetic fields whose time dependence is arbitrary. IRE Transactions on Antennas and Propagation, 8(1), 68-73.
- Schwarzschild. K. (1903). Nachr. ges. Wiss. Gottingen, pages 128,132.
- Tetrode. H. (1922). Zeitschrift fuer Physik, 10:137.
- Fokker. A. D. (1929). Zeitschrift fuer Physik, 58:386.
- Zhao, S. R., Yang, K., Yang, K., Yang, X., & Yang, X. (2017). A new interpretation of quantum physics: Mutual energy flow interpretation. American Journal of Modern Physics and Application, 4(3), 12-23.
- Zhao, S. R. (2024). Electromagnetic wave theory of photons: Photons are mutual energy flows composed of retarded and advance waves. Amazon.

