Review Article - (2026) Volume 3, Issue 1
Approximate C∗- and W∗-Algebras on Non-Separable Banach Spaces: Structure, Positivity, and Representation Theory
Received Date: Jan 28, 2026 / Accepted Date: Mar 02, 2026 / Published Date: Mar 23, 2026
Copyright: ©2026 Juan Alberto Molina Garcia. This is an open-access article distributed under the terms of the Creative Commons Attribution License, which permits unrestricted use, distribution, and reproduction in any medium, provided the original author and source are credited.
Citation: Garcia, J. A. M. (2026). Approximate C?- and W?-Algebras on Non-Separable Banach Spaces: Structure, Positivity, and Representation Theory. Ther Res: Open Access, 3(1), 01-27.
Abstract
This paper develops a comprehensive algebraic framework for extending the classical theory of C∗ - and W∗ -algebras to non-separable Banach spaces. By constructing Approximate C∗ - and W∗-algebras, defined as directed inductive limits of local operator algebras acting on separable subspaces, we obtain a rigorous structure that preserves the essential algebraic, topological, and spectral properties of classical operator algebras while overcoming the limitations imposed by separability. The first part of the article establishes the fundamental definitions of approximate C∗ -algebras, including approximate positivity, involution stability, and norm consistency under directed limits of projections. We then formulate and prove an Approximate Gelfand–Naimark theorem, showing that every approximately self-adjoint algebra can be faithfully represented as an approximate norm-closed-subalgebra of B(X) for some non-separable Banach space X. The second part introduces Approximate W∗ -algebras, defined through projective limits of preduals corresponding to the local separable components. We demonstrate that these algebras retain weak* - compactness and support approximate normal states, extending the classical duality between W∗-algebras and Banach pre-duals to the non-separable setting. An Approximate Bicommutant Theorem is also established, identifying the approximate double commutant with the closure of the algebra under the approximate weak*-topology. The third part develops an Approximate Representation Theory. By generalising the Gelfand– Naimark–Segal (GNS) construction, we show that every approximate positive functional induces a cyclic approximate representation, and that factor decompositions (of types I, II, and III) extend naturally to this setting through local coherence conditions. Several explicit examples—particularly within l∞, L∞, and C(βN)—illustrate the structural behaviour of approximate C∗- and W∗-algebras, their spectra, and their reflexive properties. This framework provides a unified foundation for analysing operator algebras on non-separable Banach spaces, reconciling algebraic and topological aspects in the absence of countable bases. The results obtained not only generalise classical operator algebra theory but also open the door to future developments in noncommutative geometry and infinite-dimensional mathematical physics.
Keywords
Non-Separable Banach Spaces, C∗-Algebras; W∗-Algebras, Approximate Operator Algebras, Gelfand–Naimark Theorem, Weak*-Topology, Reflexivity, Representation Theory, Functional Analysis
Introduction
The classical theory of operator algebras, inaugurated by von Neumann. and subsequently formalised through the works of Sakai, Kadison and Ringrose, and Takesaki, provides a profound connection between algebraic structure and topological duality. ð¶∗ -algebras and ðÂÂ??∗ -algebras (or von Neumann algebras) constitute the analytic core of modern functional analysis and mathematical physics, offering a unified language for bounded operators on Hilbert and Banach spaces. Their success relies heavily on two assumptions: completeness and separability [1-5]. While completeness guarantees closure under operator topologies, separability ensures that spectral and dual constructions can be expressed through sequences and countable bases.



Preliminaries and Classical Background
The purpose of this section is to review the fundamental concepts of C∗-algebras, A∗ -algebras, and their representations, which form the basis for the approximate generalizations developed in later sections. We recall the essential definitions, duality properties, and topologies that govern the structure of operator algebras on Banach and Hilbert spaces, with emphasis on the role of separability.
C*-Algebras


C∗-Algebras (von Neumann Algebras)

Positivity, Order, and Duality

Operator Topologies


Motivation for the Approximate Framework
The need to extend these notions beyond separability arises from both analytic and physical motivations. Analytically, many Banach spaces of interest—such as L∞(µ) when µ is not σ-finite—fail to be separable but remain the natural domains for measurable operators. Physically, non-separable Hilbert or Banach spaces appear in infinite tensor product systems, quantum field theory, and ergodic systems with uncountable degrees of freedom [10]. In such cases, classical results like the Gelfand– Naimark or Bicommutant theorems must be reformulated.
The approximate approach replaces sequential compactness by directed weak compactness: algebraic operations are preserved locally on separable components, and global coherence is ensured by inductive or projective limits.
The next section formalizes this approach by introducing approximate C∗ algebras, developing their algebraic properties, positivity, and spectral structure in the absence of separability.
Approximate C*-Algebras on Non-Separable Banach Spaces
In this section we develop the notion of approximate C∗ -algebras on nonseparable Banach spaces (NSBS). The guiding principle is to reconstruct the algebraic and topological features of classical C∗-algebras by using directed systems of separable subspaces and *locally coherent -operations. This approach generalizes the standard framework of functional analysis to settings where sequential compactness and countable bases fail.
Approximate Structures and Directed Systems


Approximate Positivity and Self-Ad Jointness

Approximate Spectral Theory

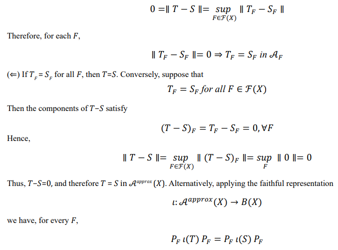
Approximate Gelfand–Naimark Theorem





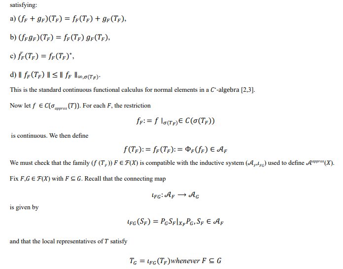
Approximate Functional Calculus






Summary of Results
We have shown that the class of approximate C∗ -algebras retains the essential analytical and algebraic properties of classical C∗ -algebras, including norm and *structure coherence, positivity and order preservation, spectral mapping and functional calculus, and a faithful representation as approximate norm-closed subalgebras of B(X). This provides the foundation for the approximate W∗-algebra theory, developed in the next section
Approximate W*-Algebras and Duality
In this section, we extend the construction of approximate C*-algebras to the dual framework of approximate W∗ -algebras. The aim is to capture the duality, weak*compactness, and bicommutant structure characteristic of von Neumann algebras, while avoiding any reliance on separability. We achieve this by introducing approximate preduals and establishing a generalised version of the Bicommutant Theorem.
Motivation and Preliminary Concepts

Approximate Pre-duals

![]()
Definition of Approximate W∗-Algebras

Approximate Normal States and Positivity

The Approximate Bicommutant Theorem

Approximate Reflexivity and Dual Closure
Definition 4.6.1. An approximate W∗-algebra Mapprox is said to be approximately reflexive if the canonical map

Concluding Remarks on Duality
The preceding results show that approximate W∗ -algebras inherit the essential dual properties of classical von Neumann algebras:
i. Existence of an approximate pre-dual.
ii. Weak*-compactness of the unit ball and state space.
iii. Closure under approximate weak*-topology.
iv. Validity of an approximate bicommutant theorem.
Thus, the category of approximate W∗-algebras generalises the classical theory to non-separable contexts, preserving duality and algebraic self-consistency.
The next section develops the Approximate Representation Theory, extending the GNS construction and factor decomposition to approximate algebras.
Representation Theorey
The representation theory of operator algebras plays a central role in understanding their structure and duality. For approximate operator algebras on nonseparable Banach spaces, representations must preserve not only algebraic operations but also the approximate coherence between separable substructures. This section develops the Approximate GNS Theorem, establishes the existence of cyclic representations, and derives an approximate analogue of the factor decomposition of W∗-algebras.
Approximate Representations

Approximate Positive Functionals


The Approximate GNS Theorem


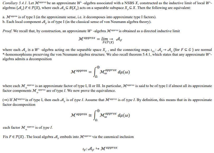
Approximate Factor Decomposition
In classical theory, a von Neumann algebra decomposes into factors of types I, II, and III. The same phenomenon occurs in the approximate framework when decompositions are taken locally and extended coherently.
Definition 5.4.1 (Approximate factor). An approximate W∗-algebra MAPPROX is a factor if its centre is trivial, i.e.




Approximate Unitary Equivalence


Summary
The representation theory of approximate operator algebras extends the classical framework to non-separable settings. Each approximately positive functional defines a cyclic approximate representation, the approximate GNS construction ensures faithfulness, and the decomposition into factors recovers the typology of von Neumann algebras. These results complete the analytic foundation of the approximate operator algebra theory.
In the next section, we will present explicit examples and structural results for
illustrating how approximate duality and representation manifest in concrete non-separable Banach spaces.
Structural Results and Examples

Example 1: The Space P∞




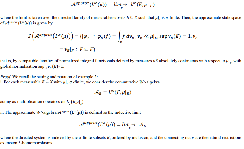
Example 2: The Space L∞(µ)








Example 3: The Space C(
)






Structural Comparison
The preceding examples exhibit the following unifying phenomena:
|
Property |
Classical (separable) |
Approximate (non-separable) |
|
Topology |
Sequentially weak*-compact |
Net-based weak*-compact |
|
Duality |
Unique pre-dual |
Projective limit of pre-duals |
|
Spectral theory |
Sequential spectral mapping |
Directed spectral mapping |
|
Reflexivity |
Guaranteed for W*-algebras |
Approximate reflexivity holds |
|
States |
Countably additive |
Locally additive, globally consistent |
|
Representation |
Hilbert-space GNS |
Directed GNS on inductive Hilbert limits |

Summary
The examples above confirm that the approximate framework successfully extends classical operator algebra theory to non-separable Banach spaces. In each case, local separable structures provide a consistent approximation that preserves spectral, dual, and algebraic properties globally. Approximate reflexivity, weak*-compactness, and Gelfand-type representation remain valid, even though global separability is lost.
The next section discusses the broader implications of these results, compares them with the classical theory, and outlines potential directions for future research, particularly in noncommutative geometry and quantum analysis.
Discussion and Perspectives
The development of approximate C*- and W*-algebras on non-separable Banach spaces presented in this work provides a consistent and general framework that bridges the gap between classical operator algebra theory and the analytic structures encountered in non-separable or large-dimensional functional settings. The use of directed systems of separable components allows for the retention of essential topological and spectral properties while avoiding the constraints imposed by countable bases or sequential compactness.
Theoretical Implications
From a purely functional-analytic standpoint, the theory confirms that the fundamental algebraic and topological principles governing operator algebras remain valid in non-separable contexts when reformulated in terms of nets and directed limits. The approximate ![]()
![]()
W∗- framework preserves:
a. The C∗-identity, ensuring norm stability under involution.
b. Positivity and spectral calculus, through the coherence of local spectra.
c. Weak- duality*, via the projective limits of pre-duals.
d. Reflexivity, interpreted as approximate bi-dual closure.
e. Faithful representation, generalized by the approximate GNS theorem.
These results indicate that non-separability, though analytically challenging, does not destroy the internal consistency of the operator algebraic structure. Instead, it requires a reformulation of convergence and compactness, replacing sequences by directed nets and local–global compatibility conditions.
Relation to the Classical Theory
The approximate framework retains all the key results of the separable theory—such as the Gelfand–Naimark and Bicommutant theorems—but in a net-theoretic rather than sequential setting. When X is separable, the directed system (XF) becomes countable, and all approximate notions reduce to their classical counterparts:
|
Concept |
Classical setting |
Approximate setting |
|
C∗-identity |
||T*||=T||2 |
Preserved exactly |
|
Weak*-duality |
Unique pre-dual |
Projective limit of pre-duals |
|
Spectrum |
Sequential closure |
Directed closure of local spectra |
|
Reflexivity |
Automatic in W∗-algebras |
Approximate reflexivity via bidual limit |
|
Representation |
GNS over Hilbert space |
Approximate GNS over inductive Hilbert system |
Thus, the approximate construction can be regarded as a strict generalization of the standard operator algebra theory, smoothly extending it to non-separable environments without altering its fundamental logical structure.
Conceptual Consequences for Operator Theory
The notion of approximate weak- closure* introduced here generalizes the standard concept of topological closure and allows a refined understanding of continuity, duality, and boundedness in spaces lacking separability. In particular:
A) Approximate weak- continuity* replaces sequential weak-* continuity in the definition of normal states.
B) Approximate bicommutant closure yields an operational criterion for identifying approximate W∗-algebras.
C) Approximate representations provide a natural extension of cyclic and factorial decompositions to directed inductive systems.
This reformulation reveals that the essential content of operator theory—its algebraic–topological duality—does not depend on separability per se but on the existence of coherent local structures capable of reproducing the same functional relationships.
Potential Applications
The approximate operator algebra framework has potential applications in several mathematical and physical domains:
i. Noncommutative Geometry. The concept of approximate W∗-algebra suggests a pathway to define approximate spectral triples, where the Dirac operator acts locally on separable substructures and coherence is preserved globally. This can yield a generalization of Connes’ noncommutative manifolds to non-separable analytic spaces [11].
ii. Quantum Theory and Mathematical Physics. In quantum field theory and statistical mechanics, infinite systems often require non¬separable Hilbert spaces [10]. Approximate algebras provide a rigorous analytical tool for studying observables, states, and representations in such contexts.
iii. Banach Space Theory. The approximate C*-framework interacts naturally with the geometry of Banach spaces, offering new perspectives on reflexivity, weak compactness, and dual embeddings [6].
iv. Functional Analysis and Logic. The formal structure of approximate limits and weak*-closure parallels logical and categorical formulations of model theory and topological algebra, suggesting potential interdisciplinary links.
Open Problems and Research Directions
Several directions arise naturally from the results presented:
I. Approximate K-Theory. Defining K -groups for approximate C∗ -algebras and studying their invariants remains an open question.
II. Approximate Spectral Triples. A rigorous formulation of approximate Dirac operators could lead to a consistent extension of noncommutative geometry beyond separable algebras.
III. Approximate Tomita–Takesaki Theory. Investigating modular structures and automorphism groups for approximate W*-algebras may illuminate the dynamics of nonseparable quantum systems.
IV. Approximate Tensor Products: Extending the framework to tensor product constructions would allow the study of bipartite systems and entanglement phenomena in non-separable contexts.
V. Connections with Category Theory. Formalizing approximate algebras as inductive–projective objects in a suitable categorical setting could unify the algebraic and topological aspects of this theory.
Final Remarks
The approximate operator algebra theory developed here demonstrates that nonseparable Banach spaces are not an obstacle but an opportunity to generalise and deepen the classical understanding of operator algebras. By systematically replacing sequential arguments with directed topological constructions, we have achieved a coherent extension ofC∗ - and W∗ -theory to the non-separable domain. This framework opens new possibilities for analysis, geometry, and physics—where infinity and non-separability, rather than being pathologies, become natural and structurally consistent features of the mathematical landscape [12].
References
- Neumann, J. V. (1955). Mathematical foundations of quantum mechanics.
- Sakai, S., & Sakai, S. (1971). C*-algebras and W*-algebras (Vol. 60). Berlin: Springer.
- Kadison, R. V., & Ringrose, J. R. (1983). Fundamentals of the theory of operator algebras. Vol. I: Elementary theory. Boston, MA: Birkhäuser.
- Kadison, R. V., & Ringrose, J. R. (1986). Fundamentals of the theory of operator algebras. Volume II: Advanced theory (Vol. 25). New York: Academic press.
- Takesaki, M. (2003). Theory of operator algebras II (Vol. 125, p. 518). Berlin: Springer.
- Lindenstrauss, J., & Tzafriri, L. (2013). Classical Banach spaces II: function spaces (Vol. 97). Springer Science & Business Media.
- Akhiezer, N. I., & Glazman, I. M. (1993). Theory of linear operators in Hilbert space. New York: Dover Publications
- Gel'fand, I. M., Raikov, D. A., & Shilov, G. E. E. (1946). Commutative normed rings. Uspekhi Matematicheskikh Nauk, 1(2), 48-146.
- Reed, M., Simon, B., Simon, B., & Simon, B. (1972). Methods of modern mathematical physics (Vol. 1). New York: Academic press.
- Bratteli, O., & Robinson, D. (1982). Operator algebras and quantum statistical mechanics. Bull. Amer. Math. Soc, 7, 425.
- Connes, A. (1994). Noncommutative Geometry (San Diego: Acad. Press).
- Reed, M., Simon, B., Simon, B., & Simon, B. (1978). Methods of modern mathematical physics (Vol. IV. New York: Academic press.

