Research Article - (2025) Volume 8, Issue 4
A Physical Theory based on the Barycenter Frame of Reference II: Principles of Particle Dynamics
Received Date: Oct 13, 2025 / Accepted Date: Nov 10, 2025 / Published Date: Nov 28, 2025
Copyright: ©2025 Zhong Cheng Liang. This is an open-access article distributed under the terms of the Creative Commons Attribution License, which permits unrestricted use, distribution, and reproduction in any medium, provided the original author and source are credited.
Citation: Liang, Z. C. (2025). A Physical Theory based on the Barycenter Frame of Reference II: Principles of Particle Dynamics. Adv Theo Comp Phy, 8(4), 01-19.
Abstract
This paper extends the field theory of elastic particle fluids based on the barycenter reference frame and constructs the theoretical foundation of new particle dynamics. According to the particle flow field theory, the complete interaction contains the forces of gradient, curl, and divergence. The principle of action proposed in this paper affirms that the motion of a particle is driven by a force field, and the unified form of the force includes attraction and repulsion. In the force field, the motion of the particles follows the modified energy theorem and angular momentum theorem, as well as the newly discovered curlity theorem. Energy, curlity, and angular momentum are conserved in dynamically balanced systems, and their variations obey universal quantization rules. In a kernel field, the motion of particles follows the generalized Newton's law (F = ma, dynamic equation), and elliptical orbit is the special solution of the equation at the steady state F = 0. The eigenstate orbits of a multi-particle system are petal-shaped, and the orbital energy spectrum (energy eigenvalues) is determined by the square of the curlity. A mathematical model of particle orbits is proposed, the structure of electron shells and the spectrum of the hydrogen atom are explained, and the relationship between the nuclear spin and the chirality of the electron orbits is also elucidated. The self-consistency and completeness of the theory show that the flow-field force is a unified form of particle interaction, that the principle of measurement is a first principle integrating the foundations of relativity and quantum theories, and that the theorems of particle dynamics are universal physical laws for the macroscopic and microscopic worlds.
Keywords
Particle Dynamics, Elastic Particles, Barycenter Frame of Reference, Flow Field Forces, Measurement Principle, Dynamical Theorems, Orbital Quantization
Conclusion
The particle dynamics theory based on the barycenter frame of reference establishes the dynamic equations from the complete flow field forces. The equations contain both attractive and repulsive interactions: the attractive force comes from the gradient field and the repulsive force comes from the coupling of the particle motion to the curl field. The motion of the particles follows Newton's second law, the energy theorem, the curlity theorem and the angular momentum theorem. Energy, curlity and angular momentum are conserved in dynamically balanced systems, and their variations satisfy generalized quantization rules. Due to the introduction of the concept of scale, the theory of barycenter reference frame is applicable to objects of any size, thus unifying the foundations of Newtonian mechanics, electrodynamics, relativistic mechanics, and quantum mechanics within a framework of the hyper-classical or post-modern physics.
By solving the dynamic equilibrium equations, it is proved that the elliptic orbit is the special solution to the equation of steady state. According to the particle orbital model, the spatial orbits of the multi-particle system are petal-shaped and contains three degrees of freedom: rounded circulation, radial pulsation, and normal nutation. The state of the particle system is characterized by the curlity, and the orbital energy is determined by the square of the curlity. It is an urgent and challenging task to study the structure of different materials by applying the particle dynamics theory. The consistency and completeness of the theory of the barycenter reference frames show that the flow-field force is a unified form of particle interaction, that the measurement principle is the first principle that integrates the foundations of relativity and quantum theory, and that the theorems of particle dynamics are universal laws for both macroscopic and microscopic worlds.
References
- Jin, S. N., Ma, Y. L. (2002). Theoretical Mechanics. Higher Education Press.
- Einstein, A. (2025). The meaning of relativity. Princeton, NJ: Princeton University Press.
- Qian, B. C. (2006). Quantum Mechanics. Higher Education Pres, 5:191.
- Liang, Z. C. (2020). Outline of real physics. Glob. J. Sci. Front. Res. A, 20(3), 9-27.
- Liang, Z. C. (2019, November). Modeling of real particles. In Journal of Physics: Conference Series (Vol. 1391, No. 1, p. 012026). IOP Publishing.
- Liang, Z. C. (2019). The origin of gravitation and electromagnetism. Theoretical Physics, 4(2), 85-102.
- Liang, Z. C. (2019). Motion, energy, and state of body particle system. Theoretical Physics, 4(2), 67.
- Liang, Z. C. (2019). Cluster ensemble statistics of body particle system. New Horiz. Math. Phys, 3, 53.
- Liang, Z. C. (2021). Dark matter and real-particle field theory. Glob. J. Sci. Front. Res. A, 21(6), 27-39.
- Liang, Z. C. (2024). A fluid field theory based on barycenter reference systems.
- Liang, Z. C. (2024). Physical theories based on the center-of-mass reference frame: 1. Particle flow field principle.
- Kuhn, T. S. (1970). The Structure of Scientific Revolutions, 2nd enl. ed. University of Chicago Press.
- Liang, Z. (2015). Physical principles of finite particle system. Scientific Research Publishing, Inc. USA.
- Zanke, M. Rotating Charged Sphere - Problem with Suggested Solution.
- Liang, Z. C., & Xie, L. H. (2023). Wave or particle? Quantum behavior of solar system. Glob. J. Sci. Front. Res, 23(9).
- Liang, Z. C., & Chen, N. N. (2023). The distortion and quantization of the Earth’s orbit. J. Phys. Chem. Biophys, 13, 361.
- Zhu, S. L. (1979). Atomic Physics. Higher Education Press.
Introduction
An appropriate frame of reference must be chosen to describe the motion of an object, and the adoption of different frames of reference often leads to different theoretical frameworks. It is well known that Ptolemy's astronomy used a geocentric frame of reference, Copernican astronomy used a heliocentric frame of reference, and the currently popular Newtonian mechanics framework is an inertial frame of reference [1]. To address the problem of reference frame of classical electrodynamics, Einstein invented the spacetime frame of reference, thus creating the theory of relativity [2]. However, quantum theory, as one of the pillars of modern physics, lacks a unified reference frame, so that the controversy over the foundations of quantum mechanics lasted for one century.
The focus of the controversy over the foundations of quantum mechanics involves the interpretation of the nature of particles [3]. Whether the quantum is a wave or a particle is considered by classical mechanics to be two opposing propositions that cannot be true at the same time. However, quantum mechanics assumes that quanta are entities with wave-particle duality, and so the issue of the quantum frame of reference is ignored and covered up. Despite the great success of modern quantum theory, the fundamental questions about the nature of particles and the frame of reference have never been well resolved. In recent years, the author created a physical theory based on the model of elastic particles (real particles); more recently, the author moved this theory to the barycenter (center-of-mass) frame of reference [4-11]. The particle field theory based on the barycenter frame of reference gives a unified form of forces and reveals the universal laws of the interaction of objects [6,9-11]. On this basis, this paper further elucidates the measurement principle of the barycenter frame theory, puts forward the action principle of particle dynamics, solves the dynamic equilibrium equation, and reveals the fundamental laws of the motion of particles.
Classical mechanics, electrodynamics, relativistic mechanics, and quantum mechanics are four different theoretical frameworks. Starting from the first principle thinking, the elastic particle theory based on the barycenter frame of reference integrates several theories into a unique theoretical paradigm and discourse system. In order to facilitate and improve communication, readers need to be aware of novel concepts as well as updated terminology to mitigate conceptual conflicts caused by incommensurability [12].
Basics principles
Measurement Principle
The principle of measurement is expressed as follows: in the barycenter reference system, the center of mass of a flow field has uncertainty, and there exists a limit to the precision of the measurement of physical quantities, which is constrained by physical relations.

Flow Field Fundamentals
Convolution Field


Action Field

Force and Acceleration Fields

Action Principle

Attraction and Repulsion

Modes and States
An object (a real particle) has three modes of motion: translational, rotational, and vibrational. The translation mode is the displacement of the object's barycenter, the rotation mode is a fixed-point rotation of the particles inside the object relative to the barycenter, and the vibration mode is the elastic oscillation of the particles inside the object relative to the barycenter. Each mode of motion in three- dimensional space has three degrees of freedom, and the three modes have a total of nine motional degrees of freedom.
The translation mode of the object's barycenter (i.e., point mass) is called the orbital motion. A steady orbit can be further decomposed into three states: circulational, pulsational, and nutational. The circulation state is the revolution of the point-mass around a planar circle, the pulsation state is the radial oscillation with respect to the center of circle, and the nutation state is the normal wobbling with respect to the plane of circle.
System and Constraints
The moving particle mr and the action field {G,C,D} form a dynamics system, and the equation of dynamics is equivalent to Newton’s second law F = ma. Solving {r,v,a,G,C,D} under constraints is the basic problem of particle dynamics. The constraints of the dynamics system include mathematical and physical constraints. The mathematical constraints contain the scale covariance and finiteness conditions, and the physical constraints contain the energy theorem, the angular momentum theorem, the curlity theorem, as well as the conservation theorems of the three quantities.
A system with a combined force F = 0 is a steady system and the equation of steady system is

The equation of steady system is called eigen equation and the solution of the eigen equation is called eigen state. The steady system requires the action field to be a steady field, so {G,C,D} is independent of time. Particles in steady systems have stable orbits and periods, such as the rotation of the Moon orbiting the Earth and the Earth orbiting the Sun.
Energy Theorem
The motion energy of the particle is defined as

Above equation shows that the total power of the steady system is zero and the motion energy is a constant, which is called the energy conservation theorem. The theorem is comparable to the law of energy conservation for a system composed of point masses, but the motion energy contains the orbital energies of circulation, pulsation and nutation. The theory of barycenter system no longer uses the concept of potential energy of the inertial system.
The energy conservation theorem shows that the particle energy at an eigenstate has a stable value, and that a jump in the energy is possible only when the external perturbation reaches Es. This is the generalized rule of energy quantization.
Angular Momentum Theorem
The angular momentum of the particle is defined as

We specify M as the right-handed angular momentum and Ml as the left-handed angular momentum. The antisymmetry Ml = −M is called the chirality of angular momentum. Chirality is an important addition of the barycenter frame theory to the inertial frame theory. Unless otherwise stated, the analysis in this article is in terms of right-handed angular momentum. The change rate of angular momentum is defined as the force torque T

Curlity Theorem
The curlity of the particle is defined as

Curlity is a unique physical quantity of the elastic particle theory. Curlity theorem, curlity conservation theorem, and curlity quantization are laws specific to the barycenter systems. The closure relationship between energy and curlity makes particle dynamics a theoretical system of consistence and completeness.
Steady Fields
Acting Kernel
Consider a uniform rigid sphere with radius r0, density ρ0, and mass m0. There is a fixed axis passing through the center of the sphere, and the sphere rotates uniformly around the fixed axis at an angular frequency ω0. This sphere is called the acting kernel, and the rotation of the kernel around the axis is called kernel spin. The mass of the acting kernel generates a gradient field G', the kernel spin generates a curl field C', and the relative movement of the particle with the acting kernel generates a divergence field D'. With the direction of the kernel spin as a reference, the orbital motion of the particle is chiral. This article studies the orbital motion of particles in a kernel field, without considering the spin of the orbital particles themselves

The moving particles and the acting kernel form a dynamic system with the barycenter always deviating from the origin O. The kernel coordinate system is the observer's frame of reference and the origin is the observation site. The transfer from the observer's frame to the barycenter frame requires only a scale transformation, not a coordinate transformation [11].
Gradient Field
The mass convolution outside the acting kernel can be calculated from the flow field theory

Divergence Field
The flow field theory gives the divergence as

Curl Field
The momentum convolution of the steady field is

Momentum convolution is equivalent to the static magnetic potential. Referring to the calculation of the magnetic potential of a uniformly charged sphere rotating on a fixed axis, we give here the momentum convolution outside the acting kernel [14].

Steady Orbits
Orbital Constraints

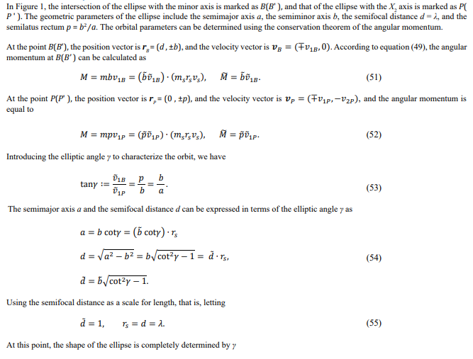
Figure 1: Orbital Coordinate System
The gradient generated by the acting kernel is a centrosymmetric field and the curl is an axisymmetric field. It is known that particles have stable elliptical orbits in the kernel field and the center of kernel O is a focus of the ellipse. As shown in Figure 1, the orbital plane is πo and its normal unit vector is k. The line l is the intersection of the orbital plane with the equatorial plane, and the angle β is the orbital inclination between the two planes of πe and πo. Establish an orbital coordinate system [OX1 X2 X3 ] with the axial unit vector being (i,j,k) and the orbital plane coinciding with the coordinate plane X3 = 0. In addition, let the X2 axis coincide with the intersection l and the X1 axis coincide with the majoraxis of the ellipse. The spherical coordinate parameters with X3 as the polar axis are (r,θ,φ). With the origin at the kernel center, the orbital coordinate system also belongs to the observer frame of reference.
The basic constraints on the equilibrium orbits are finiteness and periodicity

In the orbital coordinate system, the vectors {r,G} are co-linear and {r,v,G} are coplanar. Since the position vector of the barycenter system has uncertainty, we cancel the co-linear condition and keep the coplanar condition

Steady States
Set equation of (35) be zero (a = 0), we obtain the motion equation for steady states


Scale Systems
The scales of actual quantities are non-zero finite values representing the limiting precision of physical quantities. The use of a scale system directly eliminates singularities and guarantees the finiteness of the steady solution. Actual quantities have three independent scale bases. The different scale bases form a scale system, denoted by [s1 s2 s3 ]. The scale bases must be physical quantities of practical significance, e.g., the scale bases of the [mλc] system are

Velocity and Gradient
The velocity of the steady state (Eq. 37) can be further analyzed by applying the rules of actual quantities as follows

Energy and Power
The motion energy of the particle is

This verifies that the total power of the steady system is zero. PC = 0 indicates that the curl energy is not dissipated, and PG = −PD indicates that the gradient energy and the divergence energy compensate for each other, so the total system energy is conserved.
Momentum and Torque
The angular momentum of the particle is given by

Orbital Geometry


Eigen Parameters
Above we have proved that elliptical orbits are special solution of the equation of steady state. The steady states can be expressed in terms of the digital curl ω. The general form of the digital curl with the orbital coordinates is given by


Lunar Orbit
The Moon moves periodically in the Earth's action field, and the Moon and Earth form a dynamic equilibrium system. Table 1 lists the data of lunar orbit quoted from Wikipedia.


Multi-Particle Systems
Orbital Energy
For multi-particle systems, wo adopt a [mλD] scale system. Its scale bases and derived scales are

Orbit Modeling
The interaction of multiple particles leads to orbital deformation. A steady planar orbit can be considered as a synthesis of rounded circulation and radial pulsation, and is expressed by the parametric equation


Spatial Orbits
The orbits of a multi-particle system are not limited to the plane. The trajectory of each particle has not only radial pulsation in the orbital plane, but also normal nutation perpendicular to the orbital plane. The spatial orbits of the particles can be expressed by a set of parametric equations


Electron Shells
An atom is a multi-particle system with electrons rotating around a nucleus. The space of electron orbits with the same radius number n1 is called an electron shell. The petal number allowed in each shell is n2 ≤ n1 − 1, and the slant number allowed is |n3 | ≤ n2. Therefore, the digits allowed for the orbital number is


Hydrogen Spectrum
Optical spectrum is the main basis for the study of atomic structure. The hydrogen atom is a dynamic system consisting of one proton and one electron and has the simplest spectral structure. The spectra can be studied using the [mah] scale system, whose scale bases are


Orbit charity
The chirality of the orbital angular momentum is an important feature of the barycenter frame theory. Outside an acting kernel, the mass of kernel generates a gradient field, the spin of kernel generates a curl field, and the relative motion of the kernel and the particle generates a divergence field. The kernel spin provides not only the centrifugal force for the motion of particle around the kernel, but also a spatial reference direction, which is the fundamental cause of the orbital chirality. Chirality allows the orbital angular momentum ![]()
(or the slant number n3) to take negative integers. Thus, particles can rotate counterclockwise or clockwise in the same action field. Having considered the kernel spin, it is no longer necessary to assume that the particle has the spin property.
Quantum mechanics assumes that the electron has an intrinsic spin and that the total angular momentum is the vector sum of the orbital angular momentum and the spin angular momentum. The state of the electron is described by four quantum numbers (n,l,m,ms ), where n represents the orbital radius, l the orbital angular momentum, m the spatial orientation of the orbital angular momentum, and ms = ±1⁄2 the angular momentum of the electronic spin. The barycenter frame theory replaces electron spin with kernel spin and describes the state of the electron with only three orbital numbers (n1, n2 , n3 ). The orbital numbers are independent of each other and equal to exactly the three degrees of freedom of the orbital motion, with n3 being both positive and negative to express the chiral nature of the angular momentum.
There are three types of degeneracy of the orbital energy levels in the barycenter system. The first category is the chiral degeneracy due to the antisymmetry of n3, e.g., E (2,1,1) = E(2,1,-1)=6⁄2. The second category is the symmetric degeneracy resulting from exchanging the positions of n2 and n3, e.g., E (6,1,5) = E (6,5,1)=62⁄2. The last category is the asymmetric degeneracy with different radius number of n1, e.g., E (6,1,5) = E (7,2,3)=62⁄2. The probability of chiral degeneracy is the largest, the that of symmetric degeneracy is the second largest, and the that of asymmetric degeneracy is the smallest. In the presence of an external field, the energy levels of chiral degeneracy are most likely to split, thus leading to the fine structure of the spectrum.
Particles of different masses have similar energy level structures in the same kernel field, but their actual energy levels do not coincide due to different energy scales. Only particles of the same mass can occupy both orbits of the chiral degeneracy energy levels. Electrons are same-mass particles, so electrons in an atom can be in both right-handed and left-handed orbits. The reason that a pair of counter- rotating planets has not yet been found in nature is that the probability of the planets of the same mass and energy occurring in the same stellar field is negligible.
