Research Article - (2024) Volume 2, Issue 7
Why Just One Big Bang? Chance, Causality and c2- Inertia
Received Date: Jun 12, 2024 / Accepted Date: Jul 18, 2024 / Published Date: Jul 30, 2024
Copyright: ©©2024 Milan D. Nesic. This is an open-access article distributed under the terms of the Creative Commons Attribution License, which permits unrestricted use, distribution, and reproduction in any medium, provided the original author and source are credited.
Citation: Nesic, M. D. (2024). Why just one Big Bang? Chance, Causality and c2- Inertia. Int J Med Net, 2(7), 01-13.
Abstract
In science history the conflict between Einstein and the Copenhagen school (quantum mechanics) is well known. On the one hand, Einstein's strict determinism, on the other, Heisenberg's uncertainty relations, the collapse of the wave function and the chance at the micro level, regardless of the macroscopic explanations of the postulate cmax=const, regardless of the initial mass. At the time when our Galaxy was the whole world and the mutual velocities in it were negligible according to the speed of light, Einstein held that the mass of the world was one and unique. In 1985, in a lecture on quantum electrodynamics
QED: The Strange Theory of Light and Matter: Feynman says that he only describes how nature behaves without being able to explain why it behaves like that because no one understands this; and Laughlin in 2005 says, already with the title of his book.
A DIFFERENT UNIVERSE: Reinventing Physics From The Bottom Down: That an effort on understanding this fact to humanity is yet to come. This article shows that one should start from the very postulate cmax=const, rethinking this experimental fact—because Einstein's explanation from 1916 is insufficient and in fact wrong: he tacitly takes the coordinate system of the railway embankment as absolute, and to the train speed adds to or subtracts the light speed. And rethinking will lead us to the necessary Heisenberg relations of uncertainty, c2 - inertia and new insights into the property of relativity and symmetry of the vacuum itself, to the explanation of the EPR paradox and the so-called the twin paradox. And all together to one Universe, really different from how we imagine it today with a Big Bang.
Prologue
The ancient Greeks were polytheists. Gaia was the goddess of the earth, with her the Earth was created out of chaos. Uranus was the god of the sky, Poseidon the god of the sea, and Ares the god of war. Gods interacted with each other, sometimes with humans, that's how demigods and humans became. The awareness of the transience of life created myths; the meaning of life itself is enough just that slaves are obedient to their masters. With a better organization and a more unified state and army of the Romans, the god of war Mars defeated the Greek god Ares. The Roman Empire encompassed the entire Mediterranean, from the Pyrenees to Egypt and the Near East, as well as all the conquered tribes in the north, so it was difficult to maintain a unified organization: frequent rebellions and the growing influence of Christians who demanded, in the name of their God, a more just world. When Emperor Constantine realized that it is easier with one God to maintain a unified empire, he recognized Christianity as the primary state religion. To still maintain order, Byzantine emperor Justinian collected all the previous laws in his unique Codex, so that for the sake of absolute justice it is known exactly when a master may kill a slave, else not at all, else Emperor's punishment from God. Franciscan king Charlemagne understood that faith in God and the afterlife was not enough, so he freed slaves; they became serfs on the emperor's land, half the crops for the emperor, half for them. Productivity has increased. With the development of craftsmanship, it was necessary to free artisans from working in the fields, with the development of trade, it was necessary to free merchants and artisans from their attachment to the land. Working behind machines and working in factories was becoming more and more important, more and more productive. The year 1776 and Adam Smith's free market as a condition for WEALTH OF THE NATION. The French Revolution of 1789 followed and the slogan "Liberté, égalité, fraternité!" Yes, but how?
Based on a detailed analysis of capitalist production for the free market, Karl Marx in CAPITAL 1867 describes the class opposition between labor and profit, and for the sake of abolishing exploitation, he proposes an armed revolution of the proletariat with the aim of socializing means of labor by the dictatorship of the proletariat. “Religion is the opium for the people”–it serves to this that the subjugated class believe in paradise, satisfied at least with a hope of an afterlife. With the conquest of power by the October revolution, the communists consequently demolished the churches, as an intermediary between God and the people Church was abolished; the only authority was that only Party. It really led to the concentration of work effort and industrialization, a new impetus to science and enlightenment.
The world and the universe are infinite matter, always, forever, and in eternal motion, and that's all that needs to be said about it, THE DIALECTIC OF NATURE—Engel's manuscript legacy edited 1925 in an attempt to establish Marxism ontologically. And science has the task of accurately reflecting that objective reality in human consciousness—the famous gnoseological reflection theory. At the same time, of course, it is known who according to the Constitution is responsible for all social events, including for the control of proper reflection.
All this, at a time when, on the other hand, along with the c=const postulate—proven by the observation of Jupiter's satellites (De Sitter, 1913), the eclipse of the Sun (Eddington, 1919) and the deviation of Mercury's orbit from a strict ellipse—when it was discussed whether the cosmos is a closed sphere that will expand eternally (Hubble's law 1929) or maybe oscillate, so it needs or doesn't need some kind of cosmological constant for the world to be stable, the world that came into being, how could it be otherwise, than by God's will with the explosion of a primeval- atom (LeMetre, 1927 and 1931). The “Big Bang” hypothesis was accepted little by little, even tacitly or I-don't know how-to-tell- you, and the final proof was the exact calculation of the percentage of hydrogen, helium, and light chemical elements based on the assumption that they were formed by cooling certain primordial matter of sufficiently high temperature and specific density[1,2]. Neither George Gamov nor his collaborators anywhere said that it was the “Big Bang”, and the attached diagram has neither spatial nor temporal coordinates. On the abscissa are the nuclei of chemical elements, and on the ordinate are the percentages of those elements [2].
No matter how much CAPITAL and historical materialism were real science, it turned out that the political economy of socialism does not exist, that scientific socialism as a way to a classless society is only an ideological creation—just as Marx himself defined “the distorted consciousness of the ruling class about itself and its importance.” Because! No matter how perceptively you look at the history of civilization, adding to the scientific analysis of the capitalism of that time the good wishes and slogans of French utopians, that does not make it scientific socialism, capital remains the capital and dicta¬torial socialism as a solution remains the utopia. Namely, the opposition between the cost of labor and profit is not the last contradiction in society [3]. Milovan Äilas, during the Second World War in the inner leadership of the Communist Party of Yugoslavia, could publish his book NEW KLASS in Serbia only in 1990. After the collapse of one-party socialism, the communist parties renounced their name, and somehow to preserve power in free elections, they also renounced proletarian internationalism. They became the defenders of each of their nationalisms, again with God as “opium for the people.” That's how we found ourselves again like at the beginning of the 20th century. We would have to start all over again, like from when our Galaxy was still considered all space, with a few nebulae here and there—in the words of Laughlin, reinventing all “from the Bottom down.“
The c=const postulate cannot be explained on a macro-level by any Einstein trains and lightning bolts. But only by c2 inertia: the integral of all virtual photons of the surrounding space around the already realized mass with which the excited vacuum will finally interact. That inert c2 of the least action is always created anew only in the atom-receiver, anyone. Admittedly, there are attempts to reduce everything to one coordinate system by iterative application of Lorentz transformations or modification of Friedman's space time curvature, at least by adding new parameters, as if that system were absolute, tacitly connected to the microwave background. But even when (if) all the math is correct with the result matching the astronomical observations, it is only a technical coordinate system—just as the real estate star system is perfectly sufficient for applications of all our techniques. Only from a true understanding of the postulate c=const does a clear insight follow that the gnoseological theory of reflection (of so-called dialectical materialism) is not completely valid. Already in the mass of the eye, how many atoms interact with the vacuum of all the objective reality of the world? Of course, the greater the mass, the greater the influence on space-time geometry, but even then without any Arbiter (to determine what is a proper reflection, what is the origin on whom everything depends).
The c=const world view with Einstein's train and lightning does need to be “reinventing from the bottom down.” Namely, from the bottom up! In the era of A- and H-bombs it is necessary. Just as a new, post-Marxist political economy is also necessary. Analysis of the free market and its economic laws cannot result in any political economy that would abolish the free market through a dictatorship and with that also itself. Cosmology can help here, not with undue hurry God as an origin. Today it is known that the masses of active black holes are a billion times larger than the mass of the Sun, diameters of almost the entire solar system, and temperatures that exceed all the suficient temperatures in the articles by Gamov and collaborators.
Introduction
At the time when I wrote the article Relativistic Ether and Heisenberg's Uncertainty Principle, I thought that it did not need any introduction, that just an exposition about the fact that the postulate c=const cannot be explained at the macro-level because it leads to an elementary contradiction, so that is enough of an introduction [4]. The paper aimed to show that this contradiction can be solved on a micro-level only by Heisenberg's uncertain relation so that the light speed remains indeterminate until the manifesting of its c2-inertia in the interaction with already created mass. Here uncertainty means chance, and c2-inertia means certainty, like strict causality. So chance and causality are in mutual relativity and symmetry, in specific circumstances a greater or lesser probability, just as the realization anywhere is the relativity of place, and +t or –t from that realization is the symmetry of time, both by inertia.
However, where did the first mass come from? Safe that it cannot be absolute either. The greater the mass, of course, the greater its influence on the four-dimensional space-time geometry, but inertia remains inertia E/m=const, so no matter how big the mass or small anti mass is, no matter how fast the light speed itself is, maybe beyond the horizon of our cosmos it is different—in that infinitely undetermined infinity of the Universe. Or as Giordano Bruno would put it more simply—in that infinite Universe and Worlds [5].
About relativity and symmetry as the way in which the whole World could exist by inertia, I published a typescript in 1974 under the title ESSAY ON GOD, offering it to publishers. However, I received an answer from the Ministry of Culture that religious books are not exempt from tax —“but it's not religious, but just a deeper reflection of the dialectical materialism that I believe in, just like religious people believe in God”, all the same— publishers refused it. In 2001, no decision from the Ministry was needed, the publishers rejected it again: God in the title and the book is not religious, what if it is a provocation, media will not follow it, people will not buy it. Later, I had the opportunity to hear the editor-in-chief of a private television station, who in his author's show says about the breakup of Yugoslavia that it was the first religious war in the history of civilization that was fought by infidels. In 2014, I published THE UNIVERSE AS RELATIVE ZERO; I didn't even offer the manuscript to publishers [6]. In 1920, also GRAVITY AND C2 INERTIA [7]. At that time, experiments with a laser beam of high energy density, which created thousands of electron-positron pairs in a collision with only one electron as a catalyst, were already known. But what could happen if the photon gas used by Bose to prove Planck's law of blackbody radiation, if it condensed and passed through the zero-volume singularity, whether and how it would transition to Maxwell-Boltzmann probability distribution of micro-particles? Both diagrams are bell-shaped symmetrical, both with a slight hint of asymmetry like a hen's egg, from the embryo of which, due to heat, the multiplication of cells starts as if by inertia. Or exactly as the anecdote about Paul Dirac says. Was at an exhibition of paintings by Mondrian, I guess. He stopped, amazed by the hidden symmetry of one painting. Squares and rectangles of several sizes and colors, but wherever you look, you can see the symmetry: 2 squares here, 2 there; 2 then 1 rectangle there, 1 then 2 there they are on the other side of that straight line that already intersects with the next one; not diagonally, not on the other side, but at a right angle. He thought about it, then approached, and with a felt tip pen he put a dot, randomly where—just to be an indication of possible asymmetry, just to revive the symmetry.
So what in Nature could compress photons so that they create mass by passing through the singularity? Just only virtual photons if there is no mass yet! Admittedly, virtuality in itself means a possibility, i.e. the possibility that there is a mass, i.e. this material World, that I guess does not need to be proven. Not even to solipsists, according to whom the World exists, however, only as a presentation, display for my I-am, the idea only for I-personal (solus-, ipse-), therefore God in an individual human being again and again. Well, that's not bad either. But it's not science. And in cosmological science, even natural homocentrism should be put aside. That is why the “Big Bang” cannot be considered science: God created the world, and before that, there was nothing, not even the laws of physics—as if the very possibility that the World exists does not have its logical laws.
Black holes trap light and not only mass particles, that's why they are not visible, and yet in the meantime, they have been revealed by their impact on the environment, so their gravitational waves have also been detected. Those two super-massive black holes in a mutual spiral collision lost energy, but not a word about any newly created mass; all that loss goes to the alignment of the space-time geometry. Black holes evaporate losing energy- mass in that way too, and finally explode, but there is here no new mass either. And besides, how do they evaporate? By the spontaneous creation of particle antiparticle pairs on the very event horizon. Black holes, otherwise mathematically empty after the collapse of super-massive stars? And now the border of the horizon, exactly to the letter, how that, like 6,64.10–34 Planck's uncertainty constant? Mathematics is powerful, but the explosion of a black hole due to evaporation has not yet been recorded, and mathematically it should have been a long time ago. Starting from page 110 of the book, we read about Planck's constant:
“It's as if Nature itself wants to tell us: I in my bosom, you can hope, maybe I am keeping infinite energy just for you, but not in the way of your infinity, nor your zero, neither as a goal nor as a beginning [6]. Just when you think you've reached them, I change the rules, I change the coordinate system. Why don't you try with the frequency, even if with its zero the entire universe has disappeared?” It's as if mathematics itself wants to tell us: find other quantities, change the coordinates, otherwise I'm powerless. Any infinite extrapolation is impossible, even with the function y=ex. It is the embodiment of inertia and relativity, but it cannot do without symmetry either, continuity is in symmetry with discontinuity (this is where Taylor's series breaks). That is why mathematics is ultimately powerless for physics.
So, it's necessary to focus on active galaxies. An active galactic nucleus is the only phenomenon in nature where matter is ejected from a black hole and not just gravitationally falls into it: symmetrically on one side and the other, hundreds of thousands of light years away, while one jet is somewhat shorter and diffusely brighter spots at the end—a small sign of asymmetry. Its mast be antimatter in relation to the matter of that galaxy. I was convinced that if I carefully studied the spectroscopic findings from many dissertations on active galaxies, I would spot slight differences, for example, in the line spectrum of the jet of matter on one side compared to that on the other, thinking that observing these spectra with the conviction that there was only one “Big Bang” does not allow this spotting in the multitude of artifacts. However, I have not come across any work that would specifically analyze the jet to one side separately from the jet to the other, as if the current power of telescopes reaches only the analysis of the brightest accretion plasma. But at least I showed schematically that the zero-relative symmetry of the vacuum due to the passage of entropy through the black hole singularity of active galaxies must show this spectral difference – and published it [8].
So institutional science nevertheless allows that the “Big Bang” hypothesis is actually an unscientific hypothesis, which was the first reaction after Lemaitre, not only a doctor of physics but also a theologian, published his hypothesis about the primordial atom. But Gamow's calculation gave the exact percentage of light chemical elements [2]. On the other hand, Hoyle's hypothesis of the stationary state, according to which the mass at the expansion of the universe is continuously created from the vacuum, has not been confirmed by astronomical observations, because, as today it can be said, does not take into account the symmetry of continuity and discontinuity.
On the Macro Level, a c=Const Explanation is not Possible
It is no wonder that this postulate is not explained in serious scientific articles, and that Einstein's example with the train and lightning from 1916 is only mentioned somewhere in popular lectures when the audience's attention should be tickled. At the macro level it is indeed not understandable. Let us have a look at three inertial coordinates systems, the fix, immobile Ox- system, and mobile O1x' and O2x'', it is sufficient to mark only the coordinate origins and x-axes:
If the current light wave has been emitted from the immobile system in the positive direction of the x-axis, let us suppose that at that moment the other two systems are parallel and coincide, although they move at different speeds v1 and v2, their coordinate origins O1 and O2 are in the same place. After a while, measured from the system that emitted the light wave, the O1 system will be at a distance of x1, and the O2 system, let us suppose, at a larger distance x2. And both systems received the emitted light at the same time, because all the experiments show that Galileo's speed addition is not valid for light, but that c plus whichever v is again only c. So, the light traveled at the same speed yet it passed different distances over the same time, and all of that was measured in the system which emitted the light: up to x1 and up to x2. The elementary contradiction!
This contradiction can be resolved only at the micro level, taking into account the fact a) that photon emission and propagation through vacuum is one event, and photon propagation and reception is another.
In the four-dimensional space-time of relativity theory, the position of any particle of mass m1, m2, m3, etc. at any given moment is described by quoting all four of its coordinates in relation to, for example, the resting mass m0, S0(t,0,0,0).
So–S1(t',x',y',z') is one event and S0–S2(t",x",y",z") is another, and so forth, while the intervals S0–S1, S0–S2 or in general, the intervals between any two events S1–S2 in differential form are the same, also for the case of curvilinear coordinates:

And that differential is always positive because of cmax, except for photons. For a particle without mass, for a photon in its own coordinate system it is zero. As long as the photon is in vacuum, it is all the same event, its time does not flow, tf = 0, so wherever it is, (xf, yf, zf). It is as if it were a virtual, simply naked possibility until it is caught in some new atomic mass where it will be realized–embodied by now adding mass Δm to it.
This can be seen even better by Lorentz transformations: for a photon in relation to rest mass, the dilatation of time is infinite, so its time does not flow at all, it is always zero; by this uncertainty 0/0 it adapts to the time measure of any receiver mass. And due to the infinite contraction of length, it also adapts, by the uncertainty ∞.0, to the unit of length of that coordinate system, each photon to its receiver.
Hence b) not all photons of the same frequency ν from the same emitter are the same–each will be such that it reaches its receiver at the speed c=const. Mathematically:

At the moment of emission, a photon lost the measure of emitter's coordinate system, its frequency ν is indeterminate because it is uncertain, completely random, in which atom-receiver it will be caught. Its energy hν is also indeterminate. Moreover, it has no energy per se because it does not have any frequency in its own coordinate system, its time does not flow–the photon is a virtual one. And so on like that–although in the coordinate system of the emitter, specifically in O(0,t) time still flows. Only when a photon reaches its receiver, specifically, those photons being captured in the O1 coordinate system after time t1, only then does their time begin to flow, that is now the time t' of that coordinate system. Those photons which are not captured, their time still does not flow until at the time t2 of the time measured in the emitter system, they are captured in another coordinate system, in O2, that is now the time t".
In other words, only at reception is the speed of light realized as the c2 inertia of the entire cosmos. This is not only about the Doppler Effect due to the divergence or convergence of the masses, but also about the relativistic shortening of the length just like about the energy of the vacuum itself. Hence the unity of vacuum and particles with mass, the very way of existence of vacuum is in unity with particles—by c2 - inertia of the whole cosmos [9].
This is the solution of the EPR paradox: the inertia of vacuum itself. If a spin of one entangled photon is +1, then the spin of the other is immediately –1. It is also the symmetry of vacuum. Symmetry also solves the so-called twin paradox: no matter how many inertial coordinate systems there are, S1, S2, S3, S4, S5, etc.—time will flow fastest in the one which a person chooses to rest because only in it all speeds are calculated as absolute while speeds all others are relatively added together [10]. This, however, is no longer a simple mutual symmetry of two coordinate systems, but the symmetry of the unity of vacuum and particles with mass has been preserved—becoming more complex, cyclical: S1, S2, S3, S4, S5 ...; S2, S3, S4, S5, S1 ...; S3, S4, S5, S1, S2 ...; S4, S5, S1, S2, S3 ...; S5, S1, S2, S3, S4 ... And so on.
And it can already be seen that the hypothesis of the big bang as the beginning of the all World is not sustainable. However, no longer because of geocentrism, nor because of heliocentrism, it is not sustainable because of homocentrism—because of the coordinate system which man (homini) himself chooses to be fixed. Why, namely, would the perfect symmetry of nature be disturbed only because a person measures cmax starting from a mass that he/she chooses and only up to his/her horizon, even if he/she declares that mass to be no matter how large and dense?
However, how to understand that a constant speed of light is formed only in a collision with a mass and that as a c2 - constant?
Heisenberg Uncertainty Principles Applied to a Photon
In 1900, Planck found the formula for black body radiation, which was possible not with a continuous change in the radiation power but with a quantized, always basic quantum hν. In 1905, Einstein also interpreted the photoelectric effect with the same assumption: a black body absorbs electromagnetic energy quantized, also by photons. In 1919, Rutherford proved experimentally that the atom is not indivisible and proposed a planetary model for the nucleus and electrons, leaving the problem of spiral collapsing unsolved. And in 1913, Bohr postulated that an electron does not radiate while in an orbit whose circumference 2rπ is multiplied by its momentum mv is equal to the integer product of Planck's constant h, 2rπmv=nh, n=1,2,3 ... It radiates only when it jumps into an orbit of a lower energy level, just as it transitions to a higher energy level by receiving a photon. The postulate was experimentally confirmed in the same year. In 1922 Compton proved that a photon, although it has no rest mass, has a momentum of exactly the same shape as the momentum mv of a body with mass, i.e. mc, but this m is realized only in an atom as the energy difference between higher and lower levels, mc2=hν, and hence λν=h/mc. In 1924, De Broglie assumed that, like a photon, a particle with a mass m must have an appropriate wavelength, i.e. analogously h/mv which explains stable orbits in an atom: an electron does not radiate because then its wave is standing wave. In 1925, Heisenberg published his quantum reinterpretation of kinematical and mechanical relations, describing by matrices those electron jumps in orbits, while Schrödinger used De Broglie's wavelength in the same year and set up his wave equation—a year before electron diffraction was experimentally proven. Interpreting his quantum theory now with the help of the wave nature of both light and electrons, Heisenberg published his famous uncertainty relations in 1927: the position and velocity of a micro particle cannot be known at the same time, one of the two must remain indeterminate, from measurement to measurement by chance.
Einstein did not like this chance, he considered Heisenberg's uncertainty relations to be a consequence of, admittedly, a possible but insufficient theory—the cause is missing. There must be hidden variables that explain that otherwise ghostly action at a distance, he said on the occasion of entangled wave functions from the same source arbitrarily far in both directions. And so the postulate c=const has remained unexplained to this day. That is, I do not know that anyone has dealt with it in particular, that anyone has applied Heisenberg's uncertainty relations to the macroscopic dimensions of the relativity theory. Compton, for example, proved the x photon momentum in a collision with a free electron, but here is an electron of negligible velocity relative to the speed of light, practically both the photon and the electron are in the same coordinate system from the beginning. However, only at high speeds of mutual movement of coordinate systems (emitters and receivers in relation to the stationary system) does the significance of the indeterminacy of the photon impulse, and therefore the speed of light, manifests itself—when that indeterminacy must be taken as a fact in itself. And no longer Δp as part of the momentum mc that the photon loses in the collision with the electron losing at its frequency, not only Δp = Δν, but

When a photon from relativistic great distances finally came to this or that, by chance, but finally to this, quite definite receiver, the uncertainty of the spatial coordinate of reception is zero, Δx=0, no matter how the receiver itself moved relative to some third system at rest. Heisenberg’s uncertainty relation dictates, however, that it must be ΔpΔx≥h. And this is not an uncertainty due to an imprecision of measurement, but an objective uncertainty: with countless different velocities v

Since Δm is an insufficient micro size, it remains that all possible macroscopic difference in the speeds of the coordinate systems of the emitter and a particular receiver is covered by the uncertainty Δc: thus, according to equation (2), the speed of light is adjusted to the measures of length and time of any receiving atom. The vacuum itself, in unity with all hitherto mass-realized particles, integrates all the space around the receiving atom in order to maintain its c2 - inertia with the principle of least action. This immeasurably infinite and eternal vacuum shows its c2 - inertiaover and over again only through a precisely defined realization of the Δm-mass in the receiving atom. Determinism and chance do not contradict each other, but they are, on the contrary, in the mutual relationship of relativity and symmetry.
Immeasurable Infinite and Eternal Universe
In 1917, at the time when Einstein announced his Cosmological considerations with the general theory of relativity, the prevailing opinion was that our Galaxy is the whole World, so where will you have larger masses than the mass M of the whole World? Whether Einstein knew of Olbers' paradox, that warned that fixed stars could not be uniformly further and further in infinity in Euclidean space, because the sky would have to shine even at night, or he did not know, he was satisfied with his solution of the gravitational field equation, which due to the curvature of space-time, predicted a gravitation-al collapse at the coordinate origin. Therefore, he arbitrarily postulated a cosmological λ constant that played the role of negative gravity and prevented that collapse. But when Friedman showed that, depending on the initial conditions, the relativistic equation of the gravitational field has also without a cosmological constant not only a stationary solution but also a solution with a negative space-time curve, where space expands, which is confirmed by Hubble's law, Einstein renounced his constant.
In all likelihood, however, he did not have the ambition to figure out the very origin of the whole world, but rather simply out of scientific curiosity to inform the Prussian Academy of Sciences as to what the space-time geometry could look like in the context of the newly established theory. Otherwise, whoever would wish to decipher the very origin of the World with the ambition to describe it with the coordinate system of certain units of length and time would first have to ask himself:
Whence the coordinate system at all, whence its measures of length and time in the otherwise immeasurably infinite and eternal Universe?
He/she would have to state, therefore, that without mass there is no such coordinate system [11]. Especially scientists know that neither time nor length is measured by our terrestrial foots but by atomic clocks, for example time by a certain frequency of cesium 133 and length by the wavelength of this frequency. In an immeasurably infinite and eternal vacuum, only a captured photon defines a certain time and a certain length.
The thing is simple: one cannot assume that mass exists, and then from that assumption prove that the world of mass exists. In the history of philosophy, it is the long-known so-called ontological proof of God.
Definition: God is a perfect being.
Copula: Something cannot be perfect without existing.
Proof: So God exists.
That is why Thomas Aquinas (1225–1274) does not seek to prove God, but metaphorically interprets the Bible to formulate basic theses about Him, for example:
a) God is always and eternal,
b) In countless ways, only He makes existence by setting everything in motion.
c) God is everywhere, so in His infinity is the unity of the world always.
Theses that could still be believed today, theses to which the proponents of dialectical materialism of the 20th century swore in their characteristic way as if facts without proof, for example:
a) Matter is uncreated and indestructible,
b) It is in eternal movement and transformation,
c) In infinite Matter is all the unity of the world.
They replaced one word with another—not noticing that their theses stand in a mutually relative and symmetrical relationship with the scholastic theses of the middle Ages. The only thing is that you don't see God and you seem to see Matter as an objective reality, which is, of course, a matter of enlightenment, but which has nothing to do with the answer to the question of how come the World exists.
Both these are simply homocentrism, which as such eludes objective reality.
So:
Why at All it is What Happens, instead of Being just Nothing?
(Martin Heidegger: INTRODUCTION TO METAPHYSICS, the very beginning)
Cosmology can help philosophy solve this riddle. Philosophy, on the other hand, can help cosmology not be homocentric and naive.
First of all, it should be noted that both the theses of medieval scholasticism and the theses of the dogmatic dia mat speak of inertia: something that is always and eternal or, on the other hand, uncreated and indestructible —that is inertia. And inertia itself carries symmetry: whatever moment you choose as zero for the beginning of time, on the one hand it is +∞ time, it is the future, and on the other –∞, it is the past. Emmy Noether also showed mathematically that every law of conservation, of energy, impulse, angular momentum, carries symmetry. Not only temporally but in general: whichever point we choose as zero for the coordinate origin, we will have symmetry both left-right and back-forth and in general in all directions, a homogeneous and isotropic space. And every symmetry is one concerning the other—just relativity. No zero is absolute; the world cannot have its beginning: before that beginning nothing and then, behold, the all World. In fact, the Universe cannot have a beginning. But what the ancient Greeks called the cosmos, that can have– however, not an absolute beginning. If our world is the part of an Universe, and it is, the Universe which is always and forever, and it is, then even the beginning of the cosmos cannot escape relativity and symmetry; specifically, the mutual relativity and symmetry between—causality and chance.
Of course, it is not about one single Big Bang as the beginning of the whole World, but about one, two, three, accidentally where and when, but necessarily over and over again about Big Bang, where an implosion and then the explosion of vacuum create the mass Mi (i = 1,2,3, ...) for entire groups of galaxies, for example, with the symmetrical expansion of space time geometry around that mass over and over again according to, let's call Maxwell Newton postulate,

A nice illustration of this MN postulate as well as the unique symmetry of the gravitational field and macro mass is the article by: K. Shimizu, Gravitational Energy of a Schwarzschild Black Hole [12].
At the same time, each such mass would perhaps have its cmax, perhaps its different constant h, and universal constants in general. In other words, the speed of light measured starting from the mass of its origin would be added to the already realized cmax, so here is a possible explanation for the lack of antimatter and for the inflationary ex¬pansion of the universe at the supposed beginning of the world, which was postulated by Lemaitre, a doctor of physics, but not otherwise coincidentally also a doctor of theology—he postulated, and humanity even today homocentric insists on that Primeval atom of his. What was not annihilated in the meantime—was separated by inflationary expansion. Here is a possible explanation for dark energy, which cannot be explained by any negative space-time curvature, by any correction of Friedman's result, because it is probably the problem of only one view from one point of one historical period of the cosmos—in which otherwise, contrary to any big bang, the metric is being leveled by the radiation of stars. And so on.
Who carefully reads Einstein's work from 1905, “Ist die Trägheit eines Körpers von seinem Energieinhalt abhänging?” he will notice that Einstein uses three coordinate systems: one from which the electromagnetic energy L (German Licht) radiates, the second which moves in relation to the first with a speed v and which receives that energy L, and the third which serves as a reference—a situation similar to that of the three coordinate systems that G [13]. Bernhardt explicitly analyzes, so he too is subject to homocentrism without seeing cyclical symmetry. The only difference is that with Einstein, the system S, v = 0 is tied to the center of gravity of our Galaxy like all masses of the world M, and the systems S'and S''are tied to insignificantly small masses m1 and m2, moving at negligibly low speed
However, in those circumstances? The circumstances are by no means the same.
For v→c, as is approximately the case with the velocities of the most distant quasars, that series leads to infinity. Does this cast doubt on the mathematical prediction of a singularity with zero and infinity not only at the center of black holes? (Hawking, Penrose). Or, on the contrary, exactly that is in favor of relativistic gravity, however, without specific units of length and time per se?
Nikodem Poplawski ends his articleon affine gravity with the conclusion that “the concept of a graviton as an elementary particle associated with the metric and mediation of the gravitational force becomes unphysical” [14].
Does the fact that the mentioned binomial series is not convergent have anything to do with the entropy with that Verlinde tries to explain the gravitational force [15]?
Nothing is said here about the speed of transfer of entropic information, but the Planck length quantum is used to derive the relativistic force of gravity, thus tacitly the light speed is there. Since the vacuum as an infinite indeterminacy is the unique one because of the c2 - inertia, isn't that here we are talking about virtual photons? So it seems that the action across the field (real, by speed cmax) and action at distance (virtual, by a speed higher than cmax) are also in mutual relativity and symmetry. Well, it also seems that this entropic theory is correct because at large distances it predicts a decrease in the force of gravity not with 1/r2 but more slowly, with 1/r, which could explain dark matter.
This idea, that the whole world has its starting point from which it was created with the “Big Bang”, humanity still strives to maintain today—from one coordinate origin to match Friedman's radius of curvature with astronomical observations, for example, by varying or adding various parameters in Einstein's equation gravitational field. Even Einstein himself calculated the radius of the cosmos in 1916, in his popular scientific book ON THE SPECIAL AND GENERAL THEORY OF RELATIVITY— which is interesting and contributes to the interest in science, but it is not science.
Anyway, the opportunity for dogma remained: both for God's dogma and Matter's dogma. If the infinite omnipresent, God is the omnipotent creator of the World, why not the single one “Big Bang”? If, on the other hand, Matter without God is infinite, then why not different and increasingly distant galaxies, have people seen them or not?
The fact that K. Shimizu took into consideration Schwarzschild spherical space time metric does not say anything about God or Matter. The question remains:
“Why at all it is what happens, instead of being just nothing?”
Hegel, Sima Markovic, and Justin Popovic
To the question asked, one could simply say: Because both Nothing and Something are in mutually conditioned relativity and symmetry of becoming and disappearing.
The history of human thought and philosophy is a sea without shores; here are the only foothold and measure over and again the material circumstances of human history itself; and Nature. In the post-Hegelian era, when dialectical materialism was emerging, historical reflections on political economy corresponded to the name of dialectics: everything changes and develops from itself, constantly moving out from its opposites by the transition from quantity to quality. Hegel attributes this dialectic of his philosophy to the absolute Idea, not Platonic about this or that thing, but the Idea as the logic of both Being and Non-Being, based on which the whole world exists. Hegel attributes this dialectic of his philosophy to the absolute Idea, not Platonic about this or that thing, but the Idea as the logic of both Being and Non-Being, based on which the whole world exists. In short, the absolute idea is God, if anyone demanded to be translated into the language of religion. And, of course, the Church demanded it and did not only demand but also criti¬cized him because of the dialectics. In that context, materialism made sense. It should have been clearly stated: not a God, not any thought that would exist without man and impose itself on him in the name of God.
Sima Markovic, who can be considered a representative of dialectical materialism from the time when it was still a real philosophy and not a dogma, in his book THE PRINCIPLE OF CAUSALITY AND MODERN PHYSICS, also criticized Hegel, wrote, however, this: “In Hegel, the idea, alienating itself, passes into nature, so that nature is a kind of realization of logic”... So what is not true here? As if nature is not the realization of some kind of logic, its proper logic, whatever we call it?! Why did he so talk about Hegel as if there were something that would not be true [16]?
And then I read CHRISTIAN DOGMATICS by Justin PopoviÄ? who wrote this about Hegel: “Hegel considers the Deity as a pure Idea, as a pure thought activity and knowledge [17]. But since knowledge presupposes the object of knowledge, God from the eternity of Himself distinguishes the knowledge and gives birth to Himself as the Son, and at the same time knows Himself as one or equal to Himself that is Spirit. In Hegel's system, neither the Son nor the Spirit is considered eternal persons of the Deity. In Hegel's system, God is—an eternal idea. That idea, in abstract form, unembodied, is—the Father; when he separates into appearance, into the exterior of nature, it is—the Son; and when he returns from the phenomenon to the final spirit and self- knowledge, it is—the Holy Spirit.”
No one has interpreted Hegel more succinctly and in his own way accurately and consistently—however, in the section on Anti- Trinitarian Heresy. That is why Sima MarkoviÄ? did not speak differently about Hegel but that way: dogma against dogma.
Yes, Hegel called his absolute Idea pure Thought, not human but pure, therefore, God. But it is absolute and pure because the dialectical unity of Being and Non-being is the inner logic of all Nature; hence the title SCIENCE OF LOGIC, with Hegel logic is actually ontology. ]
And so humanity remained in homocentrism.
The Catholic Church, however, declared Thomas a saint some fifty years after his death, and little by little it proclaimed his metaphorical interpretation of the Bible as its official teaching, and in 1951 recognized the evolution of the cosmos. Then a congress of scientists on that topic was organized by the Catholic Church. But the Pope gave them an introductory speech: let them analyze as much as desired the evolution after the Big Bang, but let them know that the Big Bang is the work of God. The Catholic Church finally recognized Kant's philosophy, which needed God only as the First Mover, however, otherwise attacked him because of the hypothesis about the origin of the solar system (Kant Laplace's hypothesis).
And so the question remains:
How to Overcome Homocentrism, How Through Singu- larity?
The inertia of the whole cosmos c2 = const, due to which atoms are built up again and again from the vacuum, so mass, in addition to explaining the postulate c = const, can explain many other things, for example why teleportation is not possible, but cannot how come the World of mass exists at all. Not such a way, isn't it, that before the Beginning there was nothing, and then, at once, there is the whole world so that there would be a man in it with that beginning as with God! After all, which man when it is cmax - measure starting from every material point, from any singularity in general?
Instead of the internal logic of the Big Bang, it is more accurate to say the internal logic of Nature. First of all, the very possibility of the existence of the World, that is virtuality. In relativistic quantum electrodynamics, virtual photons still affect real results of calculations, verifiable by experiment [18]. That possibility, that virtuality of vacuum is always and forever—it is inertia. Not just one elementary possibility, which one exactly, why not an opposite of it, the second, the third, without measure and end— here is symmetry, here is also relativity. Relativity is the basic driving force of the whole universe, symmetry is the basic law. The vacuum is one, but not one state; otherwise, the entropy would be zero. Everything would stop; where; when—there is no reason for any definiteness. But for infinitely many elementary possibilities in all directions, all speeds, and accelerations to infinity, at the same moment in every way—and each photon in its virtual coordinate system. The possibility is getting higher and higher, quantity, quantity—to its ultimate determination, here, now. Infinite virtual relativity would not be infinite if it did not also refer to itself, in that collision with itself is its limit, the transition to a new quality—to reality. That limit is, let's call it, Bose's volume, a certain coordinate system. According to it, this otherwise indefinite cmax is now calculated. It shows that relativity is actually temperature, the higher the relativity in the smaller volume, the higher the temperature.
However, Bose's Volume? Homocentrism Again!
Bose began his statistical derivation of Planck's radiation law with the words: “Let the radiation be enclosed in a volume ΔV and its total energy be ΔE”, the photons are now of constant cmax, so the real ones—the real energy of ideal photon gas. However, if there is no man (homo), then who does determine that coordinate system and that volume, doesn’t it God? It's almost like that. The very inner Logic (Logos) of nature is determining it.
Relativity again, always in the dialectic unity of opposites: in the core of stars because of the hydrogen fusion into helium the temperature and its pressure against the gravity force; temperature against gravity now due to the helium fusion into carbon. And so on until iron and the gravitational collapse— finally into a black hole. Not even photons can escape from a black hole.
Why wouldn't certain black holes, especially ones of enormous mass, finally collapse gravitationally and, reduced to a singular state, explode entropically? And here, relativity again: nowhere only one state forever, not even a single elementary particle without a symmetrical second, third, etc. Again, that eternal and infinite vacuum in unity with all the realized particles—and all the macro-world.
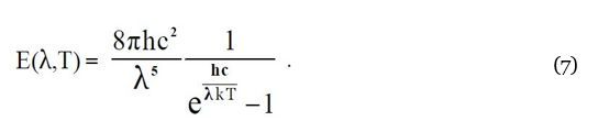
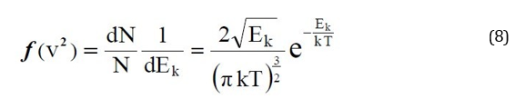
The first following figure shows the diagram of Planck's law of black body radiation — equation (7) — the second figure Maxwell Boltzmann's velocity distribution of micro-particles with mass — equation (8):


Similar diagrams, both bell-shaped. Both with the exponent of the natural number e, where all velocities and all accelerations are equally possible, mathematically: all derivatives of the e-x function are the same no matter where the coordinate origin is—which agrees with the fact that the entropic force arises in a singularity as the coordinate origin and reaches into infinity. Both Maxwell in 1860 and Bose in 1924 started their derivation of formulas from the same assumptions, from a homogeneous and isotropic vacuum space, spherically symmetric, Maxwell from the coordinates themselves: x2+y2+z2=r2, and Bose from photon impulses px 2+py 2+pz 2=c2 (arbitrary r, and constant c).
Well, by reducing the Bose's volume of particles without mass, is it possible to pass through the singularity (0,∞), and ultimately obtain the Maxwell-Boltzmann distribution of thermal velocities of particles with mass? The probability distribution of velocities that would show the property of the same relativity and the same symmetry: whatever which mass, the particle with mass chosen for the coordinate origin, the bell shaped diagram remains the same. Is it possible, mathematically? It should be possible. However, how? How, when the only way for a person to get rid of its homocentrism is to omit from the account not only the Earth (so as not to be geocentrism) and the Sun (heliocentrism) as well as real fixed stars in general (fixed Ether), but also its own mass. Otherwise—even if a person was single in the universe, at least the mass of its eye would be what the cmax is determined by.
A coordinate system, therefore, must also be equally bound to a particle without mass—that is the solution: bound also to a quantum without mass, to photons. Only with that, after all, the relativity theory did complete its basic postulate that all coordinate systems are equal; so when that or this, which is more suitable for an application, but always with the thought that everyone is possible. And photons by themselves have no measure, no time nor coordinates, that's appropriate here. Therefore, in Figure 1, it is not Planck's law with spatial coordinates, but with wavelengths. Photons themselves, with their increasing relativity, reduce the “volume”. Relativity itself in its own collision transforms itself into a new quality. Otherwise, it would not be eternal, not endless. And relativity, this is temperature, a multitude of arbitrary quanta of possible energy; a virtual energy that does not have its absolute zero, its zero is also relative. How then to reduce the “volume” in the diagram when there is no volume at all? By raising the temperature
The numerical values of h, c, and k constants are such that hc/ λkT >> 1, at room temperature for example, even with the highest wavelength of visible light, so instead of the function ex–1 it is appropriate to write simply ex. Due to Wien's displacement law λmaxT=b, i.e. due to hc/kb=4.98, this approximation is appropriate for any temperature, so the E(λ, T) diagram is proportional to e–x. As the temperature increases, however, how fast will the wavelength decrease, faster than the temperature increases? According to the same law, the relationship between frequency and temperature is equal to the relationship between the enormous speed of light and the tiny Wien's b constant: the frequency will increase incomparably faster than the temperature will increase—to the micro domain and indeterminacy when mass creation begins anyway. Increasing temperature, therefore, will undoubtedly lead the entire diagram to a single line: at 0 singularity. Into the singularity of an entropy explosion with a range up to infinity. And then...
Pair Creation in QED-Strong Pulsed Laser Fields Interacting with Electron Beams“

On the other side of the singularity is the Maxwell- Bolzmann velocity distribution of particles with mass. When entropy has already exploded, then the probability of a particle with mass at the point of the explosion, at the coordinate origin, of course, tends to zero. At the micro level, it is a chance, in fact, only a vacuum remains, so virtuality. But when the world of mass has already been created, at the macro level it is causality: a certain cause, a certain consequence, always to infinity, that is—if there were no relativity: somewhere in infinity again explosions of singularities. Maybe in a black hole, maybe with different constants h, cmax and k?
Some different Cosmos, as the ancient Greeks used to put it. Some different World, the one from Giordano Bruno's treatise ON THE INFINITE UNIVERSE AND WORLDS. The Church's Inquisition burned Giordano in 1600—at a time when the doctrines of Thomas Aquinas were already spreading in Europe, the doctrine that God from the Holy Scriptures should be understood metaphorically. Century after century, that teaching has finally become the official doctrine of the Church. In 1951, the Pope made the Big Bang official as a work of God. Thus, the Church recognized Kant's doctrine on the first mover and Hegel's dialectical development, which is evolution. There was no atomic bomb in the time of Thomas, Giordano, Kant, and Hegel. With the atomic bomb, however, it is necessary to know: neither burning nor shooting (Sima MarkoviÃÃÂ??? was accused of right-wing Trotskyism and espionage and shot in 1939 in Moscow. Rehabilitated in 1958) in the name of revolution can stop or skip evolution. Quantity, quantity, and only so a new quality.
It is not the last contradiction of civilization between profit and labor, in the name of God or without God. The contradiction is in the human being itself, as a subject and as an object. As a subject, a human being is faced with its relativity, and yet it would like eternity like infinite inertia or God—even though he/ she is already an object to a human being next to him/her. By recognizing homocentism, scientists would help to overcome egoism in the name of humanity and nature—no matter who confesses to which God, who protects himself by which God.
"The Rice of Education and Catastrophe"
In an anti-aircraft bunker near Moscow on September 26, 1983, a video of a nuclear missile heading from America appeared on the screen of satellite early warning. The military protocol was clear: immediately notify the high command for a counterstrike. Behind the screen was Lt. Col. Stanislav Petrov, not only military, but also especially civilly educated, so he must have known how big a finger in the eye to the Soviet revolutionary hope was that “Big Bang” with God as the beginning [20]. Even in 2010, when I published a collection of short stories THROUGH SOCIALISM TO WAR, there followed, for example, from Nicaragua a comment warning me that democracy cannot be introduced with any material aid if the local rulers are in collusion with foreign capital for the sake of their authorities, that is neocolonialism, a futile imitation of free elections [21]. The reaction from Pakistan was even clearer and quite short: that I don't understand anything, long live socialism! Liberté, egalité, fraternité! Yes, but how? Stanislav Petrov had faith in human reason—even though the Soviet Union had shot down a South Korean passenger plane near Sakhalin two days before, with also American citizens on board. One rocket, he thought, they wouldn't in such a way. Only then the second, third, all individually and not frontally, five in total. If he knew about the extremely rare glint of the sun on the high clouds or not, even though all the bells in the observation station were already ringing on the alarm, he hung up the phone, and said into the intercom microphone: “False alarm, mistake!” Will there be enough people in the world, despite the WILL TO POWER, which Nietzsche wrote about for example, who believe in human reason? The history of hu¬manity depends more and more on the race of education and catastrophe, it was said a long time ago [22].
Conclusion
Einstein, keeping the definition of the inertial system from classical mechanics, defined his c=const with the postulate that all inertial coordinate systems too are equal in describing electromagnetic phenomena. In 1913, De Sitter proved this constancy by astronomical observation of Jupiter's satellites, and thus the duality was born. In classical mechanics, the coordinate system related to fixed stars is absolute, and in electromagnetism, all systems of their own mass are relative. To remove this duality, Einstein adopted in the general theory of relativity the postulate that all curvilinear coordinate systems of space-time are equal in describing both gravity and electromagnetism—with the fact that this curvilinear metric is caused by gravitational masses, the larger the more, and the micro-masses, having no gravitational influence, move by inertia along the geodesic lines of that unique mathematical four-space. According to the “Big Bang” hypothesis, the largest mass, infinite and of infinite density and temperature, is the only one that exploded, and before it there was nothing, not even metrics, now tacitly assuming that the absolute coordinate system is that one of the microwave backgrounds. Tacitly—in the same way as Einstein, deriving his famous E=mc2, assumed that in the third coordinate system, kinetic energy is absolute, the one considered in the first two systems (one of which moves at speed v relative to the other).
Finally, it should be clearly stated that all these tacit coordinate systems can only be quasi-absolute, technical ones if they give verifiable results by experiment or astronomical observation regarding the existing masses. For example, the coordinate system related to the Sun is sufficient to prove the constancy of the light speed by observing Jupiter's satellites. Quantum physics itself is impossible without a technical coordinate system, quantization is impossible if a fixed coordinate system is not adopted, one time this, another time that, depending on an experiment.
And as for cosmology, it depends on what is expected of it. Suppose it has to describe the evolution of our cosmos from some assumed moment to the moment as we see it today up to the limits of the microwave background. In that case, there are, let's say, ingenious attempts to reduce everything to an absolute coordinate system related to that microwave background (although after let's say, a few thousand years it will change too, not only the position of the fixed stars). If we need to guess the answer to How come the World exists, that's where things seem–paradoxically–easier. Here is sufficient internal LOGIC of Nature itself: inertia, symmetry, and relativity. Well, whatever anyone sensed or called that internal LOGIC. Because the absolute coordinate system does not exist. Everything is emerging and disappearing.
Existence itself is the arising and the passing away.
Acknowledgement
Publishing my Entropy passage through the Black Hole Singularity in Active Galaxies, I did not know that astronomers do not have the opportunity yet to analyze the jets ejected by black holes of active galaxies with sufficient precision and that they are probably not yet able to use my method of the schematic representation of zero-relative symmetry of vacuum. That's why I join their appeal for the provision of the necessary facilities [23]. So many efforts of so many scientists deserve to be respectfully and with gratitude given the opportunity to, I hope, prove that there was not and is not just one “big bang”. This would deprive all humanity of at least one temptation— to fight in the era of A- and H-bombs over whose God created the only beginning of the World.
References
- Gamow, G. (1946). Expanding universe and the origin of elements. Physical review, 70(7-8), 572.
- Alpher, R. A., Bethe, H., & Gamow, G. (1948). The origin of chemical elements. Physical Review, 73(7), 803.
- Milan D. NešiÄ?: POLITIKA, HLEB I KNJIGA (POLITICS,BREAD AND BOOKS), Beograd, 2003, ISBN 86-903845-1-0, – The typescript has been kept since 1982 in the SANU archive, No 14497/IstZb
- Milan D. NešiÄ?: Relativistic Ether and Heisenberg's Uncertainty Principle.
- Milan D. NešiÄ?: DA LI JE ÄORDANO BRUNO UZALUD SPALJEN? (WAS GIORDANO BRUNO BURNED IN VAIN?), Belgrade, 2016, ISBN 978-86-900622-0-1.»Whether it was burned in vain depends on how the “big bang” hypothesis is interpreted. If it is interpreted to the end scientifically, and finally in the manner of a new philosophy of cosmology, then his sacrifice was not in vain, then his vision of the universe—already described by the title of his treatise ON THE INFINITE UNIVERSE AND THEWORLDS—can only be completed. In what way, to show is exactly the goal of this book.«Milan D. NešiÄ?: GRAVITY AND C2-INERTIA, the bilingual book, Belgrade, 2020, ISBN 978-86-900622-1-0
- Milan D. NešiÄ?: UNIVERZUM KAO RELATIVNA NULA,Belgrade, 2014, ISBN 978-6-903845-8-7
- Milan D. NešiÄ?: GRAVITY AND C2-INERTIA, the bilingual book, Belgrade, 2020, ISBN 978-86-900622-1-0
- Milan D. NešiÄ?: Entropy passage through the black hole singularity in active galaxies.
- Einstein, A. (1906). Das Prinzip von der Erhaltung der Schwerpunktsbewegung und die Trägheit der Energie. Annalen der Physik, 325(8), 627-633.
- Georg Bernhardt: Zum Zwillingsparadoxon in der Speziellen Relativitätstheorie.
- Milan D. NešiÄ?: There Is No Coordinate System without Mass.
- Katsutaro Shimizu: Gravitational Energy of a Schwarzschild Black Hole.
- Albert Einstein: Ist die Trägheit eines Körpers von seinem Energieinhalt abhäning? –ANNALEN DER PHYSIK UND CHEMIE, 223, 13, Seite 639–641
- Nikodem Poplavski: Afine Theory of Gravitation, 3. avgust 2012.
- Erik Verlinde: On the Origin of Gravity and the Laws of Newton, 6 Januar 2010.
- Born in Kragujevac in 1888. Accused of right-wing Trotskyism and espionage and shot in 1939 in Moscow, where as one of the founders of the KPY and a member of the executive committee of the Comintern, he fled Serbia because of the State Protection Law. Rehabilitated in 1958.
- Born in Vranje in 1894. Died in the Ä?elije monastery in 1979. In 1932, he published that trilogy under the title HRIŠÄ?ANSKA DOGMATIKA (CHRISTIAN DOGMATICS)
- Feynman, R. P. (2018). Space-time approach to quantum electrodynamics. In Quantum Electrodynamics (pp. 178- 198). CRC Press.
- Sokolov, I. V., Naumova, N. M., Nees, J. A., & Mourou, G.A. (2010). Pair creation in QED-strong pulsed laser fields interacting with electron beams. Physical review letters, 105(19), 195005.
- Stanislav_Petrov
- Mian D. NešiÄ?: THROUGH SOCIALISM TO WAR, ISBN978-86-903845-7-0.
- H._G._Wells
- Petric, A., Lacy, M., Juneau, S., Shen, Y., Fan, X., Flagey, N., ... & Xue, Y. (2019). High Redshift Obscured Quasars and the Need for Optical to NIR, Massively Multiplexed, Spectroscopic Facilities. arXiv preprint arXiv:1905.10489.

