Research Article - (2025) Volume 8, Issue 4
Universal Uncertainty Principle and Solution to Puzzle of No Giving Exact Values of General Uncertainty of Physics Quantities in Current Quantum Theories
2Lawrence Berkeley National Laboratory, 1 Cyclotron Road, Berkeley CA 94720, USA
3Department of Physics and Astronomy, Purdue University, W. Lafayette, IN 47907-2036, USA
4Department of Physics and Astronomy, DESHENG UNIVERSITY, 93 WOODLAKE Dr., MIDDLETOWN, NY 10940, USA
Received Date: Aug 04, 2025 / Accepted Date: Sep 02, 2025 / Published Date: Nov 20, 2025
Copyright: ©2025 C. Huang, et al. This is an open-access article distributed under the terms of the Creative Commons Attribution License, which permits unrestricted use, distribution, and reproduction in any medium, provided the original author and source are credited.
Citation: Song, J. M., Zeng, D. F., Huang, C., Huang, Y. C. (2025). Universal Uncertainty Principle and Solution to Puzzle of No Giving Exact Values of General Uncertainty of Physics Quantities in Current Quantum Theories. Adv Theo Comp Phy, 8(4), 01-13.
Abstract
The current uncertainty principle is only the variance expressions, which is no complete and cannot satisfy the key and real urgent needs of the exactly describing physical systems up to now about one century since proposing uncertainty principle by Heisenberg. This paper not only deduces universal uncertainty principle but also solves the Puzzle of no giving exact values of general uncertainty of any orders of physical quantities in current different quantum theories, i.e., this paper solves the difficult Puzzle that current quantum computer, quantum communication, quantum control, quantum mechanics, particle physics, and quantum field theory and so on cannot give exact values of general uncertainty of any orders of physical quantities. This paper further gives all relevant different expressions of the universal uncertainty principle and their applications. In fact, our studies are consistent with current theories and physical factual experiments, e.g., relevant to hydrogen atom physics experiments Using the new universal uncertainty principle, people can give all applications to atomic physics, quantum mechanics, quantum communication quantum field theory, particle physics and so on, which will result in renewing to urgently do all works relevant to the universal uncertainty principle in all these sciences.
Keywords
Quantum Computer, Quantum Communications, Quantum Uncertainty Principle, Quantum Calculation, Quantum Physics, Quantum Field, Theoretical Physics, Particle Physics
Introduction
The uncertainty principle in quantum mechanics was first introduced in 1927 by W. Heisenberg, which shows that the more exactly the position of one particle is decided, the less exactly the momentum of the particle can be determined, and vice versa [1]. The current inequality depending on the standard deviation of position and momentum was deduced by E. H. Kennard later [2] and by H. Weyl in 1928 [3].
The uncertainty principle practically shows a basic physics law character of systems in quantum physics, and isn’t one statement of the observational success of current technology [4]. Some pioneer researchers gave excellent investigations on uncertainty principle [5 9], Ref.[10] studied microscopic origin for the apparent uncertainty principle governing the anomalous attenuation, further, macroscopic quantum uncertainty principle and superfluid hydrodynamics were investigated [11], Ref.[12] researched on non-decidability principle and the uncertainty principle even for classical systems. Ref.[13] studied hierarchy of local minimum solutions of Heisenberg's uncertainty principle, furthermore, noncommutative spacetime, stringy spacetime uncertainty principle, and density fluctuations were shown [14].
A. Bina, S. Jalalzadeh and A. Moslehi showed a quantum black hole in the generalized uncertainty principle framework [15], and Ref.[16] gave a unification theory of classical statistical uncertainty relation and quantum uncertainty relation and its applications. Pierre Nataf, Mehmet Dogan and Karyn Le Hur further revealed Heisenberg uncertainty principle as a probe of entanglement entropy: Application to superradiant quantum phase transitions [17].
Giuseppe Vallone, Davide G. Marangon, Marco Tomasin and Paolo Villoresi show quantum randomness certified by the uncertainty principle [18], Smail Bougouffa and Zbigniew Ficek further reveal evidence of indistinguishability and entanglement determined by the energy-time uncertainty principle in a system of two strongly coupled bosonic modes [19]. Furthermore, L. Perivolaropoulos gives research on cosmological horizons, uncertainty principle, and maximum length quantum mechanics [20].
Shmuel Friedland, Vlad Gheorghiu, and Gilad Gour give universal uncertainty relations [21], and Andre C. Barato and Udo Seifert further present thermodynamic uncertainty relation for biomolecular processes [22].
Since we study the general physical laws of any quantum systems of arbitrary space, so far there is no the corresponding arbitrary uncertainty principle, so we need to study and give arbitrary uncertainty principle.
So far in quantum physics, all the uncertainty relations are, for the highest considering, the uncertainty relationship about variance level, higher order uncertainty relation cannot be given out, which leads to, when doing the measurement of any orders of two arbitrary physical quantities in the real cases, various statistical accuracies are not high, the most general estimations and calculations of physics quantities cannot be done for general different physics systems.
Because this paper is concerned with any physical system of arbitrary space, so we have to generalize the original uncertain principle to the most general case, therefore, in this paper, we will solve the theory and representation problem of new any order uncertainty principle of any two physical quantities, which cannot be solved so far.
This paper is arranged as follows: Sect. two gives a new general unequal theorem in mathematics and a general useful inequality of any orders of functions of two operators; Sect. three is new universal uncertainty principle of general physics quantities in quantum physics; Sect. four shows research on a moving particle with mass in a general central force field; Sect. five presents more applications of this theory; Sect. six shows new general uncertainty relations of general physics quantities in classic statistics; Sect. seven gives summary, conclusion and outlook.
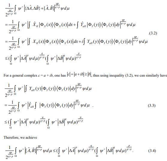
A New General Unequal Theorem in Mathematics and A General Useful Inequality of Any Orders of Functions of Two Operators


Multiplying inequality (2.5) with T+(μ) and T(μ) from the left and right sides, respectively and integrating, thus we obtain inequality (2.4).
For a general relation between quantum physics and classic physics, physical consistent property demands that there is a fundamental result that the quantum average value of any operator in quantum physics is equal to the relative statistical average value of the classic physics quantity corresponding to its quantum operator, which can be mathematically expressed as [16,25]


From the above research, it can be seen that inequality (2.10) is general, exact and perfect in both mathematical deduction and physics research. Inequality (2.10) is a general expression of the real Universal Uncertainty Principle in Different Quantum Theories. Using inequality (2.10), we can do a lot of investigations in different quantum theories
New Universal Uncertainty Principle of General Physics Quantities in Quantum Physics
From current quantum uncertainty principle mathematics derivation and analysis of the entire physics’ building process, only simply taking Schwarz inequality related to the variance of two physical quantities in the uncertainty description of the same time measurement is just a special case, because, according to a general principle, a real system of quantum physics also abounds non-Schwarz inequality to calculate measurement uncertainty description of the variance of two physical quantities at the same time, the variance description relating to Schwarz inequality is just a special case of them. Consequently, the current quantum theory about the description of the uncertainty principle is not comprehensive, not perfect and not strict enough, to overcome these shortcomings, we now need to put it to the most general case.
Now we use inequality (2.10) to deduce new uncertainty principle of any orders of two physical quantities in quantum physics in following studies.


where inequality (3.4) is stronger inequality than inequality (3.2), because we have deleted the first term in the third line in inequality (3.2).
Inequality (3.4) is just the new universal uncertainty principle of any orders of two physical quantities.
When p = q, inequality (3.4) can be further simplified as

Inequality (3.6) is just the old well-known usual uncertainty principle. Therefore, our studies are consistent with current theory.
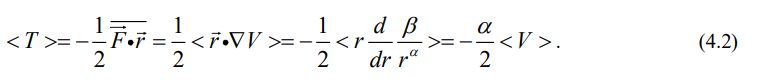
Research on A Generally Moving Particle with A General Mass in General Central Force Field in Quantum Mechanics
For a generally moving particle with a general mass in general central force field in quantum mechanics

using Virial theorem, we have the mean value relationship between kinetic energy and potential energy in any bound state

Thus we have total energy

when 0< α < 2, Eq.(4.3) take a negative value, then the system has the different bounded states, i.e., this system may form stable matter state.
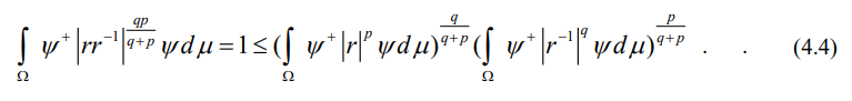
On the other hand, using the deduced inequality (2.10) and taking f = r, g = r-1, we deduce

Thus we generally deduce

Inequality (4.5) is, for the first time, achieved, which can be extensively applied to a lot of problems of central force fields in quantum mechanics, atomic physics and so on
Using Eqs.(4.1) and inequality (4.7), we deduce
<img src=" https://www.opastpublishers.com/scholarly-images/9933-692e6551d14aa-universal-uncertainty-principle-and-solution-to-puzzle-of-no.png" width="700" height="400">
where the last line uses inequality (4,7).
For the bound state, expression (4.11) also needs to be smaller than or equate zero. Thus taking inequality (4.11) equal to zero, we have
<img src=" https://www.opastpublishers.com/scholarly-images/9933-692e65a190ed0-universal-uncertainty-principle-and-solution-to-puzzle-of-no.png" width="700" height="500">
expressions, which cannot be given in the current quantum theories.
For example, we consider the most common expression of Lennard-Jones potential (a useful model for the interaction of a pair of neutral atoms or molecules ) [28]
<img src=" https://www.opastpublishers.com/scholarly-images/9933-692e65d839a14-universal-uncertainty-principle-and-solution-to-puzzle-of-no.png" width="700" height="500">
where we used expression (4.7). Expression (4.16) gives a quantum average max value for the improved potential, which cannot be obtained in the past quantum theories.
More Applications of This Theory
Using Eq.(2.9),we have
<img src=" https://www.opastpublishers.com/scholarly-images/9933-692e66cdd41bc-universal-uncertainty-principle-and-solution-to-puzzle-of-no.png" width="700" height="400">
<img src=" https://www.opastpublishers.com/scholarly-images/9933-692e672512fe3-universal-uncertainty-principle-and-solution-to-puzzle-of-no.png" width="700" height="400">
<img src=" https://www.opastpublishers.com/scholarly-images/9933-692e67da44d0d-universal-uncertainty-principle-and-solution-to-puzzle-of-no.png" width="500" height="400">
where j = 1,2,3, and we have used the sphere symmetry property of the ground state T100.
Putting expressions (5.7) and (5.8) into expression (5.6), we can deduce
<img src=" https://www.opastpublishers.com/scholarly-images/9933-692e6834de9af-universal-uncertainty-principle-and-solution-to-puzzle-of-no.png" width="700" height="300">
Thus we see that not only all quantities are with the same dimensions between two sides of inequality (5.9), but also their coefficients of two sides satisfy the inequality.
Consequently, it can be seen that inequality (5.10) just shows the correction of inequality (5.6) in real physical experiments e.g., relevant to hydrogen atom physics experiments.
These are consistent with all the known results and include the achieved successes in quantum theory.
Using inequality (3.4), we can give all uncertainty relations of any orders of two physical quantities, which can be applied to atomic physics, quantum mechanics, quantum communications, quantum calculations, quantum computer and so on, e.g., to Refs. [12-21].
New General Uncertainty Relations of General Physics Quantities in Classic Statistical Physics
Using the unequal theorem, when f and g are classic physics quantities, and taking r = y +y density function, then unequal expression (2.4) can be rewritten as

Inequality (6.4) is just the well-known Schwarz inequality. Therefore, our studies are consistent with current statistical theory
Summary Conclusion and Outlook
We first simply review the development of uncertainty principle, and then use a general unequal lemma to deduce a general unequal theorem of any orders of any two functions with integrations.
This paper deduces an important relation between a composite function of operators in quantum physics and a composite function of classic physics quantities of corresponding to the operators, further utilizes the relation and the unequal theorem to achieve a general important inequality. Using the inequality, we show new universal uncertainty principle in current different quantum theories, namely, new universal uncertainty principle of any orders of physical quantities in quantum physics, solve the difficult Puzzle that current quantum computer, quantum communication, quantum control, quantum field theory, particle physics and so on theories cannot give exact values of general uncertainty of any orders of physical quantities, further, we give all relevant different expressions of the universal uncertainty principle and their applications.
For examples, inequality (3.4) is just the new uncertainty principle of any orders of physical quantities in quantum physics. When p = q, inequality (3.4) can be further simplified as inequality (3.5); when p = 2, inequality (3.5) can be further simplified as the well-known usual uncertainty principle expression. Therefore, our studies are consistent with current theory and real physical experiments, e.g., relevant to hydrogen atom physics experiments.
For a moving particle with mass in a general central force field, using Virial theorem, we achieve a new general average value relationship (4.2) between kinetic energy and potential energy in any bound state, thus we deduce the total energy (4.3) proportional to < 1/ ra > ( 0<a < 2 ).

On the other hand, using the deduced unequal theorem, unequal expression (2.4) can be simplified as inequality (6.1), when p = q = 2, inequality (6.1) can be further simplified as the well-known Schwarz inequality. Therefore, our studies are consistent with current functional theory.
Using the new universal uncertainty principle expression (3.4), we can give all uncertainty relations of any orders of physical quantities in quantum physics, which can be applied to quantum field theory, particle physics, superstring theory, quantum cosmology, quantum optics, nuclear physics, atomic physics, quantum mechanics, quantum communication, quantum calculations, quantum computer, condensed matter physics and so on, because, in these theories, they all use their corresponding quantum theories and the uncertainty relation to investigate and solve their relevant problems. Therefore, up to now, a lot of all the articles and textbooks related to the universal uncertainty principle need to renew urgently doing and would be updated.
The meanings of the statement and the physical motivation to derive this equation (2.10) are made clear and explicit in the paper, e.g., in the 125th anniversary, Science issued the 125 scientific problems of the world’s leading frontiers [31], for the 21th issued question: is there a deeper principle behind quantum uncertainty and nonlocality? This paper is trying to do some of the work solving the problem. One of the mathematical expressions of the deeper principle behind quantum uncertainty and nonlocality must be or at least include the most general mathematical inequality (2.10), because inequality (2.10) is general, exact and perfect in both mathematical deduction and physics research of fitting physics experiments. In fact, it can be seen from this paper that inequality (2.10) is a general expression of the real universal uncertainty principle and nonlocality in current different quantum theories. Because, for the most generality

It can be seen from the investigations of this paper that this paper opens a new field investigating new universal uncertainty principle of any orders of physics quantities in current different quantum physics, the achieved results in this paper are both useful and exact, because this paper will largely influence the research of the other branches in physics, e.g., atomic physics, quantum mechanics, quantum communication, quantum calculations, quantum computer, quantum field theory, particle physics and so on, because all current the branches of physics cannot give the exact description of all high order statistical moments so that they cannot give the corresponding rigorous statistical description theory, however, using this paper’s theory, people not only can overcome the key Puzzle, but also can open a new field investigating new universal uncertainty principle of any orders of physics quantities in current different quantum physics.
For any statistical system, it is very necessary to give an exact description of all high order statistical moments in order to give a rigorous statistical description theory [30]. The same is true for any quantum statistical physics system [25,30]. In the current theory of quantum statistical physics systems, there is only the same time measurement uncertainty description of the variance of two physical quantities [25, 30], and a lot of the rests of the more, stricter and more general descriptions so far has not been given. This paper just gives these descriptions that so far have still not been given, which overcome the difficult Puzzle that it is not possible to strictly describe the physical systems related to the aspect of the universal uncertainty principle, so as to give a new general description theory of the quantum physics relating to the universal uncertainty principle [31-33].
Acknowledgements
The work is supported by NSF through grants PHY-08059, DOE through grant DEFG02- 91ER40681, the U.S. Department of Energy, contract no. DE-AC02-05CH11231, and National Natural Science Foundation of China (No. 11875081).
Data sharing not applicable to this article as no datasets were generated or analyzed during the current study; the author declare that there are no competing interests.
References
- Heisenberg, W. (1927). Über den anschaulichen Inhalt der quantentheoretischen Kinematik und Mechanik. Zeitschrift für Physik, 43(3–4), 172–198.
- Kennard, E. H. (1927). Zur Quantenmechanik einfacher Bewegungstypen. Zeitschrift für Physik, 44(4–5), 326–352.
- Weyl, H. (1928). Gruppentheorie und Quantenmechanik. Leipzig: Hirzel.
- Indian Institute of Technology Madras, Professor V. Balakrishnan. (n.d.). Lecture 1 – Introduction to Quantum Physics: Heisenberg's uncertainty principle [Video]. National Programme of Technology Enhanced Learning, YouTube. Landau, L. D., & Lifshitz, E. M. (1977). Quantum mechanics: Non-relativistic theory (Vol. 3, 3rd ed.). Pergamon Press.
- Breit, G. (1928). The principle of uncertainty in Weyl's system. Physical Review, 32, 570.
- Robertson, H. P. (1929). The uncertainty principle. Physical Review, 34, 163.
- Stern, A. W. (1931). The uncertainty principle. Physical Review, 37, 1186.
- Rosen, N., & Vallarta, M. S. (1932). Relativity and uncertainty principle. Physical Review, 40, 569.
- Ryason, P. R. (1959). Proposed direct test of the uncertainty principle. Physical Review, 115, 784.
- Chester, M., & Maynard, R. (1972). Microscopic origin for the apparent uncertainty principle governing the anomalous attenuationof third sound. Physical Review Letters, 29, 628.
- Putterman, S. J., Finkelstein, R., & Rudnick, I. (1971). Macroscopic quantum uncertainty principle and superfluid hydrodynamics Physical Review Letters, 27, 1697.
- Kanter, I. (1990). Undecidability principle and the uncertainty principle even for classical systems. Physical Review Letters, 64, 332.
- Hoffman, D. K., & Kouri, D. J. (2000). Hierarchy of local minimum solutions of Heisenberg's uncertainty principle. Physical Review Letters, 85, 5263.
- Brandenberger, R., & Ho, P.-M. (2002). Noncommutative spacetime, stringy spacetime uncertainty principle, and densityfluctuations. Physical Review D, 66, 023517.
- Bina, A., Jalalzadeh, S., & Moslehi, A. (2010). Quantum black hole in the generalized uncertainty principle framework. Physical Review D, 81, 023528.
- Huang, C., & Huang, Y.-C. (2011). Unification theory of classical statistical uncertainty relation and quantum uncertainty relationand its applications. Physics Letters A, 375, 271.
- Nataf, P., Dogan, M., et al. (2012). Heisenberg uncertainty principle as a probe of entanglement entropy: Application to superradiant quantum phase transitions. Physical Review A, 86, 043807.
- Vallone, G., Marangon, D. G., Tomasin, M., & Villoresi, P. (2014). Quantum randomness certified by the uncertainty principle.Physical Review A, 90, 052327.
- Bougouffa, S., & Ficek, Z. (2016). Evidence of indistinguishability and entanglement determined by the energy-time uncertaintyprinciple in a system of two strongly coupled bosonic modes. Physical Review A, 93, 063848.
- Perivolaropoulos, L. (2017). Cosmological horizons, uncertainty principle, and maximum length quantum mechanics. Physical Review D, 95, 103523.
- Friedland, S., Gheorghiu, V., & Gour, G. (2013). Universal uncertainty relations. Physical Review Letters, 111, 230401.
- Barato, A. C., & Seifert, U. (2015). Thermodynamic uncertainty relation for biomolecular processes. Physical Review Letters, 114,158101.
- Yosida, K. (1980). Functional analysis. Springer-Verlag.
- Hardy, G. H., Littlewood, J. E., & Polya, G. (1952). Inequalities (2nd ed.). Cambridge University Press.
- Sakurai, J. J., & Napolitano, J. (2011). Modern quantum mechanics (2nd ed.). Addison-Wesley.
- Roepstorff, G. (2012). Path integral approach to quantum physics: an introduction. Springer Science & Business Media.
- Khandekar, D. C., Lawande, S. V., & Bhagwat, K. V. (1993). Path-integral methods and their applications. World Scientific.
- Deng, Y., Huang, C., & Huang, Y.-C. (2016). Constraining the existence of magnetic monopoles by Dirac-dual electric chargerenormalization effect under the Planck scale limit. International Journal of Modern Physics A, 31, 1650133.
- Lennard-Jones, J. E. (1924). On the determination of molecular fields. Proceedings of the Royal Society of London A, 106(738), 463–477.
- Barron, T. H. K., & Domb, C. (1955). On the cubic and hexagonal close-packed lattices. Proceedings of the Royal Society of London A, 227(1171), 447–465.
- Atkins, P., & de Paula, J. (2006). Atkins' physical chemistry (8th ed.). W. H. Freeman. Rapaport, D. C. (2004). The art of molecular dynamics simulation. Cambridge University Press.
- Reichl, L. E. (2009). A modern course in statistical physics (3rd ed.). Wiley-VCH.
- Kennedy, D., & Norman, C. (2005). What don't we know?. Science, 309(5731), 75-75.
