Research Article - (2025) Volume 1, Issue 1
Tensor Lorentz Force Representation Yields a New Electromagnetic Canonical Energy-Momentum Tensor
Received Date: Dec 20, 2024 / Accepted Date: Jan 24, 2025 / Published Date: Feb 04, 2025
Copyright: ©©2024 Serge Collin. This is an open-access article distributed under the terms of the Creative Commons Attribution License, which permits unrestricted use, distribution, and reproduction in any medium, provided the original author and source are credited.
Citation: Collin, S., (2025). Tensor Lorentz Force Representation Yields a New Electromagnetic Canonical Energy-Momentum Tensor. Arch Nucl Energy Sci Technol, 1(1), 01-07.
Abstract
As is known, the Maxwell stress-energy tensor typically used in electromagnetism is not a canonical tensor in the sense of Noether, since its four-divergence is not zero in the presence of sources, in other words, outside of free space. Indeed, the result provided by the calculation of the four-divergence of this tensor is the opposite of the four-vector generalizing the Lorentz force density. The idea is to associate with it a tensor constructed from potentials and sources, such that its four-divergence is the opposite of that of the Maxwell tensor. The distribution of sources will also be analyzed in light of fluid mechanics, allowing us to account for its influence in terms of generated pressure which maybe could overcome the fluid pressure leading to negative pressure and possibly negative energy in the case of hyper-relativistic fluids.
Keywords
Theoretical Physics, Electromagnetism, Cosmology, General Relativity, Noether, Noether Symmetries, Energy-Momentum Tensor
Introduction
In the context of Noether’s theorem, an energy-momentum tensor is canonical if the four-divergence is zero. This corresponds to the conservation of energy and momentum. Unfortunately, the tensor commonly used for electromagnetism satisfies this condition only in the absence of charges and currents.
If, within the framework of general relativity, we wish to have a geometrically correct description of spacetime on scales of galaxies, star systems, etc., we cannot neglect the influence of the charged particles present and their interactions with electromagnetic fields. Since the fields derive from scalar and vector potentials, this is equivalent to expressing these interactions in charge/potential form. These phenomena must therefore be taken into account in the energy-momentum tensor that appears in Einstein’s equations.
To compensate for this deficiency in the Maxwell tensor, we will construct, "by hand", a complementary symmetric tensor in such a way that the overall four-divergence is zero, whether in the presence or absence of sources. If sources are present, they will be modeled by a fluid of particles. It will be seen that symmetry comes at a cost: the potentials must satisfy the Lorenz gauge.
For the sake of simplicity in writing, the development is first carried out within the framework of special relativity, in Minkowski spacetime, and will then be extended to general relativity.
Particle Distribution
We consider a continuous distribution of particles where, for the sake of simplicity, all the particles are the same. This distribution can be likened to an incompressible ideal relativistic fluid. As a consequence, its rest mass density ρm is constant and the speed divergence is zero ∂ vµ = 0.
![]()
The expression for the canonical relativistic energy-momentum tensor can be found in[1,2,3,4] and is
Tflµν = (E + P) uµuν − ηµνP (1)
with the symbols defined previously [1-4].
The conservation laws of energy and momentum imply that
∂µTflµν = 0
The evidence that this relationship is verified is available in [1-4].
Initial Tensor

This tensor will be made symmetric later.
Trace
In Minkowski spacetime, the trace is readily calculated, which leads to

<img src=" https://www.opastpublishers.com/scholarly-images/8732-69254bcc5550f-tensor-lorentz-force-representation-yields-a-new-electromagn.png" width="500" height="30">
The result of calculating the trace immediately brings to mind the term of pressure obtained in the case of a fluid. We will revisit this later in the context of this paper.
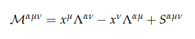
Angular Momentum Conservation
If the canonical tensor Λµν is not symmetric, the angular momentum tensor is written as

where Sαµν is an intrinsic spin tensor. By construction Sαµν is anti-symmetric in (µ, ν).
The angular momentum conservation implies ∂a Mαµν = 0 and thus, taking into account that ∂a Λαµ = ∂a Λαν = 0, the relation Λµν − Λνµ = ∂αSανµ has to be satisfied.
The anti-symmetric part of the tensor to be made symmetric must therefore be expressible as the four-divergence of a rank-3 tensor if one wishes to make it symmetric.

We will now apply the Belinfante method [5].

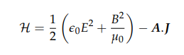
Hamiltonian Electromagnetic Density

Upon integration over all space, the divergence presents in the above expression gives no contribution, being transformed into a surface integral at infinity where all fields and potentials are identically zero. This term vanishes and we obtain finally

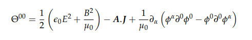
In our canonical tensor, the Hamiltonian density is provided by the term Θ00. Calculating this element leads to the result

which corresponds well to the expected energy density as the four-divergence gives no contribution upon integration over all space and therefore vanishes.
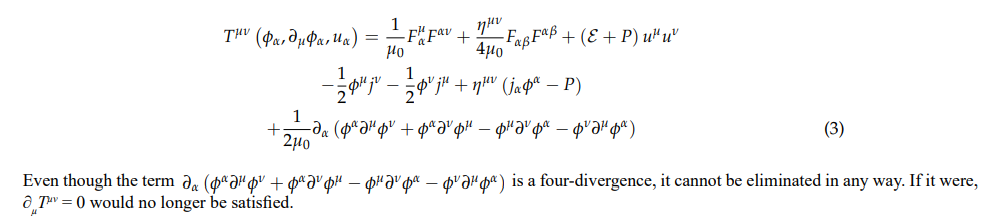
The Complete SEM Tensor
Until now, our tensor only refers to the electromagnetic fields and their interaction with matter. To be complete, we must add the tensor related to matter defined by “equation (1)”. This provides the overall tensor

This is result is similar to the tensor developed in [6].
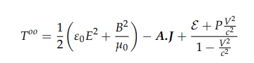
Hamiltonian Density
In our canonical tensor, the Hamiltonian density is provided by the term T00. Calculating this element leads to the following expression:

which corresponds well to the sum of the electromagnetic energy and the fluid energy densities.
To find the nonrelativistic limit (v << c), it is convenient to express the total energy density E as the sum of the mass energy ρm c2 and the internal energy ρmϖ densities.
In doing so, it brings us to


Tµµ in Special Relativity
In Minkowski spacetime, Tµµ is readily calculated, which leads to

In astrophysical scenarios, relativistic fluids are often encountered in extreme environments, such as close to massive objects like black holes or in high-energy events like supernovae. In these situations, the speeds of particles or matter involved are comparable to the speed of light.
For a relativistic perfect fluid, one can demonstrate [6] that the trace of its energy-momentum tensor equals γ−1ρm c2.

General Relativity
In the presence of charges, the Maxwell stress-energy momentum tensor is not suitable for use, as is the case for Einstein’s equation, because its 4-divergence is not null. On the other hand, the tensor that we developed in (3) does not suffer from this defect and can be introduced directly, as is, in Einstein’s equation.
Its covariant form, adapted to general relativity, is given by

Conclusions
The motivation of this article was to render the four-divergence of the Maxwell energy-momentum tensor zero in the presence of charges. This is the result we present here, achieved by introducing a tensor physically connected to fluid mechanics, where the sources are necessarily a consequence of the presence of massive particles.
The main idea was to find out a tensor which its four-divergence yields the Lorentz density four-vector and augmented the Maxwell tensor in order to make it canonical, meaning that its four-divergence is zero in the presence of charged or uncharged massive particles.
The final result for electromagnetism is given by “equation 5”.
By treating these particles as an incompressible fluid, we observe that these sources have the effect of modifying the fluid pressure, as it could be calculated, for instance, from the ideal gas law.
We also open some paths to detect exotic matter in vicinity of black holes and supernovae. Clearly, this modeling is only a basic example, and further modeling can be envisaged by adding additional tensors, provided that they agree with Einstein’s equation of general relativity.
By treating these particles as incompressible fluids, we observe that these sources modify the fluid pressure, as can be calculated, for instance, from the ideal gas law.
We hope that this article will contribute to better modeling ionized gas behavior within the interstellar medium and, linked to metrics such as the Schwarzschild or Friedmann–Lematre–Robertson–Walker metrics, improve cosmology understanding.
The price to pay for achieving tensor symmetry is the adherence to the Lorenz gauge. Therefore, it is tempting to consider the Lorenz gauge as a fifth equation of electromagnetism that would complement the four Maxwell’s equations.
Notation
The Greek indices take the values 0, 1, 2, 3, while the Latin indices range from 1 to 3.
The main symbols used in this paper are summarized in the following table.


References
- Weinberg, S. (1972). Gravitation and Cosmology, Ch. 16, p 619-631.
- Landau, L. D. (Ed.). (2013). The classical theory of fields (Vol. 2). Elsevier.
- Landau, L. D., & Lifshitz, E. M. (1987). Fluid Mechanics: Volume 6 (Vol. 6). Elsevier.
- Barrau, A. & Grain, J. (2011). Relativit gnrale Ch. 5.
- Belinfante, F. J. (1940). On the current and the density of the electric charge, the energy, the linear momentum and the angularmomentum of arbitrary fields. Physica, 7(5), 449-474.
- Collin, S. (2024). Tensor Lorentz Force Representation Yields a New Electromagnetic CanonicalEnergy-MomentumTensor.

