Research Article - (2025) Volume 8, Issue 3
Supreme Theory of Everything: The Contribution of Hysteresis in Information Theory
Received Date: May 05, 2025 / Accepted Date: Jul 29, 2025 / Published Date: Sep 05, 2025
Copyright: ©2025 Ulaanbaatar Tardad. This is an open-access article distributed under the terms of the Creative Commons Attribution License, which permits unrestricted use, distribution, and reproduction in any medium, provided the original author and source are credited.
Citation: Ulaanbaatar, T. (2025). Supreme Theory of Everything: The Contribution of Hysteresis in Information Theory. Adv Theo Comp Phy, 8(3), 01-21.
Abstract
Could there be a trigonometric law in physics that describes everything from elementary particles that exhibit wave-particle duality to the accelerating universe, from quantum physics to cosmology? If so, it could be the only hysteresis that can transmit mass, energy, and information throughout the universe. In information theory, the nature and principle of the bridge between 0 and 1 are more important than the two states. This elastic form of hysteresis information distribution is the cumulative distribution (CD), defined by the ratio of the semi-major axis and the semi-minor axis of the ellipse in the cylinder. Hysteresis encompasses negentropy, entropy, and memory; however, it differs in that it lacks arbitrary constants and a direct sense of space-time. Second, hysteresis has the black and white singularities, which are analogous to the "spin up" and "spin down" of the electron. Under the influence of the black singularity, all physical phenomena, including the dominant events of the biosphere, occur at temperatures below 2000 K. Furthermore, near 0 Kelvin temperature, many unusual properties, such as zero entropy, diamagnetism, superconductivity, superfluidity, magnetic levitation, Meissner effect, and Bose-Einstein condensate have been registered. In other words, the hysteresis has everything you're interested in. Therefore, if the information of the black singularity is not included in information theory, more than 50% of the important information and some vital parts of the information will be lost completely. After the wormhole, the black singularity, similar to the Bell state and ER-ERP pairs, becomes a white singularity or connects alternatively to the white singularities in the external universes, thereby forming a parallel world. Thus, a famous black hole transforms into a white hole, and information could be transmitted throughout the universe.
In this paper, the following items are described brand-newly by the hysteresis law:
• The circle scale,
• The Modified Fermi-Dirac function showing the Cumulative Distribution Function of the information,
• Relationship between the cosine and sine axes of a circle: ratio and division operation,
• The possibility of defining the spiritual state in science,
• The forms of polarization,
• Entanglement,
• Teleportation, and
• Many worlds interpretation.
Introduction
The year 2025 marks the 100th anniversary of the birth of quantum mechanics. In the century since the field’s inception, scientists and engineers have used quantum mechanics to create technologies such as lasers, MRI scanners, and computer chips. Today, researchers are looking toward building quantum computers and ways to securely transfer information using a new sister field called quantum information science. But despite creating all these breakthrough technologies, physicists and philosophers who study quantum mechanics still haven’t come up with the answers to some big questions raised by the field’s founders (William, https:// theconversation.com).
A classical bit produces a binary response to only one query, a 1 or a 0. The qubit produces a binary response to infinitely many queries using the property of quantum superposition. This property allows researchers to connect multiple qubits in what’s called a quantum entangled state. Here, the entangled qubits act collectively in a way that arrays of classical bits cannot. That means a quantum computer can do some calculations much faster than an ordinary computer. But the exact force or principle of nature responsible for this quantum-entangled state that underlies quantum computing is a big unanswered question (William, https://phys.org/news).
A qubit is a two-dimensional quantum-mechanical system (or two-dimensional system), one of the simplest quantum systems that reflects the rarity of quantum mechanics. Examples include electron rotation, where two levels can be considered as spin up and spin down, or the polarization of a single photon, in which two regions can be considered as direct polarization and horizontal polarization. Quantum mechanics allows qubits to occupy a high degree of coherence for both regions, simultaneously, a basic position in quantum mechanics and quantum computing. To create a qubit, an object capable of achieving quantum superposition between two states is required. One type of qubit is an atomic nucleus. The orientation of its magnetic moment, that is, its "spin", can point in different directions concerning a magnetic field, such as up or down. The difficulty is in locating and then dealing with that solitary atom (Qubit, Devopedia.org). It is so difficult to use in a real study. Instead, the theoretical manner is more progressive. According to our study, the principle of nature responsible for the quantum entangled state that underlies quantum computing is hysteresis, which lies in the quantum superposition between the two states of the qubit. We can see that the hysteresis formula can directly describe a purely natural phenomenon.
In my opinion, superposition and entanglement are natural phenomena that are always with us, even though we don't feel them in our daily lives, and are not a "spooky action at a distance".
The hysteresis theory has possibility to study the distribution of mass, energy and information can be studied through because everything is explained by geometry, especially trigonometry. In other words, this theory can be solved exactly any problem with mathematical tools, so there is no need to use differential and integral calculus, probability theory, statistics, etc. Moreover, no approximations, computer simulations, correlations, or regressions were used. The hysteresis formula can directly describe a purely natural phenomenon.
The relationship between the two axes of an ellipse can determine the basis of most natural laws including information theory. The sum of the squares of the sine and cosine axes of an ellipse is not only its formula but also defines its geometric structure, while the ratio of the axes expresses motion, force, energy, momentum, amplitude, physical properties, being, and spiritual states. In general, it seems that physics needs such dynamic, living equations and formulas. The conclusions that can be drawn from first-order and second-order differential equations are also not suitable for information theory.
In mathematics, the undefined ratio such as 1/0 happens frequently. However, we can use it without renormalization here because the eigenfunction of the division operation is the ratio. Let's explain this with another example. If the answers of the eccentricity of an ellipse are 1 or 0 by the binary system, it means only its aphelion and perihelion of the ellipse. Unfortunately, the other radial trajectories were lost.
Today, we live in a big chaos of information. On the other hand, the human mind is somewhat confused. Since artificial intelligence was created under such preconditions, and is developing rapidly. In this critical time, physicists and information theorists are necessary to develop new methodologies of information theory and provide artificial intelligence with accurate information.
Qubit in Cylindrical Section as a Fundamental in Information Theory
Dependencies of the Sine and Cosine Axes of the Circle, Ellipse, and Qubit
In quantum computing, the information is encoded in qubits. A qubit is a two-level quantum system where the two basis qubit states are usually written as |0〉 and |1〉.
The two basis states (or vectors) are commonly expressed as 0 and 1 (pronounced ‘ket 0’ and ‘ket 1’), as this corresponds to the standard bra-ket nomenclature for quantum states. As a result, a qubit can be viewed as a quantum mechanical counterpart of a traditional data bit. A linear quantum superposition of those two states is a pure qubit state. Each qubit can be represented as a linear combination of 0 and 1 in this way: where α and β are the amplitudes of complex probability. α and β are equal to the equation:
|α|2 + |β|2 = 1 (1)
(Qubit, devopedia.org; Introduction to Principles…, medium.com)
The sine and cosine axes of the circle, ellipse, and qubit play of important role in hysteretic information distribution. Let’s look at the circles, ellipses, and qubits in more detail, as they contain information secrets.
Formula of the Circle
Circles are formulated in various ways depending on their purpose. Based on the circle, Euler L. explained the imaginary number by vector analysis.
The present formulations of the circle are the next: i) The first formula, used in trigonometry and also called the Euler identity (Figure 1).
Figure 1: Euler’s Formula Shown on the Right Corner of the Circle.
Euler has determined by adding vectors (real and imaginary numbers) (Euler’s formula, britannica.com).
eix = cosθ + i sin θ (2)
Here e is the base of the natural logarithm and i is the square root of −1 (imaginary number). The present formal scientific description of a circle, we know, is connected with a coordinate system (Equation 3 and Figure 2).
(x - a)2 + (y - b)2 = r2 (3)
Figure 2: Equation of a Circle.
(https://www.onlinemathlearning.com...)
iii) Our path differs, it is the law of hysteresis.We get a circle equation of hysteresis (Equation 4 and Figure 3) of the following form:
φ + cos2 φ = 1 (4)
Here 1 is the radius of a unit circle and φ is the angle of the circle oscillating from 00 to 3600, which is a real number measured in radians.
Figure 3: The Formula of the Unit Circle.
(Ulaanbaatar, 2021c)
On the other hand, 1 is a number that can represent all radii (Equation 5). This amazing trigonometric equation that can represent the unit circle is a mathematical beauty that has been with us since elementary school. The amplitude relationship of the sine and cosine functions on the axis is similar to the amplitude of the complex probability shown in Figure 1. Hence, the radius of circle is independent on the degree (φ) of circle
sin2 φ + cos2 φ = r2 (5)
Here r is the radius of a circle.
Another remarkable property of the circle and ellipse is the ratio of the axes, which will be discussed in the next Subsection.
Circle Scale at First
Before starting this section, we need to clarify the issue of scale.
Because the abbreviation of the logarithmic scale is not sufficient for modern cosmology, particle physics, and information theory. Therefore, we show here a new circular scale with high abbreviation.
The logarithmic scale is a method for indicating substantial data or numbers compactly on a graph (Stephen Baraka, 2023). However, the logarithmic scale used in the horizontal axis of the Hertzsprung-Russell diagram cannot fully and correctly represent:
• Cosmological processes occurring at temperatures above 50,000 K,
• Ordinary physical phenomena happening at temperatures below 2000 Kelvin, and
• Elementary particle processes occurring near 0 Kelvin (Figure 4)
(Ulaanbaatar, 2018a; 2018b; 2018c; 2018d; 2019a; 2020; 2021b; 2022c; 2022d; 2024).
Figure 4: The Total Temperature Scale in Logarithms
(Ulaanbaatar, 2019a; 2021b; 2022c; 2023b)
The plot of HRD only covers the data of measurements made on stars.
The circle scale projecting on cosine axis is written by Equation 35 in Subsection 3.1.2. It is a superposition of the circle seen from the other side between 270 and 90 degrees (Figure 5).

Figure 5: The Total Temperature Scale in the Circle Scale
Based on Figure 3 the deviation of circle scale is described by the next equation:
f(φ) = sin (φ) - sin (φ - 1) (6)
Here f(φ) is the projection scale on diameter, x is a degree of the circle.
It is displayed the scale condensing in Figures 6 and 7, and horizontal projection on the cosine axis in Figure 8.
Figure 6: Scale Condensing by Angle.

Figure 7: Circle Projection Scale on the Horizontal Diameter.
Now, this scale can properly represent the entire temperature range. The circle scale we sought is shown in Figure 7.

Figure 8: The Circle Angles (Above) and Its Projection on the Cosine Axis.
The angles between 2700 and 900 hide invisibly under the superposition of the circle (Figure 8). I would like to call this projection the circle scale. We will use the circle scale in this article.
Formula of the Ellipse
To determine the formula for an ellipse, a cylindrical coordinate system is used, which consists of the semi-major axis (a) and semi- minor axis (b) of the ellipse, the angle on the circle (φ) and the angle between the ellipse and the circle (β) (Figure 9).
In Figure 7 the radius of the core cylinder r equals α and β is the angle of the ellipse relative to the base circle, h is the amplitude of the sine wave, 2πr is the period of the sine wave and φ is the angle on the circle (Equations 7 and 8) (MM Al-Fahmi, www. sciencedirect.com; Ulaanbaatar, 2021c; 2024).

Figure 9: The b-b Axis is called the “Circle Scale,” Showing the Cross-Section of the Cylinder.

Based on Figure 9, we have formulated brand-newly non-Keplerian orbital laws in astronomy and celestial mechanics (Equation 24), which is a new achievement but was left out because it is irrelevant to our purpose in this paper.
Formula of the Qubit
Every equator of the sphere is equal to a circle. So, the qubit consists of a set of myriad circles and has three spherical coordinates (φ, θ, r). According to hysteresis law, the amplitude of complex probability (Equation 1) α corresponds to the sine function and β corresponds to the cosine function.

Therefore, from Equations 1 and 4, the formula of a qubit may be written in the following form:

Equation 27 indicates that the functions of complex probability become real trigonometrical functions in a circle.
Figure 10: Spherical Coordinates of a Qubit.
When the light beam moves from air into glass, the light slows down upon entering the glass, and its path is bent toward the normal. The refracted ray is bent toward the normal because v2 < v1. All rays and the normal line are in the same plane. The angle of refraction in Figure 10, β does not denote the eccentricity because qubits has no eccentricity. All the fundamental circles (equators) of the qubit are the same.
Formula Derivations of Hysteresis.
If a mathematical method had not been found to open closed hysteresis loops, information theory would have consisted only of probability theory and statistical methods.
Another method that can be used in information theory is opened hysteresis in 2018 (Ulaanbaatar, 2018a; 2018b; 2018c; 2018d).
As a result of the Supreme Theory of Everything, two methods were developed to open hysteresis: the hysteresis from light refraction and hysteresis from trigonometric ratios in a circle.
Formula Extractions to Demystify the Secrets of Hysteresis
Formula Extraction of the Hysteresis from Light Refraction
As light travels from one medium to another, its frequency does not change, but its wavelength does.

This expression gives λ1 n1 = λ2n2
If medium 1 is vacuum or, for all practical purposes, air, its refraction index, then n1 = 1.
Fermat’s principle leads to Snell’s law; when the sines of the angles in the different media are in the same proportion as the propagation velocities, the time to get from A point of beginning to end is minimized.
Light Passing through a Slab and to Everything Formula
A light beam passes from medium 1 to medium 2, the latter medium being a thick slab of material whose index of refraction is n2 (Figure 11).
Figure 11: Offset Distance of a Transmitted Ray across a Slab
(Ulaanbaatar, 2019b; 2022b)
When light passes through a flat slab of material, the emerging beam is parallel to the incident beam. Therefore, θ1 = θ2. The dashed line drawn parallel to the ray coming out of the bottom of the slab determines the path the light would take if the slab were not there.
Show that the beam emerging into medium 1 from the other side is parallel to the incident beam.
Apply Snell’s law of refraction to the upper surface:

Equation 29 shows us that the highest refraction index leads to lower wavelength and velocity.
Apply Snell’s law to the lower surface:

Therefore, θ3 = θ1 and the slab does not alter the direction of the beam. It does, however, offset the beam parallel to itself by the distance d shown in Figure 11. Consider the region of the light path within the slab. The distance a is the hypotenuse of two right triangles.
Find an expression for a from the gold triangle:

If from the blue triangle in Figure 11 we find an expression for d:

Combine these equations:

In mathematics, a real number is a value of a continuous quantity that can represent a distance along a line (or a quantity that can be represented as an infinite decimal expansion).
There are no negative distances or negative fields, so the denominator of Equation 30 must be written in absolute value (The real number, wikipedia.org). Only space is absolute, others are relative.
The refraction light is positive; due to that, it is only a period. So,the offset distance d is:

Here t is the thickness of the flat slab. (Ulaanbaatar, 2019b; 2021d; 2021e; 2022b).

Figure 12: Algorithm for the Opening of Ferromagnetic Hysteresis (Ulaanbaatar 2021d),
a) Traditional Hysteresis, b) Reverse Hysteresis, c) Left Open Hysteresis d) Right Open Hysteresis
From Equation 34, we can see the offset distance of light (d) in a medium. It is the formula of hysteresis.
Formula Derivation of the Hysteresis from the Semi- Major and Semi-Minor Axes in a Circle
Let's consider another formula extraction for the hysteresis. Equation 35 shows the division of both functions: sin φ and cos φ.
According to the trigonometric method, we can determine the scale of circle projection on the horizontal and vertical axes in the following form:
To simplify our understanding of hysteresis, we use φ instead of θ2,and u in place of θ1 published in (Ulaanbaatar, 2021c).
From Figure 3, the next equation has been derived:

It is the second formula extraction for open the closed hysteresis. The results of the first and second methods are same each other (Formulas 33 and 35).
Hysteresis Role in Information Transmission
Conventional Theory of Information Distribution
Ludwig Boltzmann formulated a statistical definition of entropy (S) given by

Boltzmann, L., (1910); Boltzmann's entropy formula, https:// en.wikipedia.org)
For a random variable X with finite alphabet X and probability distribution P, its Shannon entropy is defined as

Since its first definition in 1948, Equations 36 and 37 have become the physical basis for explaining many phenomena. (Entropy (information theory, Entropy, https://en.wikipedia); Shannon, 1948).
Boltzmann entropy and Shannon entropy defined the CDF exponential distribution function (Figures 13 and 14).
In conclusion, we processed two formulas of the hysteresis in different ways, but the results were the same.
Figure 13: Exponential Distribution
(Logarithms, https://clearlyexplained.com)
In Figure 13, logex is Boltzmann’s statistical entropy and log2x is Shannon’s probability distribution (Entropy (information theory, https://en.wikipedia); Shannon, 1948).
We need the CDF for normal distribution, but the Figure 14b should be the fractal half. Another half of the distribution is absent. This is because the exponential function shows the increase and decrease in intensity.
Figure 14: Cumulative Distribution Functions (CDF)
a) for exponential distribution and b) for normal distribution
(Cumulative, Wikipedia; Cumulative Distribution Function, sciencedirect.com)
Also, the CDF is similar to the Fermi-Dirac distribution (Fermi- Dirac Distribution, http://hyperphysics.phy-astr.gsu.edu), but neither can fully represent the information distribution. Because it does not satisfy the condition that it must be periodic, as shown in Equation 35, we developed and used a distribution function called the Modified Fermi-Dirac function (Ulaanbaatar, 2024), or hysteresis distribution, which is consistent with the hysteresis law (Figure 14). Today, we need to seek new methods for the distribution function of information beyond probability theory and statistics.
The Hysteretic Distribution of Information
The formula extraction of the hysteresis is described two times shown in Subsections 3.1.1 and 3.1.2 (Ulaanbaatar, 2019b; 2021c; 2022b) based on which some papers published concerning the nature of hysteresis (Ulaanbaatar, 2022a; 2022d; 2022e; 2022f; 2023a; 2023b; 2023c; 2023d; 2024; 2025). The hysteresis distribution is the one that is most convenient for our purposes. It is the law of the (open) hysteresis as follows in Equation 38, and Figure 15:

Where e is the eccentricity of the ellipse
It is also described as a cumulative distribution function by different eccentricities (Figure 15).
Figure 15: Cumulative Distributions for Different Eccentricities in the Result of Hysteretic Distribution
(Cumulative, Wikipedia and Modified Fermi-Dirac Distribution
(Ulaanbaatar, 2023a; 2023c; 2023d))

Figure 16: The Cumulative Distribution of the Information with Different Eccentricities in the Cylinder Coordinate System
a) Ellipse Locations and b) Their Appropriate Cumulative Distributions Red Colored
It appears as if something (the red curves in Figure 16b) is flying away from the planes of the ellipse's eccentricities. Is it the spiritual? Is there a way to express spirit mathematically? Yes, it is possible if we clarify the concepts of ratio vs division.
Comparing two quantities is a ratio and it is not division at all. However, the division is so-called undefined in mathematics, but can express spiritual of the something (Formula 39).

On the other hand, an example of spiritual is the superposition phenomenon, where the cross-sections of a cylinder appear to overlap when viewed from the side (Figure 16). Therefore, the circle scale is always in superposition. So, we cannot see the past or the future. A second example of spiritual is the entanglement shown in Section 3.
Figure 17: Cumulative Distribution Function
a) In a Unit Circle and b) In a Cylinder
Note: The negative value in the vertical axis means the logarithm of a positive number to the negative power. Because there are black and white singularities in hysteresis, they exhibit positive and negative values. Black singularities retain many unique properties, including superconductivity (Ulaanbaatar, 2023c; 2023d; 2024). The black singularity exhibits the same properties as the Van Hobe singularity (Quantum, 2023). Santos and his collaborators uncovered a mechanism that would allow these dancing-wave states of superconductivity to arise from Van Hove singularities (Pedro Castro et al, Emergence of …; Carol Clark, phys.org/news).
The red curve in Figure 17a is similar to the CD in probability theory and statistics (Cumulative, Wikipedia; Cumulative, www. sciencedirect.com). φ in the horizontal axis in Figure 17a is a circle’s angle shown in Figure 17b. There are uncountable CD curves in a cylinder.
Quantum computing is a rapidly emerging technology that harnesses the laws of quantum mechanics, such as entanglement and superposition, to perform computation or solve problems (Quantum, 2023).
According to the hysteresis law, one very important factor in the information distribution is the angle of polarization (u) on the planes of the circle and ellipse. If the circle and ellipse have no polarizations, hysteresis does not exist.
The results obtained from hysteresis theory agree well with the results of the cumulative distribution function of the normal distribution of probability theory and mathematical statistics. So, the term "cumulative distribution" is more familiar to researchers, so we decided to use it. However, its formulation is derived from hysteresis theory and should be understood as a result of hysteresis.
The definitions of circles and ellipses given in the previous sections are strictly geometric expressions of their position and motion, and they represent a silent, dark, and obscure existence. There is no force, energy, momentum, amplitude, or physical basis to represent existence here. We need a powerful, dynamic formula. Mathematically, these are correct, but something is missing here. We do not see the possibility of connecting it to information theory. In other words, we need a living, spiritual formula representing the values in between, not a binary solution of 0 and 1 (or ON and OFF).
So, I would like to say that the hysteresis theory can fully supply our needs, especially for quantum computing. The main reason for the physical importance of hysteresis is that it brings intelligence, movement, and development to elliptical geometry.
The main requirements here are, first, that the hysteresis itself must be polarized so that it is a true hysteresis; second, that the horizontal axis of Figure 17b must be a circle viewed from the side so that it is included in the circle scale; and third, that the vertical axis must represent intensity so that it shows the amplitude of the information.
Let’s consider the cumulative distribution function.
Probability theory and statistics have not been used here, but the information distribution is also cumulative. Formula 38 plots the CD by the angle of the circle in the cylinder's cross-section in Figures 17b and 18. It shows that the orbital parameters of the celestial body cannot described by Kepler’s conic section.
Figure 18: Earth in Cylinder of the Solar Wind.
Since the distance between the Sun and the Earth is 149.7 million km, or it is 23,548 times the radius of the Earth (6,370 km), we live in the solar cylinder. For this reason, we should use cylindrical sections instead of conic sections in any calculations involving celestial bodies.
Types of Polarized Hysteresis
When we compare Figure 11 in relation with Figure 19 which displays the light polarization, it shows that a ray of light is polarized when it passes from medium 1 to medium 2.
Figure 19: Polarization by Reflection
Unpolarized light has equal amounts of vertical and horizontal polarization. After interaction with a surface, the vertical components are preferentially absorbed or refracted, leaving the reflected light more horizontally polarized. This is akin to arrows striking on their sides bouncing off, whereas arrows striking on their tips go into the surface (Polarization, https://phys.libretexts. org/Bookshelves...).
This is because light is polarized when it passes from one medium to another. On other words, is that hysteresis law determines also law of the polarization.
Circular Polarization
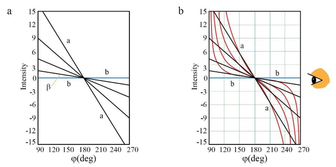
The polarization angle (u) strongly impacts the angle (φ) of the circle. Therefore, the circle is polarized and hysteresis occurs.

Figure 20: Hysteretic Circle (f(φ)) without Polarization (red-colored) and Circular Polarization Blue-Colored (f1(φ)).
We show the difference between the equation of the circle (red) and the polarized circle (blue) in Equation 40 and Figure 20.
Elliptical Polarization
The exact force or principle of nature responsible for this quantum-entangled state that underlies quantum computing is a big unanswered question (William Mark, 2024).
As far as we know, in physics, hysteresis only has memory for information. How is information stored and transmitted? The answer is the polarized hysteresis. The polarization of the ellipse is described in the next form:

Where u is the angle of polarization or phase shift in degrees or the incident angle of the photon, and also denotes the external influence applied energy or force.
Based on Formulas 38, and 39 we can assess the total number of cumulative distributions of information (CD).
• The angle (φ) on a circle ranging from 0° to 360° (Figure 17b) is uncountable.
• Eccentricity (e) changing by angle (\beta) from 00 to 3600 is myriad.
• The phase shift or polarization angle (u) is the same as the angle of a circle (φ). It is infinite.
• If we use the radius of circles (r) showing space, it is changed from 0 to infinity. It is also infinite.
The number of cumulative distribution curves in the cylinder is more uncountable by combining the above items. Moreover, interestingly, some types of hysteretic information are as follows:
Hysteresis includes negentropy, entropy, and memory but has neither arbitrary constants in its formula nor space-time sensitivity. Second, hysteresis has black and white singularities. The black singularity of shows all physical phenomena, and the dominant events of the biosphere occur at temperatures below 2000 K, which absent in the Hertzsprung-Russel Diagram, which shows stars according to their temperature and brightness. Furthermore, near 0 Kelvin temperature, many unusual properties such as zero entropy, diamagnetism, superconductivity, superfluidity, magnetic levitation, Meissner effect, and Bose-Einstein condensate have been registered. The black singularity, the same as the Bell state, ER-ERP pairs after the wormhole can become a white singularity or connect to the white singularities in the external universes forming a parallel world. Thus, the black hole turns into a white hole. The information is transmitted by teleportation in this way.
Summarizing the above results, we suspect that everything maybe holographic. I didn't set out to reach this conclusion; I was only working on a theoretical study of hysteresis, but I am surprised and delighted to have reached this result. This shows that it is possible to view the hologram from a different perspective. This conclusion was reached by Gerard 't Hooft, Leonard Susskind, and John Wheeler through their theoretical research in gauge theory, string theory, and quantum field theory.
The holographic principle proposed by Gerard 't Hooft and Leonard Susskind in the 1990s states that the information content of a volume of space can be described by a theory that operates on its boundary, namely its surface. It is primarily applied to black hole physics and string theory. By information, we mean all data necessary to fully specify the state of the system: positions, momenta, and quantum states of all particles within. John Wheeler proposed the concept of "it from bit," where all physical entities are information-theoretic in origin. In this view, the universe is fundamentally made of bits of information, not material substances. This suggests that most laws of nature might be expressible in terms of information processing rather than traditional physical quantities. It provides a different perspective on reality, where information is seen as more fundamental than matter or energy (Nassam, 2024). First proposed by Gerard 't Hooft, it was given a precise string theoretic interpretation by Leonard Susskind, who combined his ideas with previous ones of 't Hooft and Charles Thorn (Susskind, Leonard, 1995; Charles B., 1991; Susskind, Leonard, 2008).

Figure 21: Open Hysteresis from Elliptical Polarization (u=π⁄1.8)
Left Open Hysteresis; b) Right Open Hysteresis, and c) Closed Hysteresis
According to the hysteresis law, the phase shift (u) simultaneously expresses the polarization ellipse (Figures 21 and 22).
Figure 22: The ellipticity and orientation of the polarization ellipse provide information about the phase shift (δ) between the Ex and Ey components of the electric field. The ellipses shown above result when the peak amplitudes of both components are the same. The direction of the E vector's rotation is indicated by the direction of the arrow on the polarization ellipse (The Polarization Ellipse, www. thorlabs.com). In this article, χ is β and δ is u.
Spherical Polarization
An elliptical distribution with a zero mean and variance in the form αI, where I is the identity matrix, is called a spherical distribution. For spherical distributions, classical results on parameter estimation and hypothesis-testing hold have been extended (Fang, Kai-Tai; Zhang, Yao-Ting, 1990). Similar results hold for linear models (Pedro Castro et al, Emergence of…) and, indeed, also for complicated models (especially for the growth curve model). The analysis of multivariate models uses multilinear algebra (particularly Kronecker products and vectorization) and matrix calculus (Pan, Jianxin; Fang, Kaitai, 2007).
A qubit consists of a myriad of circles. Figure 23 indicates that a qubit's spin-up and spin-down intensities can work actively as an entanglement.
How many circles does one qubit consist of?
The radius of the qubit is equal to the radius of the cross-section of the cylinder, which is a circle called the equator.
Figure 23: A qubit can exist as both a 0 and 1. When the qubit is represented on a sphere, the angles formed by the radius determine the odds of measuring a 0 or 1 (Tom Siegfried, 1992).
In summary, the relationship between an ellipse's semi-major and semi-minor axes is the basis of most laws of nature. Circle and ellipse formulas are defined as sums of squares of sine and cosine functions, while their hysteresis formulas are expressed as ratios of those functions.
This is quantum hysteresis, a major part of quantum computing in information theory, and involves an infinite number of qubits.
Connections of Polarized Hysteresis and Electromagnetism
The magnetic properties of materials are not discrete but inextricably linked. For example, when ferromagnetic and antiferromagnetic properties interact, one weakens, and the other strengthens. This is where the Curie and Néel temperatures appear. When the ferromagnetic and antiferromagnetic are equal, they become paramagnetic (Ulaanbaatar, 2020).
However, the diamagnetic property, which is in the opposite direction to paramagnetic at the hysteresis black singularity, exhibits many interesting magics such as superconductivity, nonohmic resistivity, magnetic levitation, superfluidity, Bose- Einstein condensate, etc. Therefore, if the paramagnetic and diamagnetic black singularities on the vertical axis are not included in the information theory, there is a risk of losing more than 50% of the information (Figure 24).
Figure 24: Exchange Interactions of the Magnetic Properties (Ulaanbaatar, 2020)
Spin-related phenomena and all kinds of magnetic properties are the result of hysteresis.
The Hysteresis in Quantum Computing
What makes Quantum machines so fast is the ability of these Qubits to exist simultaneously in both states 0 and 1, also exhibiting the properties of both states. This property, along with Quantum computers' reliance on naturally occurring quantum-mechanical phenomena – Superposition and Entanglement – provides these machines the ability to perform massively complex calculations with efficiency & accuracy (Faisal Khan, 2019).
Quantum Superposition
Superposition means that an object can be in two states at one time while remaining a single object (Faisal Khan, 2019). Superposition enables the quantum computer's qubits to perform multiple operations simultaneously, making them faster than conventional computers.
If we look along the horizontal axis, or from the side of the circle, we see only superposition (see Figure 16b). Qubits can take the same value simultaneously. This characteristic expands the possibility of parallel calculations. The duration of qubit coherence is used to compare the quality of qubits as it indicates how long a qubit keeps its information and, as a result, determines its lifetime (Qubit, devopedia.org). We can't fully understand the present, let alone the past or the future, because everything is in superposition. The past is a positive angle (u). At the same time, the future is a negative angle (-u) due to Equations 41 and 42. In a broad sense, it is simply a change in the angle of the circle shown in the horizontal axis in Figure 16. Therefore, all events are perceived as happening in the past or future depending on the difference in angle (u). Still, they are all happening simultaneously in the present. Is this a miracle of superposition or a hindrance? However, if you look at the circle on the horizontal axis of Figure 16 along the vertical axis, you will see that there is neither past nor future.
Quantum Entanglement
When two or more particles become entangled, the state of one particle becomes linked with the state of the other(s), regardless of the distance between them. Changes to the state of one particle instantaneously affect the state of the other.
Quantum entanglement is a crucial element in quantum computing algorithms. Entangled qubits in a quantum computer can be manipulated collectively, allowing for the parallel processing of information in a way that classical bits cannot achieve (Quantum, 2023).
In science, it seems important to understand things as they are and to accept them as they are without any external intervention. Therefore, based on Equations (34-35, 38, 40-42) entanglement can be explained in two ways: No-connection-hysteresis and super-long hysteresis.
No-Connection-Hysteresis
Formulas 41-42 showed also that it has neither space nor time. It is the same as the term "no-connection".
In physics, the no-communication theorem (also referred to as the no-signaling principle) is a no-go theorem in quantum information theory. It asserts that during the measurement of an entangled quantum state, it is impossible for one observer to transmit information to another observer, regardless of their spatial separation. This conclusion preserves the principle of causality in quantum mechanics and ensures that information transfer does not violate special relativity by exceeding the speed of light. The theorem is significant because quantum entanglement creates correlations between distant events that might initially appear to enable faster-than-light communication (No-communication, Wikipedia).
Have you noticed something in Equations? The properties and peculiarities of these formulas are that they are independent of space and time. Does the angle contain time or space? No, it's just an angle. However, it is possible to connect space and time by artificial or indirect means.
In astronomy, it is common practice to define distance and time in terms of angles. For example, the position angle (usually abbreviated PA) is the convention for measuring angles in the sky (Position angle, Wikipedia).
The entanglement depends on neither space nor time.
In conclusion, in Figure 7 and Figure 8, there is superposition along the horizontal axis and entanglement along the vertical axis.
According to the law of hysteresis, the black and white extremes of hysteresis are not affected by distance. It doesn't matter about space or time, it's just a structure with two opposite spins. It can be understood as either positive or negative polarity, positive or negative charge, spin-up or spin-down.
Entanglement is a fundamental concept of quantum mechanics that describes a non-classical correlation, or shared quantum state, Bell's theorem asserts that if certain predictions of quantum theory are correct, then our world is non-local. "Non-local" means that there exist interactions between events that are too far apart in space and too close together in time for the events to be connected even by signals moving at the speed of light. (Bell test, Wikipedia. org) …The Geneva 1998 Bell test experiments showed that distance did not destroy the "entanglement" (Bell’s Theorem plato. stanford.edu).
Analyzing the super-long hysteresis is in the next Subsection.
Super-Long Hysteresis Information
and entanglement use all possible distribution forms.
Let's consider the longest hysteresis to understand the cumulative distribution form.

between two or more quantum systems (or quantum particles) even if they are separated by a large distance.
As of 2015, all Bell tests have found that the hypothesis of local hidden variables is inconsistent with the way that physical systems behave (Bell test, Wikipedia; Markoff, Jack, 2015). This unique property was experimentally proven by Bell by the absence of local dependence.
Figure 25: Super-Long Closed Hysteresis
(the black singularity at 270 degrees)
Figure 26: Super-Long Open Hysteresis
(EP=EPR will happen in black singularity at 270 degrees)
The fractional energy (0≤fractional positive energy≤1) of information is contained and transmitted by the black singularity. Therefore, if we leave the black singularity, we will lose half of all the information, especially its significant part.
Suppose the final diameter of the circle that the wormhole should be is 1 centimeter (900 to 4500) in Figure 25. But the length of the black singularity is 5•1050 kilometers. Therefore, the length of the singularity is 5•1055 times greater than the diameter of the wormhole. So, we can imagine now that the total length of a hysteresis with two singularities is 10111 (Ulaanbaatar, 2023c, 2023d, 2024 and in press 2025).
Surprisingly, no matter how much the length of the singularity increases to the scale of the universe or how much the wormhole shrinks to the subatomic scale, the nature of hysteresis is not lost. In other words, it is possible to use hysteresis simultaneously in cosmology and quantum calculations.
The biggest conclusion from this is that the hysteresis formula is not only a superposition formula, but also a formula for entanglement.
Time is a manmade product.
Surprisingly, the Universe is itself a super-long and super-wide hysteresis. The Universe is the biggest information container, transformer, and user.
Theoretical physicists Juan Martín Maldacena at the Institute for Advanced Study in Princeton and Leonard Susskind at Stanford University argue that wormholes are nothing but pairs of black holes entangled together. A proposed mechanism of wormhole generation would be that when a black hole is born, its pair is simultaneously created as well. Moreover, they conjectured that extraordinarily tiny wormholes connected entangled particles such as electrons and photons (New Theory Suggests, 2023).
We have considered space in the previous sections. Is there a concept of time? There isn't either. Thus, hysteresis seems too simple, but it is a fascinating tangle that is independent of space and time. Furthermore, when viewed from the side, the circle is always in superposition. For these reasons, we can understand that the circle and the ellipse are always in superposition and entanglement.
Quantum Teleportation: Bell's states or EPR pairs and Hysteresis Black Singularity
In simple terms, quantum teleportation involves sending information from one place to another using something called "quantum entanglement" (Abhinav Singh, 2024). Entanglement is a basis-independent result of superposition (Sych, Denis, 2009). In quantum information science, Bell's states or EPR pairs are specific quantum states of two qubits that represent the simplest examples of quantum entanglement (Nielsen, Michael A.; Chuang, Isaac L. 2010).
The no-communication theorem establishes conditions under which such transmission is impossible, thus resolving paradoxes like the Einstein-Podolsky-Rosen (EPR) paradox and addressing the violations of local realism observed in Bell's theorem. Specifically, it demonstrates that the failure of local realism does not imply the existence of "spooky action at a distance," a phrase originally coined by Einstein (Bell state, Wikipedia).
In quantum mechanics, there are states with opposite meanings, variously called the positive and negative poles or charges, or spin- up-spin-down states.
Bell's states can be generalized to certain quantum states of multi-qubit systems, such as the GHZ state for three or more subsystems. Understanding Bell's states is useful in analyzing quantum communication, such as superdense coding and quantum teleportation (What is a qubit? quantum-inspire.com; Zaman, Fakhar, 2018).
These mechanisms cannot transmit information faster than the speed of light, a result known as the no-communication theorem (Peres, Asher; Terno, Daniel R. 2004). We are considering the black-white singularity of open hysteresis, similar to the Bell state and EPR pair. The black-white singularities of hysteresis are explained in Figure 24 and Figure 25.
As far as scientists know, mass and energy flow throughout the universe. When asked what physical force drives this continuous flow, they say it is gravity. Gravity is still not fully explained. But hysteresis can fully explain (Ulaanbaatar, 2020; 2023d).
An Einstein–Podolsky–Rosen (EPR) pair is a pair of qubits that are in a maximally entangled state. Due to their perfect quantum correlations, EPR pairs lie at the heart of many important proposals for quantum communication and computation, such as quantum teleportation (Ekert A K 1991: Bennett C H, et al, 1993).
The conjecture was proposed by Leonard Susskind and Juan Maldacena in 2013. They proposed that a wormhole (Einstein– Rosen bridge or ER bridge) is equivalent to a pair of maximally entangled black holes. EPR refers to quantum entanglement (EPR paradox) (Maldacena, Juan; Susskind, Leonard, 1995; 2013; Chris Fields, James F. Glazebrook, 2025, James Glazebrook, Antonino Marcianò, Emanuele Zappala, 2025).
ER = EPR is a conjecture in physics stating that two entangled particles (a so-called Einstein-Podolsky-Rosen or EPR pair) are connected by a wormhole (or Einstein–Rosen bridge) (Staff, 2016; Cowen, Ron, 2015). The singularity gate of hysteresis is the same as a wormhole or EPR bridge (Ulaanbaatar, 2024).
Beyond the wormhole, which becomes the end of a black singularity (black hole), it is possible to connect to a white singularity (white hole) in another universe, as shown in Figure 27 (Ulaanbaatar, 2018a; 2022c; 2023b; 2024).
Singularities from one hysteresis can connect to two opposite singularities from another universe, creating parallel universes. Therefore, every hysteresis has two gates: an entry and an exit. Through these hysteresis gates, mass, energy, and, especially, a lot of information can pass in the universe. It is also the teleportation, entanglement, and superposition for information theory.
Figure 27: Parallel Universes (Ulaanbaatar, 2018a; 2020; 2024)
Conclusion
The main mathematical obstacles that dominate physics are, first, the mathematical definitions that 0/1 is meaningless and 1/0 is undefined (Ulaanbaatar, 2022a), and second, these statements cannot express crucial problems of physics: being, the mystery of existence, the wave-particle duality, the mystery of the mind, and soul, and spiritual realm and everything that physics has not yet touched upon. Third, the logarithms must allow us to express large ranges of numbers in a more manageable form but its condensing is inadequate to describe subatomic particles and cosmic events.
The hysteresis resulting from polarization supplies constant flow of mass, energy, and information in the universe. In quantum the basis preserves the principles of quantum superposition and entanglement. Entanglement principles are no-connection, and super-long hysteresis states. The cumulative distribution of information is an infinite number of next factors within a cylinder, depending on various hysteresis factors such as angle (beta), circular angle (φ), polarization angle (u), circular radius (r), and ellipse deviation (e).
Brand-newly formulated non-Keplerian orbital laws and cosine scales can determine appropriate parameters in astronomy and celestial mechanics.
Logarithms must allow us to express large ranges of numbers in a more manageable form.
References
- Abhinav Singh. (2024). Quantum teleportation now possible over everyday internet cable in huge breakthrough. NDTV Science.
- Bell state. (n.d.). Wikipedia.
- Bell test. (n.d.). Wikipedia.
- Bell’s theorem. (n.d.). Stanford Encyclopedia of Philosophy.
- Bennett, C. H., Brassard, G., Crépeau, C., Jozsa, R., Peres, A., & Wootters, W. K. (1993). Teleporting an unknown quantum state via dual classical and Einstein-Podolsky-Rosen channels. Physical Review Letters, 70(13), 1895–1899.
- Boltzmann, L. (1910). Vorlesungen über die Gastheorie (2nd ed.). J. A. Barth.
- Boltzmann's entropy formula. (n.d.). Wikipedia.
- Clark, C. (2023, August). Physicists open new path to an exotic form of superconductivity. Phys.org.
- Charles, B. (1991). Reformulating string theory with the 1/Nexpansion. arXiv.
- Fields, C., Glazebrook, J. F., Marcianò, A., & Zappala, E. (2025). ER = EPR is an operational theorem. Physics Letters B, 860, 139150.
- Cumulative distribution functions. (n.d.). Wikipedia.
- Cumulative distribution function. (n.d.). ScienceDirect Topics.
- Ekert, A. K. (1991). Quantum cryptography based on Bell’s theorem. Physical Review Letters, 67(6), 661–663.
- Entropy. (n.d.). Wikipedia.
- Entropy (information theory). (n.d.). Wikipedia.
- Equation of a circle. (n.d.). Online Math Learning.
- Faisal Khan. (2019). How is Moore’s law becoming irrelevant in the age of quantum computing? Technicity.
- Fang, K.-T., & Zhang, Y.-T. (1990). Generalized multivariate analysis. Science Press & Springer-Verlag.
- Fermi-Dirac distribution. (n.d.). HyperPhysics.
- Glazebrook, J., Marcianò, A., & Zappala, E. (2025). ER = EPR is an operational theorem. Physics Letters B, 860, 139150.
- Logarithms. (n.d.). Clearly Explained.
- Maldacena, J., & Susskind, L. (2013). Cool horizons for entangled black holes. Fortschritte der Physik, 61(9), 781– 811.
- Markoff, J. (2015, October 21). Sorry, Einstein. Quantum study suggests ‘spooky action’ is real. The New York Times.
- Nassim Haramein. (2024). [Video]. Facebook.
- New theory suggests quantum entanglement and wormholes are linked together. (2023, July). The Sci-Universe.
- Nielsen, M. A., & Chuang, I. L. (2010). Quantum computation and quantum information (10th ed.). Cambridge University Press.
- No-communication theorem. (n.d.). Wikipedia.
- Pan, J., & Fang, K. (2007). Growth curve models and statistical diagnostics (Springer Series in Statistics). Springer.
- Pedro, C., et al. (2023). Emergence of the Chern supermetal and pair-density wave through higher-order Van Hove singularities in the Haldane-Hubbard model. Physical Review Letters, 131, 026601.
- Peres, A., & Terno, D. R. (2004). Quantum information and relativity theory. Reviews of Modern Physics, 76(1), 93–123 .
- Polarization. (n.d.). LibreTexts Physics.
- Position angle. (n.d.). Wikipedia.
- Quantum superposition and entanglement. (2023). RauIAS Compass.
- Qubit. (n.d.). Devopedia.
- Reformulating string theory. (1994). arXiv.
- Shannon, C. E. (1948). A mathematical theory of communication. Bell System Technical Journal, 27(3), 379– 423.
- Staff. (2016). This new equation could unite the two biggesttheories in physics. Futurism.
- Stuckey, W. M. (2024). Quantum information theorists are shedding light on entanglement, one of the spooky mysteries of quantum mechanics. The Conversation.
- Susskind, L. (1995). The world as a hologram. Journal ofMathematical Physics, 36(11), 6377–6396.
- Susskind, L. (2008). The black hole war – My battle with Stephen Hawking to make the world safe for quantum mechanics. Little, Brown and Company.
- Sych, D. (2009). A complete basis of generalized Bell states.New Journal of Physics, 11(1), 013006.
- The polarization ellipse representation of the polarization state. (n.d.). Thorlabs.
- Thorn, C. B. (1991, May 27–31). Reformulating string theory with the 1/N expansion. International A.D. Sakharov Conference on Physics, Moscow, 447–454.
- Siegfried, T. (1992). A quarter century ago, the qubit was born. Science News.
- Ulaanbaatar, T. (2018a). On the singularity to O Kelvin.Scientific Transaction, MUST, 1(228), 50–58.
- Ulaanbaatar, T. (2018b). Supreme theory of everything. In 4th International Conference on Astrophysics and Particle Physics, December 3–5, Holiday Inn Chicago O’Hare, Chicago, USA.
- Ulaanbaatar, T. (2018c). Supreme theory of everything. Conference Abstracts, Conferenceseries LLC Ltd, December 3–5, Chicago, USA.
- Ulaanbaatar, T. (2018d). Supreme theory of everything. Journal of Astrophysics & Aerospace Technology, 6.
- Ulaanbaatar, T. (2019a). Supreme theory of everything. Advances in Theoretical & Computational Physics, 2(2), 1–6.
- Ulaanbaatar, T. (2019b). Formula extraction in supreme theory of everything. Advances in Theoretical & Computational Physics, 2(4), 1–3.
- Ulaanbaatar, T. (2020). Supreme theory of everything: Whole universe in a simple formula. London Journal of Research in Science: Natural and Formal, 20(5), 73–90.
- Ulaanbaatar, T. (2021a). Supreme theory of everything: The open hysteresis in place of inverse-square law. London Journal of Research in Science: Natural and Formal, 21(2), 55–69.
- Ulaanbaatar, T. (2021b). Supreme theory of everything: Theoretical formulation of the spectral density of electromagnetic radiation emitted by a nonblack body. Advances in Theoretical & Computational Physics, 4(2), 191–196.
- Ulaanbaatar, T. (2021c). Supreme theory of everything: Geometric methods for the complex analysis. Journal of Current Trends in Physics Research and Applications, 2(1), 1–7.
- Ulaanbaatar, T., Jargalan, N., Batgerel, B., & Sangaa, D. (2021d). A new possibility to open hysteresis. Scientific Transactions, Institute of Physics and Technology, Mongolian Academy of Sciences, 47, 116–125.
- Ulaanbaatar, T., Narmandakh, J., Baltin, B., & Sangaa, D. (2021e). Supreme theory of everything: A new possibility to open the hysteresis. London Journal of Research in Computer Science and Technology, 21(1).
- Ulaanbaatar, T. (2022a). Back to the fundamental principles of arithmetic. Advances in Theoretical & Computational Physics, 5(1), 356–361.
- Ulaanbaatar, T. (2022b). Formula extraction of open hysteresis in supreme theory of everything. New Trends in Physical Science Research, 1(11), 117–122.
- Ulaanbaatar, T. (2022c). Supreme theory of everything. In Research Highlights in Mathematics and Computer Science. B P International.
- Ulaanbaatar, T. (2022d). Supreme theory of everything. In New Frontiers in Physical Science Research Vol. 6. B P International.
- Ulaanbaatar, T. (2022e). A new concept of the photoelectric effect. London Journal of Research in Science: Natural and Formal, 22(14), 1–12.
- Ulaanbaatar, T. (2022f). Supreme theory of everything: Special theory of relativity was lost from the beginning. Journal of Applied Mathematics and Physics, 10(12).
- Ulaanbaatar, T. (2023a). Supreme theory of everything: It is time to discuss Hubble's law. London Journal of Research in Science: Natural and Formal, 23(1), 21–29.
- Ulaanbaatar, T. (2023b). Supreme theory of everything: A descriptive study. In New Frontiers in Physical Science Research Vol. 6 (pp. 53–69).
- Ulaanbaatar, T., Deleg, S., & Chuluunbaatar, A. (2023c). Supreme theory of everything: Superconductivity and nonohmic resistivity in a negative singularity of the open hysteresis. Nano Technology & Nano Science Journal, 5(149), 341–352.
- Ulaanbaatar, T. (2023d). Supreme theory of everything: The fundamental forces in quantum hysteresis. Journal of Applied Mathematics and Physics, 11, 3274–3285.
- Ulaanbaatar, T. (2024). Supreme theory of everything: Deep mysteries of thermodynamics. Applied Physics Research, 16(1), 155–179.
- Ulaanbaatar, T. (2025). Imaginary numbers: An absurd starting point or a mathematical necessity? London Journal of Research in Science: Natural & Formal, 25(1), 43–46.
- What is a qubit? (n.d.). Quantum Inspire.
- William. (n.d.). Phys.org.
- William. (n.d.). The Conversation.
- Zaman, F., & Jeong, Y. (2018). Counterfactual Bell-state analysis. Scientific Reports, 8(1), 14641.
