Research Article - (2025) Volume 5, Issue 2
Stability or Instability of a Static Meniscus Appearing in Ribbon Single Crystal Growth from Melt using E.F.G. Method
2Department13, Victor Babes University of Medicine and Pharmacy Timisoara, Eftimie Murgu Nr.2, 300041, Romania
Received Date: Apr 18, 2025 / Accepted Date: May 05, 2025 / Published Date: May 19, 2025
Copyright: ©©2025 Stefan Balint, et al. This is an open-access article distributed under the terms of the Creative Commons Attribution License, which permits unrestricted use, distribution, and reproduction in any medium, provided the original author and source are credited.
Citation: Cojocaru, A. V., Tanasie, A., Balint, S., Laitin, S. M. D. (2025). Stability or Instability of a Static Meniscus Appearing in Ribbon Single Crystal Growth from Melt using E.F.G. Method. J Sen Net Data Comm, 5(2), 01-11.
Abstract
This study presents necessary conditions for the existence and sufficient conditions for the stability or instability of the static meniscus (liquid bridge) appearing in the ribbon single crystal growth from the melt, of predetermined sizes, by using the edge-defined-film- fed (EFG) growth method. The cases when the contact angle and the growth angle verify the inequality 0 < αc < π/2 -αg or π/2 > αc > π/2-αg are treated separately. Experimentally, only static meniscus (liquid bridges) which verifies the necessary condition of existence and the sufficient conditions of stability can be created; static meniscus (liquid bridges) which does not verify both of these conditions, exist only in theory because in reality they collapses. The results of this study is significant for thin ribbon single crystal growth from melt, with prior given macroscopic dimensions, using prior given specific equipment. That is because the obtained inequalities represent limits for what can and cannot be achieved experimentally.
Keywords
Static Stability, Meniscus, Ribbon Growth, Edge-Defined-Film-Fed-Growth
Introduction
The basic growth methods available for crystal growth are broadly; growth from the melt, growth from vapor, and growth from solution. Modern engineering does not only need single crystals of arbitrary shapes but also plates-, rod and tube-shaped single crystals, i.e. single crystals of shapes that allow one to use them as final products without additional machining. This problem appears to be solved by profiled- container crystallization as in the case of casting. However, this solution is not always acceptable. Container material needs to satisfy a certain set of requirements: should be neither react with the melt nor be wetted by it, it should be of high-temperature and aggressive-medium resistant, etc. Even if all these requirements are satisfied perfect –single crystal growth is not secured and growing very thin plate-shaped single crystals, to say nothing of shapes that are more complicated, excludes container application completely. The Springer Handbook of Crystal Growth present on 1816 pages the state of the art in crystal growth until the years 2010 [1]. In Chapter 40 pg. 1379-1402 of this book the authors Th. George, St. Balint, L. Braescu presents several mathematical models describing processes, which take place in case of crystal growth from the melt by Bridgman-Stock Barger (BC) and by Edge-Defined-Film-Fed –Growth (EFG) method. For BC growth of cylindrical ba see Figure.1.1 for ribbon (thin plate) growth by EFG method see Figures 1.2 ,1.3.

In case of the BS method, the melt is encapsulated in a crucible and the crystallization of the melt takes place in conditions of permanent contact between the melt and the crystal with the inner wall of the crucible. A significant advantage of the EFG method in comparison with respect to the BS method is that the crystal is grown without interaction with the crucible, which considerably improves the structural quality of the material: less residual stresses, dislocations, spurious nucleation or twins. In case of EFG method, there is a liquid bridge between the crystal and the shaper (die), called meniscus. The melt is in a crucible, from which it flows through a capillary chanel onto the surface of the shaper Figure 1.2. Figure 1.3. Hear a liquid bridge is formed between the shaper surface and the crystal. The crystallization takes place on the so “called crystallization front” which is the border line between the upper part of the liquid bridge and the bottom of the crystal. In the second section of this paper a short mathematical description of the real problem is given. Along with the equations, boundary conditions, and initial values defining the model are presented. In the third section in the framework of the mathematical model, predictions are made concerning the stability and instability of convex meniscus. In the fourth section in the framework of the same mathematical model, predictions are made concerning the stability and instability of concave meniscus. These predictions are made analyzing the static stability or instability of meniscus with theoretical tools presented in [2]. In the fifth section we discuss the problem what is wanted and wat can be done.
Mathematical Description of Meniscus Free Surface
The free surface of the static meniscus, in single crystal growth by EFG method, in hydrostatic approximation is described by the Young- Laplace capillary equation [3,4]:

Pa is the pressure above the free surface, equal to the pressure of the gas flow introduced in the furnace for release the heat and thereafter is denoted by pg (Pa = pg) .The pressure Pm under the free surface is the sum of the hydrodynamic pressure in the meniscus melt (due to the thermal convection) and the hydrostatic pressure of the melt column equal to - ðÂÃÃÃÃÃÃÃÃÃÃÃÂ???????????ÂÃÃÃÃÃÃÃÃÃÃÂ??????????ÂÃÃÃÃÃÃÃÃÃÂ?????????ÂÃÃÃÃÃÃÃÃÂ????????ÂÃÃÃÃÃÃÃÂ???????ÂÃÃÃÃÃÃÂ??????ÂÃÃÃÃÃÂ?????ÂÃÃÃÃÂ????ÂÃÃÃÂ???ÂÃÃÂ??ÂÃÂ?ÂÂ?? × g ×(z + H) (see Figure 1.2, Figure.1.3). Here:
ðÂÃÃÃÃÃÃÃÃÃÃÃÂ???????????ÂÃÃÃÃÃÃÃÃÃÃÂ??????????ÂÃÃÃÃÃÃÃÃÃÂ?????????ÂÃÃÃÃÃÃÃÃÂ????????ÂÃÃÃÃÃÃÃÂ???????ÂÃÃÃÃÃÃÂ??????ÂÃÃÃÃÃÂ?????ÂÃÃÃÃÂ????ÂÃÃÃÂ???ÂÃÃÂ??ÂÃÂ?ÂÂ?? denotes the melt density; g is the gravity acceleration; z is the coordinate of M with respect to the Oz axis, directed vertically upwards; H denotes the melt column height between the horizontal crucible melt level and the shaper top level. H is positive when the crucible melt level is under the shaper top level and it is negative when the shaper top level is under the crucible melt level.
The pressure difference Pa − Pm across the free surface is Pa − Pm = pg − pm + p × g ×(z + H) = p × g × z − ( pm − pg − p × g × H ) = p × g

To calculate the meniscus surface shape and size in hydrostatic approximation is convenient to employ the Young–Laplace equation (2.2) in its differential form:
Stability or Instability of a Convex Meniscus








Stability or Instability of Concave Meniscus





Results
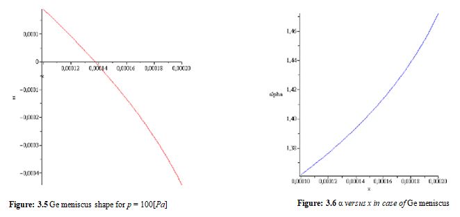
Necessary conditions for the existence and sufficient conditions for the stability or instability of the static meniscus (liquid bridge) appearing in the ribbon single crystal growth from the melt, of predetermined sizes, by using the edge-defined-film- fed (EFG) growth method, are presented. Theoretical results are illustrated numerically in case of Germanium ribbon growth.
Comments and Conclusions
The main novelty in this article consists in the obtained inequalities. These represent limits for what can and cannot be achieved. Experimentally, only stable static liquid bridges can be created if they exist theoretically. Unstable static liquid bridges could exist just in theory; in reality, they collapse; therefore, they are not appropriate for crystal growth [6,7].
Authors contribution: The authors contributed equally to the realization of this work. All authors have read and agreed to the published version of the manuscript.
Funding: This research did not receive any specific grant from funding agencies in the public, commercial or not-for-profit sectors.
Data Availability Statement: The original contributions presented in the study are included in the article; further inquiries can be directed to the corresponding author.
Conflicts of Interest: The authors declare no conflicts of interest.
References
1. Springer Handbook of Crystal Growth; ISBN:978-3-540-74761-1.
2. Cojocaru, A. V., & Balint, S. (2024). Stability or Instability of a Static Liquid Bridge Appearing in Shaped Crystal Growth from Melt via the Pulling-Down Method. Fluids, 9(8), 176.
3. Finn, R. (2012). Equilibrium capillary surfaces (Vol. 284). Springer Science & Business Media.
4. V. A. Tatarchenko. (1993) Shaped Crystal Growth, Kluwer Academic Publishers, Dordrecht, The Netherlands.
5. Hartman, P. (2002). Ordinary differential equations. Society for Industrial and Applied Mathematics.
6. Balint, S., Balint, A. M., & Szabo, R. (2010). Nonlinear boundary value problem for concave capillary surfaces occurring in single crystal ribbon growth from the melt. Nonlinear Studies, 17(1), 65-76.
7. Balint, S., & Balint, A. M. (2008). Nonlinear Boundary Value Problem for Concave Capillary Surfaces Occurring in Single Crystal Rod Growth from the Melt. Journal of Inequalities and Applications, 2008, 1-13.

