Research Article - (2025) Volume 8, Issue 3
Relativistic Thermodynamics Applied to Cosmic Matter near Big-Bang Times
2Deutsches Zentrum f. Luft- und Raumfahrt (DLR), K¨onigswinterer Strasse 522-524, 53227 Bonn, Germany
Received Date: May 05, 2025 / Accepted Date: Jun 24, 2025 / Published Date: Jul 02, 2025
Copyright: ©2025 Hans J. Fahr, et al. This is an open-access article distributed under the terms of the Creative Commons Attribution License, which permits unrestricted use, distribution, and reproduction in any medium, provided the original author and source are credited.
Citation: Fahr, H. J., Heyl, M. (2025). Relativistic Thermodynamics Applied to Cosmic Matter near Big-Bang Times. Adv Theo Comp Phy, 8(3), 01-06.
Abstract
In this paper, we study the situation of cosmic matter near the suspected matter singularity, i.e. at the beginning of the Hubble expansion of the universe. It turns out that this universe, if it starts from a matter singularity, must have started from cosmic gas phases of very high densities and extremely hot temperatures. To correctly describe the dynamics of these early cosmic gas phases, it is necessary to use a so-called relativistic thermodynamics, which can handle temperatures of the order of kT ∝ m0 c2 , when further energy input does only marginally increase particle velocities, but mainly increases particle masses.
These “kinetic masses” increase not only the mass of the universe but also the cosmic gravitational field and need to be taken into account, when deriving the finally resulting, consistent cosmic scale dynamics. This consistency is what we aim at in this article developing a relativistic thermodynamics that takes into account kinetic parts of cosmic masses to describe the actually resulting cosmic gravitational field and the ongoing cosmic scale dynamics. As we can show the ”Big-Bang” explosion of a matter-involving singularity is very unlikely, and if at all, is only possible under very restricting boundary conditions and with an openness for new physical ingredients like vacuum energy.
An Attempt of a Physical Closure of this Cosmic Problem
Perhaps one could hope that the needed essential binding of the physically relevant quantities can be derived from an additional cosmic boundary condition which dominates the universe - like a special restriction that this relativistic universe may be subject to - eventually in the form of a specific existence condition - like for example the condition of being an “economical universe” as the one discussed by Overduin and Fahr (2001, 2003) [12,13]. Such a universe is characterized by the condition of its vanishing total energy, i.e. a full compensation of all positive energies by negative energies like cosmic binding energies.
The first ideas along these lines that the universe in fact could be nothing else but a vacuum fluctuation go back to Brout, Englert and Gunzig (1978), to Vilenkin (1982), and to Tryon (1973) [14-16]. Instead of treating the whole universe as a quantum mechanical vacuum fluctuation, Rosen (1994) and Cooperstock and Israelit (1995) looked into solutions for universes with vanishing total energies, an idea which then later was picked up and further prosecuted by Overduin and Fahr (2001, 2003) who formulated that a universe in fact may be chatracterized by a vanishing total energy, as in case that it represents and remains in its evolution a completely balanced system of positively (E) and negatively (U) valued energies, like in case of that one discussed by Fahr (2023) for the case when:

Here R is the cosmic scale parameter, G is Newton‘s gravitational constant, Λ is Einstein‘s vacuum energy constant, and M is the total cosmic mass within a sphere of scale R, i.e. given by;

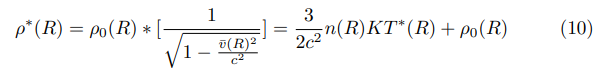
where the mass density ρ* (R) at scale R, including the relativistic case with ρ* (R) ≥ ρ0 (R), is given by:

where the mean thermal proton velocity
(R) is given by Equation (5) [12,13,17,18]. The point why an economical or “zero-energy”- universe is favoured here for our study is that all consecutive temporal states of this time-variable universe belong to the same cosmic energy state, i.e. no energy needs to be applied to cause the chain of the consecutive, cosmic states of this universe, while its scale R = R(t) increases. This anyway is a reasonable request for an all-comprehending, isolated system with nothing else around.
To nevertheless give this study a little bit broader basis, we may also consider alternatives to the above, so-called “economical universe”. For instance when looking at an earlier solution of a zero-energy universe presented by Fahr and Heyl (2007) [19]. As shown there, such an energy-less universe (E + U = 0!, i.e. mass energy balanced by its gravitational binding!) one can find for a universe with cosmic density ρ* (R) being energy-balanced by:

As the above equation shows this above cosmic density neither is constant with R, nor varies with R−3 as could be expected for a universe with constant total mass M, but showing that in this special case the cosmic density varies proportional to R−2 which would require a certain cosmic mass generation ρ with the increase of the scale R or cosmic time t.
In our present case we could try to ascribe this mass generation to the change in cosmic temperature T* (R) at decreasing cosmic scales R, i.e. connected with the decrease of kinetic cosmic masses as reaction to the scale variation![]()
= dR/dt in the relativistic phase of the cosmic expansion.
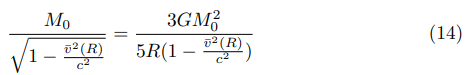
From the above mentioned zero-energy universe (Fahr and Heyl, 2007) one would then obtain the following expression for the gravitational binding energy:

Hereby one could easily imagine how to include the effect of kinetic mass increases, when looking back towards the hotter and hotter mass singularity, by setting

with the velocity v¯ = v¯(R) denoting the mean thermal velocity at cosmic scale R given by Equation (5). The requirement that this effective mass energy is fully reflected by the identical amount of gravitational binding energy would then be expressed by the following relation:

which then leads to the request:

or to the relation:

or expressed by:

This clearly indicates that such a request in fact cannot be fulfilled [20]. Obviously the requirement that binding energy and matter energy do compensate in all phases of the cosmic evolution cannot be fulfilled.
How Did Gaseous Cosmic Matter React to Cosmologic Compressions near the Big-Bang Event?
Gaseous cosmic matter - when physically being forced to reduce or enhance its spatial volume - usually thereby increases or decreases its temperature T as polytropic reaction to such enforced volume changes. In normal standard classic thermodynamics for a radially symmetric gas volume with the radial scale R this is regulated by the standard polytropic, mono-atomic gas-dynamic relation, i.e. change of internal energy due to work done by the cosmic gas pressure at a volume change (without adhesive or viscous, internal gas forces thereby taken into account) given by the following differential equation (see e.g. Fahr, 2022):

where ∈m = ρKT and pm = nKT are the thermal energy density and the thermal pressure of the gaseous matter, ρ denotes the mass density and n the particle density of the gas. In preceding papers we had shown that under the sole validity of this above equation the Big-Bang explosion of the universe never at all could or would have happened, since implosive forces caused by gravitational forces always dominate over explosive ones [1,2]. This had already become evident in the well-known Friedman - equations [3,4]. However, in combination with a vacuum pressure pvac of positive value then the needed explosive force can in fact be physically established which can let the “Big-Bang” - type explosion near the scale singularity R → 0 really occur, as it is generally, but one could better say: “naively”, expected by present-day cosmologists (also for this aspect see critical views e.g. by Ambartsumian,V.A.: in : “La structure de l´ Univers” [5-9].
A little hesitation towards this already representing the full entity of the predicted final cosmologic fate, - and at the same time being not only the final, but also the complete physical secret of the universe -, is only suggested by the fact that Big-Bang matter temperatures near the beginning of the cosmic expansion, back at times towards the singularity event, may need the application of a ”relativistic thermodynamics” (since thermal energies KT ≥ m0 c2 in this phase would compete with energies of particle rest masses, at least in case, that in this earliest phase of the universe there already do exist at all cosmic masses in the beginning of the lifetime of the universe near the singularity! (for that specific aspect see e.g. Fahr, 2023, Fahr 2024, Fahr and Heyl, 2024), and if polytropic gas behaviour according to Equation (1) can at all be expected [2,10]. Given that case, this then evidently would require a correspondingly reformulated polytropic relation, different from the one presented in Equation (1).
The latter is due to the fact that seen backward in cosmic time t, when particles near the cosmic matter singularity due to strong compressions start becoming relativistic in energy (i.e. thermal particle velocities approach the velocity of light: v → c), then further energy addition when looking back towards the singularity will only marginally change particle velocities v, but mainly will change their effective masses m(v) ≥ mo and thus will enhance the cosmic gravity field. Newton‘s very fundamental and basic law for the acting force F determining the resulting change of the momentum ![]()
thus now needs to be expressed in a more general-relativistic form by:![]()
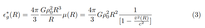
thus raising the important question how this circumstance needs to be expressed thermodynamically and how the corresponding kinetic mass increase looking backwards in cosmic time t needs to be taken into account as an associated enhancement of the cosmic gravitational field, especially increasing the negative cosmic gravitational binding energy ∈g* of the cosmic substrate and eventually impeding its explosion. Correspondingly one thus could imagine that the upper Equation (1) at least should perhaps under these circumstances be completed into the following more general form:

where ∈m∗ ∈g∗, Ekin∗ and pm∗ denote the density of thermal energy, of the mean gravitational binding energy, of the mean kinetic energy, and the pressure of the relativistic baryonic cosmic gas.
Hereby the cosmic gravitational binding energy density ∈g∗ = ∈g∗(R) in this scale-dependent relativistic, Robertson-Walker universe, in view of the temperature-dependence of the cosmic matter density, should probably be given in the following form:

where the special factor (R) takes into account the average relativistic mass increase due to the R− variable, decreased mean thermal velocity ![]()
(R) of cosmic baryons as function of the growing cosmic scale R, respectively the cosmic scale dependent gas temperature T ∗ (R). This specific velocity ![]()
(R) denotes the mean thermal velocity in the universe at scale R, as is given in Equation (5) see further down.
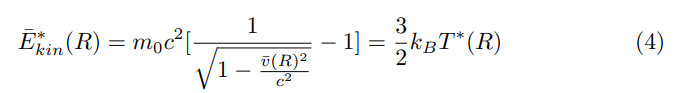
The mean kinetic or thermal energy Ekin∗ of the relativistic cosmic baryons with particle density n = n(R), or so to say: their relativistic temperature T ∗ (R), thereby is given in view of the particle-velocity decreases by the following expression (see e.g. French, 1968):

where the average or thermal particle velocity ![]()
= ![]()
(R) is given by means of the isotropic baryon velocity distribution function f * (v, R) through the following expression

Not knowing apriory anything better with respect to f * (v, R), we may assume that in the initial phase of the cosmic expansion under conditions of very dense and hot cosmic gases near the matter singularity the distribution function is very likely close to a collision- dominated LTE equilibrium Maxwellian, of course however one, which takes care that no superluminal particles with v ≥ c are admitted by the distribution f * (v, R) (e.g. see Fahr and Heyl, 2020). The latter can be taken care of by introducing, instead of v, the kinetic energy Ekin* as a variable and then finally obtaining the function f * (v, R) in the following form as an asymptotic Kappa-function (see Fahr, 2023):

Hereby the quantity xΘ is defined by: xΘ = Θ(R)/c, indicating the fact that this latter quantity also associated with the relativistic cosmic temperature T * (R) as shown in Equation(4), up to this moment, only is inherently defined and further would need an additional independent physical fixation or an independent physically consistent definition.
A Plan to Procede
The disaster for the essential ambitions of this paper here is connected with the fact that no helpfull knowledges or observations are available about how cosmic matter has behaved in the early universe during the relativistic epoch with baryon thermal velocities near the velocity of light v¯≈ c. The only thing one in view of this situation can do is to try to calculate backwards from the present cosmic phase with its more or less known presentday cosmic conditions towards the earlier, more relativistic phases of the universe. This needs to be done on the basis of a reliable differential equation describing the change of thermal conditions of cosmic gaseous matter with the cosmic scale R = R(t), permitting to calculate backwards into cosmic times t ≤ t0 from the present time t = t0 towards the early relativistic times tr.

To find essential physical and mathematical support enabling us to do this , we shall go back to the polytropic relation used at the beginning of this paper, from where we first started, however, now we shall again do this with inclusion of the effect of relativistic energies, thus obtaining the following polytropuic differential equation

or, if more evolved, the equation in advanced form:

∈m and pm denotes the thermal energy density and the thermal pressure of gaseous cosmic matter.
Hereby the gravitational binding energy change of this baryon gas as consequence of relativistically changed masses and its scale change has been omitted, but aposteriori we evidently have to controle whether or not this in fact can be justified. At least in the early cosmic phase when the cosmic gas is relativistic, this relativistic mass change may also change the cosmic gravity field and hence also the gravitational binding energy. This then is needed to be taken into account as a part of ∈m. But let us come back to this point later.
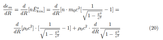
Now we can hope that one can derive from this above relation the thermal spread Θ(R) as a well defined function of the scale R, i.e. in order to obtain the open quantity xΘ (R) = Θ(R)/c as an explicit expression. First let us care here for the term d∈m / dR and obtain:

leading to:

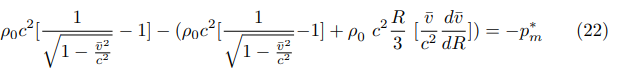
This brings us back to the following equation:

or resulting in:

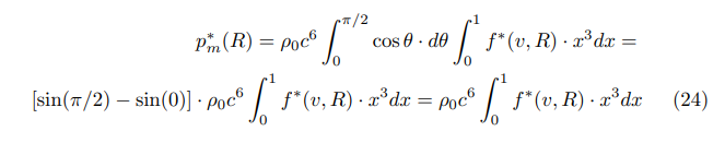
To procede we now have to find an expression for the relativistic baryon pressure p*m. Starting from the fact that the cosmic distribution function f * (v, R) is isotropic, we then find with x = v / c:

Reminding that ΘR defines the thermal spread of the distribution function by:

we are then lead to the following result for the relativistic pressure of the cosmic baryons:

and may try then on this basis to procede with describing the Big-Bang conditions near the cosmic matter singularity. We hope to be able to present final results in an upcoming succeeding publication.
References
- J Fahr, H. (2023). The cosmic big-bang: how could mankind escape from it?. Physics & Astronomy International Journal, 7(1), 74-75.
- J Fahr, H. (2023). The big-bang started from nothing: Not the initially hot cosmic matter, but a positive vacuum pressure made theuniverse explode!. Physics & Astronomy International Journal, 7(4), 274-278.
- Friedman, A. (1922). Über die krümmung des raumes. Zeitschrift für Physik, 10(1), 377-386.
- Friedman, A. (1924). On the Possibility of a World with Constant Negative Curvature. Journal of Physics, 21, 326-332.
- Ambartsumian, V. A. (1958). La structure de l´ ´Univers (Ed. Stoops. R.: Solvay Conference Reports, Bruxelles).
- Alpher, R. A., & Herman, R. C. (1950). Theory of the origin and relative abundance distribution of the elements. Reviews of Modern Physics, 22(2), 153.
- Hoyle, F., Burbidge, G., & Narlikar, J. V. (1993). A quasi-steady state cosmological model with creation of matter. Astrophysical Journal, Part 1 (ISSN 0004-637X), vol. 410, no. 2, p. 437-457., 410, 437-457.
- Arp, H. C., & Burbidge, G. (1990). The extragalactic Universe: An alternative view. Nature, 346(6287).
- Burbidge, G. (2003). Fred Hoyle; Cosmology since 1965, Sterne und Weltraum, 3, 34-40.
- Fahr, H. J. (2024). Not a cosmic matter singularity, but the cosmic vacuum pressure caused the primordial “Big-Bang”!, IRIS Journal of Astronomy and Satellite Communications, 1(3), 1-3.
- Fahr, H. J., Sylla, A., Fichtner, H., & Scherer, K. (2016). On the evolution of the κ distribution of protons in the inner heliosheath.Journal of Geophysical Research: Space Physics, 121(9), 8203-8214.
- Overduin, J., & Fahr, H. J. (2001). Matter, spacetime and the vacuum. Naturwissenschaften, 88, 491-503.
- Overduin, J., & Fahr, H. J. (2003). Vacuum energy and the economical universe. Foundations of Physics Letters, 16, 119-125.
- Brout, R., Englert, F., & Gunzig, E. (1978). The creation of the universe as a quantum phenomenon. Annals of Physics, 115(1), 78-106.
- Vilenkin, A. (1982). Creation of the universe from nothing, Phys. Letters, 117B, 25-28.
- Tryon, E. P. (1973). Is the universe a vacuum fluctuation?. Nature, 246(5433), 396-397.
- Rosen, N. (1994). The Energy of the Universe. General Relativity and Gravitation, 26, 319-321.
- Cooperstock, F. I., & Israelit, M. (1995). The energy of the Universe. Foundations of Physics, 25(4), 631-635.
- Fahr, H. J., & Heyl, M. (2007). Cosmic vacuum energy decay and creation of cosmic matter. Naturwissenschaften, 94, 709-724.
- Fahr, H. J., & Heyl, M. (2007). About universes with scaleâ?related total masses and their abolition of presently outstanding cosmological problems. Astronomische Nachrichten: Astronomical Notes, 328(2), 192-199.
- Bonnor, W. B. (1957). Jeans' formula for gravitational instability. Monthly Notices of the Royal Astronomical Society, 117(1), 104-117.
- Cercignani, C. (Ed.). (1988). Kinetic theory and gas dynamics. Springer-Verlag.
- Chapman, S. (1952). The mathematical theory of non-uniform gases; an account of the.
- Einstein, A. (1917). Kosmologische betrachtungen zur allgemeinen relativitätstheorie. Sitzungsberichte der Königlich Preußischen Akademie der Wissenschaften, 142-152.
- Fahr, H. (2021). The baryon distribution function in the expanding universe after the recombination era. Physics & Astronomy International Journal, 5(2), 37-41.
- Gerthsen, C. (1958). Lehrbuch der Physik, Springer Verlag, Stuttgart, 159-165.
- Mach, E. (1912). Die Mechanik in ihrer Entwicklung: historisch-kritisch dargestellt. Brockhaus.
- Robertson, H. P. (1929). On the foundations of relativistic cosmology. Proceedings of the National Academy of Sciences, 15(11), 822- 829.
- Robertson, H. P. (1933). Relativistic cosmology. Reviews of modern Physics, 5(1), 62.
