Review Article - (2024) Volume 1, Issue 1
Refractive Index Sensing of Temperature in a Nanostructure Fiber
Received Date: Oct 18, 2024 / Accepted Date: Nov 21, 2024 / Published Date: Nov 29, 2024
Copyright: ©©2024 Mohammed Salim Jasim AL-Taie. This is an open-access article distributed under the terms of the Creative Commons Attribution License, which permits unrestricted use, distribution, and reproduction in any medium, provided the original author and source are credited.
Citation: Al-Taie, M. S. J. (2024). Refractive Index Sensing of Temperature in a Nanostructure Fiber. Appl Opt Laser Tech, 1(1), 01-06.
Abstract
Nanostructure fibers were the focus of much research and study due to their simple nature of manufacture and construction. As this study demonstrated, several parameters are employed in that structure that can influence the refractive index of the electromagnetic pulse propagating, including their diameter, number, and spacing between the holes. It was also investigated how temperature affected the refractive index. Researchers have shown that the refractive index rises with increasing air hole diameter and falls with increasing air hole spacing. The number of air holes appears to have no discernible impact on refractive index. Regarding temperature, it is directly correlated with both frequency and intensity. Specifically, a rise in temperature causes the refractive index of the pulse traveling through this fiber to rise. Changing the temperature of the fiber is interesting for dynamics fine refractive index tuning in active refractive index shift compensation system. this paper presents a numerical analysis on the effect in this structure temperature on refractive index and modal features. the research depends on regular hexagonal crystal lattice fibers with specific geometric parameters using the finite element method.
Keywords
Temperature (T), Refractive Index (n), Nanostructure Fibers (NFs), Finite Element Method
Introduction
Nanostructure fiber (NF) has garnered significant interest and led to significant advancements in fiber optic technology during the last 20 years. This type of fiber is different from conventional fibers in terms of its optical and structural characteristics. NF typically has a central flaw that plays a central function, with an even distribution of air holes running the length of the structure, like a photonic crystal. A central structural flaw is present in two types of crystals and is significant. Defects of two kinds—solid or air holes—of different sizes and forms are employed as cores. The light is directed and a decreased refractive index is seen in the cladding when there is a solid core with a changed effective refractive index. Excellent transmission qualities, including low loss, high nonlinearity, high-order mode limitation, etc., are provided by PCF's dynamic structure [1-3]. It is possible to employ NF as a temperature-dependent component, Novel fiber optic components (NFs) have been integrated into various optical devices such as optical switches, optical filters, beam splitters for polarization and optical sensors [4-9]. Solid core NF is likewise characterized by means of an equivalent, efficient phase index fiber. Since the high core-cladding index contrast occurs when the wavelength of light is larger than the thickness of the distance between the holes but smaller than the core diameter, the effective core and cladding can be highly dependent on the size of the modal field in the cladding. The periodic arrangement of holes has no effect on modal propagation. In contrast, the periodic lattice gives phase conditions for less constrained modes, when the wavelength of light is lower than the interstitial hole spacing, or when the wavelength of light is commensurate with it. Dispersive confinement and coherent light scattering are the results of this [10]. The guiding mechanism is categorized as "modified" because, unlike in regular optical fibers, the cladding refractive index varies with wavelength. NFs can have many different designs. Lattice pitch, air hole shape and diameter, glass refractive index, and lattice type are some of the factors that may be adjusted. Changing the air-hole lattice's diameter is one tactic that may be used to account for dispersion and the area impact with wavelength. One of the main benefits of solid core PCFs over ordinary fibers is their endless single mode (ESM). See figure 1
Figure 1: (a) Solid Core NF and (b) Hollow Core NF.
The Effects of Variables on Pulse Propagation in NF
To investigate laser pulse propagation in PCFs, begin by solving the wave equation, which describes the electric field of the laser pulse traveling through the PCF. Figure 2 depicts the impact of photonic crystal characteristics such as air hole diameter (d), number of air holes (N), and hole-hole distance (Λ).
Figure 2: NF is Made Out of Material with Drilled Air Holes
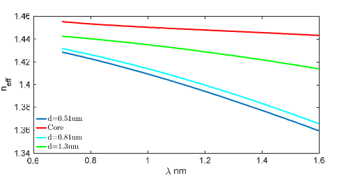
The diameter of the air holes was selected using both theoretical and empirical data, falling within the range (d=0.51,0.81,1.3) μm. Pitch (Λ =0.6 μm) and air hole count (N=6) were predetermined. On the curves, the effective refractive index of the core remains constant while the effective refractive index of the cladding differs with the hole diameter, as illustrated in Fig. 3. This means that the difference between the refractive indices of the cladding and the core raises with the hole diameter.

Figure 3: Changes in the Diameter Air Hole's Effective Refractive Index with Wavelength When d= (0.51,0.81,1.3) μm, Λ = 1.6 μm and N=6.

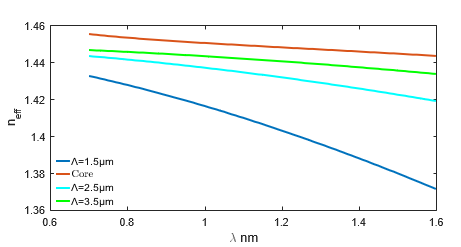
Figure 4: Pitch Variation in Effective Refractive Index as A Function of Wavelength When Λ= (1.5,2.5, 3.5) μm, d=1.5 μm, N=6

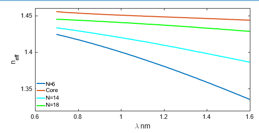
Figure 5: The Effective Refractive Index Varies with Wavelength for Different Numbers of Air Holes, N = 6, 9, 12, Λ = 1.2 μm, and d = 1.2 μm
The Connection of Temperature and Refractive Index in NF
Temperature variation has an effect on the density of the PCF, which is directly proportional to the refractive index. As the temperature rises, the density of the PCF decreases because the PCF extends and loses the attraction strength between the molecules, increasing the distance between the particles and the internal molecular movers. Since temperature describes how electromagnetic waves affect a substance, it is considered to be one of the physical and chemical qualities of that material. Temperature is one of the most basic and easily recognized optical properties of any given material. Refractive index is dependent on wavelength and density; it is defined as the ratio of the speed of light in a vacuum to the speed of light in the material, as expressed in the following statement [12].

When a substance has a refractive index of n, its apparent light speed (v) is equal to the vacuum speed (c). the refractive index as a result. causes a drop in the medium's light velocity in accordance with Connection of

where represents the material's refractive index prior to the alteration When a material changes, its refractive index is represented by , or temperature. Temperature is defined as follows: is the material's wavelength before to temperature changes, and is the material's wavelength following temperature changes [13]. The refractive index determined by a refractometer using two ways set temperature or Brix degree, i.e., by changing the substance Rely on your focus. Refractive index is dependent on temperature and density; it may also describe the prism's dispersive power. Additionally, by varying its concentration, the power of the lenses or certain materials, like water, can be used to determine the refractive index and determine the purity of the prism [14]. The relationship describes how the refractive index changes in proportion to temperature [15].

The standard temperature is To.

|
D° |
D1 |
D2 |
E° |
E1 |
λkT |
|
1.86×10-6 |
1.31×10-8 |
-1.37×10-11 |
4.34×10-7 |
6.27×10-10 |
0.170 |
Table1: Shows the Parameters for Glass
A phenomenon known as photothermal effects causes the temperature of the medium through which the laser beam passes to rise. These so-called "thermal lenses" resemble regular convex lenses, and because of the uneven heat distribution of the media, they are regarded as a criterion for adjusting the refractive index of the medium [17]. We impose a system in which falling light experiences partial absorption to demonstrate the idea of thermal lenses. This absorption causes the system to ascend to the upper level and descend again, but it does so without emitting energy, which raises the system's temperature and forms a thermal lens [16-18]. The relaxation of the stimulus conditions from the medium, which was pumped by the laser beam with a Gaussian wave front, produces the effect of the thermal lens rather than the radiation. During these irradiated relaxation processes, which include vibratory relaxation, which turns the heat absorbed from the falling laser light into heat, the temperature of the radiation sample changes. In addition to a change in laser beam strength, the temperature of the radiation sample also varies and the refraction index resembles the Gaussian distribution of the falling laser beam as a result of the laser beam radius [18]. The refractive index of the material affects optical diffraction, a geometrical process that broadens the beam propagation direction spatially as light travels through a homogenous medium [19]. When power surpasses a critical value of origin self-focusing in the nonlinear refractive index, self-focusing—a nonlinear optical phenomenon— counteracts against the natural propagation of an optical beam. Where any increase in intensity, I, causes n_2>0. This results in a converging wave front through the nonlinear process of self-phase modulation (SPM) during the beam propagation in the medium [20].
Figure 6: Self-focusing of a Gaussian beam
Temperatures Impact on the NFs Refractive Index
The NFs' temperature will increase and, consequently, the refraction index will rise if a wavelength Gaussian pulse (850 nm) is inserted into the NFs and the core refractive index (1.474). This is because heat causes the medium's density to change. Figure 7 illustrates the relationship between the NFs' refractive index and temperature within the range of (20c0) to (80c0).

Figure 7: The effect of temperature on refractive index in NFs
However, if a Gaussian pulse of magnitude (1000) nm is inserted, by increasing the Gaussian pulse's frequency, which in turn raises the pulse's intensity and raises the temperature of NFs, the refractive index of NFs will gradually rise, as demonstrated by Figure 8, which illustrates how the refractive index behaves at different temperatures for NFs between 20 CO and 80 Co.

Figure 8: The effect of Temperature on Refractive Index in NFs
Additionally, by increasing the refractive index of the core (1.468) and the wavelength of the Gaussian pulse entering the NFs to 1300 nm, we can observe that as the frequency and intensity of the pulse increase, so does the temperature of the NFs. As a result, the refractive index of the NFs will increase. Figure 9 illustrates this relationship.

Figure 9: The effect of Temperature on Refractive Index in PCFs
Conclusion
In summary, the same nonlinear NFs made of SiO2 have shown for the first time that simultaneous control of self-focusing is selectively enabled by the incident laser wave front. The nonlinear refractive index coefficient of the NFs, which is responsible for the self-focusing phenomenon, is retrieved by fitting the broadened spectrum resulting from the nonlinear propagation of chirped pulses inside the NFs to a theoretical model. It is discovered that the heightened inverse diffraction brought about by the NFs' linear n0 and the nonlinear n2 of the NFs' self-focusing effect allow an incoming beam with a diverging wave front to be focused in the NFs rapidly. These anomalous occurrences, which are linked to the negative n0 and positive n2, might offer a unique means of shielding nanostructured devices from laser damage as well as a potential future technique for controlling laser propagation in NFs. They could also be termed normal convex lenses that function as thermal lenses.
References
- Xuan, K. D., Van, L. C., Long, V. C., Dinh, Q. H., Van Mai, L., Trippenbach, M., & BuczyÅ?ski, R. (2017). Influence of temperature on dispersion properties of photonic crystal fibers infiltrated with water. Optical and Quantum Electronics, 49, 1-12.f
- Guo, Y., Li, J., Li, S., Liu, Y., Meng, X., Bi, W., ... & Hao,R. (2020). Amphibious sensor of temperature and refractive index based on D-shaped photonic crystal fibre filled with liquid crystal. Liquid Crystals, 47(6), 882-894.
- Russell, P. (2003). Photonic crystal fibers. science, 299(5605),358-362.
- Wang, R., Yao, J., Miao, Y., Lu, Y., Xu, D., Luan, N.,... & Hao, C. (2013). A reflective photonic crystal fiber temperature sensor probe based on infiltration with liquid mixtures. Sensors, 13(6), 7916-7925.f
- Wang, Y., Bartelt, H., Ecke, W., Moerl, K., Lehmann, H., Schroeder, K., ... & Jin, L. (2009). Thermo-optic switching effect based on fluid-filled photonic crystal fiber. IEEE Photonics Technology Letters, 22(3), 164-166.
- Palomares, L. O., & Reyes, J. A. (2019). Cholesteric cored photonic fibre as a narrow optical filter. Liquid Crystals, 46(3), 340-348.
- Wang, F., Wang, J., Long, S., Wang, L., Lv, Y., Zhang, L., ...& Sun, W. (2018). All-fibre one-way filter based on both-end- filled photonic liquid crystal fibres. Liquid Crystals, 45(7), 1004-1009.
- Sun, B., Chen, M. Y., Zhou, J., & Zhang, Y. K. (2013). Surface plasmon induced polarization splitting based on dual-core photonic crystal fiber with metal wire. Plasmonics, 8, 1253- 1258.f
- Liu, X., Liu, Y., & Wang, Z. (2015, November). Broad-band sensor based on two line-infiltrated photonic liquid crystal fibers. In Asia Communications and Photonics Conference (pp. ASu2A-55). Optica Publishing Group.
- Fu, G., Fu, X., Guo, P., Ji, Y., & Bi, W. (2016). Researchon fused tapered photonic crystal fiber sensor based on the method of intermittent cooling. Journal of Sensors, 2016(1), 7353067.
- Rindorf, L., & Bang, O. (2008). Sensitivity of photonic crystal fiber grating sensors: biosensing, refractive index, strain, and temperature sensing. JOSA b, 25(3), 310-324.
- Cui, Y., Shum, P. P., Hu, D. J. J., Wang, G., Humbert, G., & Dinh, X. Q. (2012). Temperature sensor by using selectively filled photonic crystal fiber Sagnac interferometer. IEEE photonics Journal, 4(5), 1801-1808.f
- Jorge, P. A., Silva, S. O., Gouveia, C., Tafulo, P., Coelho, L., Caldas, P., ... & Frazão, O. (2012). Fiber optic-based refractive index sensing at INESC Porto. Sensors, 12(6), 8371-8389.
- Yee, O. S. (2014). Refractive index sensor bases on hollow- core photonic crystal fiber. Faculty of Electrical Engineering, Universiti Teknologi Malaysia, Skudai.
- Yu, T., Li, H., & Wang, W. (2016). Experimental investigation on grinding characteristics of optical glass BK7: with special emphasis on the effects of machining parameters. The International Journal of Advanced Manufacturing Technology, 82, 1405-1419.
- Uchiyama, K., Hibara, A., Kimura, H., Sawada, T., & Kitamori, T. (2000). Thermal lens microscope. Japanese Journal of Applied Physics, 39(9R), 5316.
- Arain, M. A., Quetschke, V., Gleason, J., Williams, L. F., Rakhmanov, M., Lee, J., ... & Reitze, D. H. (2007). Adaptive beam shaping by controlled thermal lensing in optical elements. Applied optics, 46(12), 2153-2165.
- Shang, Z., Li, S., Wu, H., & Dong, L. (2020). Quartz enhanced photoacoustic detection based on an elliptical laser beam. Applied Sciences, 10(4), 1197.
- f Tang, Z., Zhao, L., Sui, Z., Zou, Y., Wen, S., Danner, A., & Qiu, C. (2015). Switchable self-defocusing and focusing in nearly isotropic photonic crystals via enhanced inverse diffraction. Physical Review A, 91(6), 063824.f
- Hickmann, J. M., Gomes, A. S. L., & Araujo, C. B. (1992). Beam profile manipulation in a self-defocusing nonlinear media. Braz. J. Phys., 22, 20-24.

