Research Article - (2025) Volume 3, Issue 9
Quantum Mechanics Interpretation Using Energy Flow in Transformers
Received Date: Aug 02, 2025 / Accepted Date: Sep 01, 2025 / Published Date: Sep 08, 2025
Copyright: ©2025 Shuang-ren Zhao. This is an open-access article distributed under the terms of the Creative Commons Attribution License, which permits unrestricted use, distribution, and reproduction in any medium, provided the original author and source are credited.
Citation: Zhao, S. R. (2025). Quantum Mechanics Interpretation Using Energy Flow in Transformers. Eng OA, 3(9), 01-32.
Abstract
This paper proposes a new interpretation of quantum mechanics based on energy flow between the primary and secondary coils of a transformer. By introducing the concept of mutual energy flow, the author points out that energy propagation is not governed by the traditional self-energy flow but by mutual energy flow between the primary and secondary coils. The shape of the mutual energy flow exhibits both particle and wave characteristics on a macroscopic scale, which can be used to explain wave-particle duality. Furthermore, the paper discusses the physical significance of advanced waves and analyzes their applicability in quantum mechanics using mutual energy flow equations. Combining Huygens’ principle, action-reaction theory, and absorber theory, this study aims to provide a more intuitive and physically meaningful explanation of quantum mechanics. Through theoretical derivations and relevant simulation results, the paper further demonstrates the potential of mutual energy flow in interpreting quantum behavior and energy transfer mechanisms, offering a new perspective for interdisciplinary research between classical electromagnetism and quantum mechanics.
Keywords
Quantum Mechanics, Interpretation, Energy Flow, Transformer, Maxwell, Schodinger, Photon, Electron, Retarded Wave, Advanced Wave, Transactional Interpretation
Introduction

Figure 1: The Shape of Mutual Energy Flow
The Mutual Energy Flow is Sharp at Both Ends and Thick in the Middle. The Two Ends Resemble Particles, While the Middle Resembles Waves. This Can be Used to Interpret Wave-Particle Duality.
This paper proposes a new interpretation of quantum mechanics based on energy flow between the primary and secondary coils of a transformer. The author’s research reveals that the energy transfer between the primary and secondary coils is not dominated by traditional self-energy flow but is composed of mutual energy flow. The concept of mutual energy was first proposed by the author in 1987 and was combined with the electromagnetic "inner product" and Huygens’ principle [1-3]. In 2017, the concept of mutual energy flow was introduced to replace the electromagnetic field inner product, and the law of mutual energy flow was proposed [4]:

The author discovered that the energy flow from the primary coil to the secondary coil of a transformer is not the self-energy flow corresponding to the Poynting vector S11 = E 1× H1 * but rather the mutual energy flow represented by the middle part of the equation above [5]. The mutual energy flow consists of retarded waves emitted by the source and advanced waves emitted by the sink. Therefore, the above formula involves advanced waves. Although most textbooks consider advanced waves to be non-physical quantities, some scientists, including Schwarzschild, support their physical existence. These viewpoints are related to the principle of action and reaction [6-8], Dirac’s self-force problem, Wheeler-Feynman’s absorber theory [9-11], Stephenson’s advanced wave theory, and Cramer’s transactional interpretation of quantum mechanics [12-14]. The author believes that the concept of mutual energy flow is feasible and further points out that the shape of mutual energy flow closely resembles the characteristics of particles, as shown in Figure 1. Hence, the author began using mutual energy flow to interpret quantum mechanics [4].
This paper acknowledges that the concept of mutual energy flow has not been fully accepted. Using it to interpret quantum mechanics might feel like explaining one unclear concept with another. Therefore, this paper suggests renaming the topic to interpret quantum mechanics using transformers. Transformers are well-known electromagnetic devices, and this study only considers their behavior under quasi-static or magneto-quasi-static conditions. The author believes that magneto-quasi-static equations represent electromagnetic theories prior to Maxwell’s electromagnetic theory. These theories are based on several of Ampere’s null experiments, have been experimentally verified, and are not inconsistent with the continuity equation:

Maxwell’s electromagnetic theory, including Maxwell’s equations, was derived by modifying the quasi-static equations:

resulting in:

Since the quasi-static electric field ES is supplemented by the induced field EI, Maxwell’s equations differ from the quasi-static equations. The author highlights significant issues in Maxwell’s electromagnetic theory, particularly that the magnetic field in Maxwell’s equations represents an average magnetic field along small loops rather than the true magnetic field [5]. This issue results in a phase calculation error of 90 degrees. In theory, electromagnetic waves should exhibit reactive power, maintaining a 90-degree phase difference between the electric and magnetic fields. However, calculations based on Maxwell’s electromagnetic theory show that the electric and magnetic fields are in phase. This error is a major contributor to the wave-particle duality paradox.
Energy Flow in Transformers

The primary coil is connected to an AC power source. The secondary coil is connected to the load resistor. The homologous terminals of the transformer is indicated by the black dot in the figure. The polarity of induced electromotive force is represented by the+- symbol. The green arrow represents the energy flow of the transformer.
The Author’s Theory of Transformers
For an ideal transformer, it is generally assumed that the output power P2 of the secondary coil is equal to the input power P1 of the primary coil, Figure 2. This reflects the energy conservation law of transformers, expressed as:
P1=P2 (6)
Alternatively,

In the above equation, the real part operator “Re” can usually be omitted:

Here, V1, I1 represent the input voltage and current of the primary coil, while V2, I2 are the output voltage and current of the secondary coil. According to Kirchhoff’s voltage law, for the secondary coil circuit, we have:

where ε1→2 is the induced electromotive force generated by the current I1 in the secondary coil. Similarly, for the primary coil circuit according to Kirchhoff’s voltage law:

Equation (8,9,10) leads to:

Or

By converting line integrals to volume integrals,

be rewritten as:

The above equation is the frequency-domain mutual energy theorem proposed by the author in 1987 [1, 2, 3]. From the derivation, it is evident that this is not only an energy theorem but also an energy conservation law. As an energy theorem, the equation is a physical theorem and is valid as long as it is correct. As an energy conservation law, the equation must encompass all energy components. This means that the energy output by J1 is entirely transferred to J2 without any loss. While some argue that the above energy equation onlyapplies to ideal transformers and that energy loss might occur in non-ideal transformers, the author maintains that transformer efficiency can easily reach 99%, demonstrating that the equation as an energy conservation law is nearly perfect. Additionally, considering equation (11):

theifore

The above equations are equivalent to (11). Considering:

The symmetry of the integrals allows:

The above mutual inductances are real numbers, so equation (16) holds perfectly and as an identity. This further supports that (13) is an energy conservation law. By usinging the Fourier transformation, Equation (13) can be rewritten as:

Setting τ = 0:

The above equation can be written as
Expanding from 2 to N, we obtain:

The above equations represent the energy conservation law derived from transformer conditions. Naturally, equations (11, 12, 13, 19, 21, 22, 23) are different forms of the same energy conservation law.
Quasi-static Electromagnetic Equations
Considering:

where

considering:

considering

Defining


We know

Assuming a steady alternating Current:

considering (30,31)we have,

or considering (35):

Definition


From this, We derive Ampere Circuital law

The equations (46, 40, 45, 41) collectively form the quasi-static equations:

These quasi-static equations can be directly derived from Neumann’s mutual inductance formula (25). The quasi-static equations include the static part of the displacement current:

It is important to note that in the above equations (47), the subscript i indicates the coil number. When the transformer contains only primary and secondary coils, i=1,2, and the primary and secondary coils can be treated equivalently. We assume that the transformer contains N coils in total, which leads to the above equations. Note that the author incorporates the energy conservation law as part of the quasi-static (Maxwell’s) equations. This inclusion is deemed necessary, as the lack of this law in contemporary electromagnetic theory is a key issue, a point that will be further discussed in this paper.
The Existence of Advanced Waves
When the secondary coil is far from the primary coil, the magnetic vector potential must consider retardation effects. Thus:
Here, c is the speed of light. Assume = J=J0exp(jωt), where ω is the angular frequency.
Consider:



From this, we derive:

This implies:

If energy conservation holds as the secondary coil moves farther from the primary coil, especially maintaining (16), we require:

Considering the inner integral:

This shows that to ensure energy conservation, if A1 is a retarded potential, then A2 must be an advanced potential. This confirms the existence of advanced potentials. In other words, without advanced potentials, energy conservation would fail as the secondary coil moves far from the primary coil. Thus, we have both retarded and advanced potentials:

Advanced potentials are not currently acknowledged in standard electromagnetic textbooks.
However, a significant number of scientists, including Schwarzschild [6, 7, 8], Dirac [9], Wheeler and Feynman [10, 11], Cramer [13, 14], and Stephenson [12], argue for their physical existence. The author provides a proof here, assuming the validity of the energy conservation law (16).
Deficiencies in Maxwell’s Electromagnetic Theory
Maxwell’s electromagnetic theory is derived from quasi-static equations by substitution:

and considering:

We arrive at Maxwell’s equations:

It is reasonable for Maxwell to hypothesize equation (57). This equation is intended for use in radiative electromagnetic fields, i.e., in conditions of electromagnetic waves, as a transition from quasi-static to radiative electromagnetic fields. Maxwell’s equations are essentially equivalent to Lorenz’s (not Lorentz’s) method of retarded potentials [15]:

Lorenz proposed the method of retarded potentials in 1867, inheriting the work of Kirchhoff’s paper, rather than deriving it from Maxwell’s equations [16]. Lorenz believed that under the experimental conditions of the time, the differences between retarded and non-retarded potentials were indistinguishable. Thus, if the source generates non-retarded potential functions, the true potential present in space is likely the retarded potential. Lorenz did not define electric and magnetic fields but defined the current as:



These two equations are solutions to Maxwell’s equations and results of Maxwell’s electromagnetic theory. Are these results correct? The author believes they should be tested against the energy conservation law (23). The author argues that the energy conservation law should be axiomatic, holding not only under quasi-static conditions like (47) but also under radiative electromagnetic fields, i.e., electromagnetic wave conditions. The following author proves the conflict between Maxwell’s equations and the law of conservation of energy.
Maxwell’s equations can derive Poynting’s theorem:

Or equivalently:

Where:

U represents the system’s energy. Considering:


Under the principle of superposition:

Or equivalently:

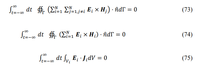
For the energy conservation law (23) to hold, the following terms in the above equation must individually equal zero:

Equation (73) is guaranteed if i and j represent one retarded wave and one advanced wave. Retarded and advanced waves cannot arrive at the infinite surface Γ at the same time since one is in the past and the other in the future. Therefore, the integral over surface Γ is zero. If both waves are either retarded or advanced, they can be combined into a single wave, reducing this scenario to equation (74). Equation (75) is often connected to equation (74). Therefore, equation (74) is the key. Transforming equation (74) into the frequency domain and assuming i=1, we get:

Here, “Re” represents the real part. However, in Maxwell’s electromagnetic theory, this equation clearly does not hold because, in the far field, the magnetic field H1 and the electric field E1 are in phase. Hence:

This demonstrates that Maxwell’s electromagnetic theory conflicts with the energy conservation law (23). The author believes that the energy conservation law should be recognized as valid, which implies that the inconsistency lies in equation (78). The author typically combines equations (73) and (74) into a single axiom, proposing that the energy of the electromagnetic field does not overflow the universe. Representing this as:

Here, the current J lies within the surface Γ.

This axiom of no radiation overflow from the universe can replace the energy conservation law. Thus, in the author’s electromagnetic theory, either the energy conservation law or the axiom of no radiation overflow must hold.
Where Maxwell’s Electromagnetic Theory Went Wrong
The initial definition of the magnetic field was derived from ampere force formula. Assuming two current elements I1 dl and I2 dl, their mutual force F1→2 is given as:

Here, B1 is given by the Biot-Savart law:

We also know another quantity, the vector potential A1. The vector potential A1 and the magnetic field B1 were introduced from entirely different perspectives. The vector potential was derived from Neumann's mutual inductance formula (25). However, it was observed that: 
Thus:

Maxwell then defined:

This seems unproblematic, but Maxwell further extended the above definition, asserting that the following formula remains valid: 
Similarly, Maxwell extended the definitions of the induced electric field
to:

Whether such extensions remain valid requires strict verification; they are not self-evident. Perhaps this is why Lorenz, after defining retarded potentials, did not define retarded electric and magnetic fields as Maxwell did.
The author argues that an extension must satisfy the principle that under the conditions of radiative electromagnetic fields, it should degenerate to the (magnetic) quasi-static result. In the quasi-static case, frequencies are low, and the distance to the current element is very small. This requires:
This implies:

Or:

Where x is field point,x′ is the source point. For the induced electric field:

This demonstrates that E1(r) can degenerate to the quasi-static induced electric field E1 . Thus, E1 (r) passes the so-called degeneration test. Next, let us examine whether the magnetic field can pass this degeneration test:

Thus:

This indicates that the magnetic field does not pass the degeneration test. It is potentially problematic. We find that the static electric field: 
Thus, the retarded static electric field Es1 (r) also does not pass the degeneration test. Therefore, both the magnetic field B1(r) and the static electric field E S1 (r) fail the degeneration test and are unreliable. Corrections are needed.
Since the static electric field is a longitudinal field and electromagnetic waves are transverse fields, we will focus on electromagnetic waves and neglect the static electric field for further corrections. For the retarded magnetic field, the author proposes a phase correction in the far field to align it with the near field. Thus, we have:

This correction is based on the belief that the theory of retarded potentials is not comprehensive and should be replaced with the theory of retarded fields. That is, both the magnetic and electric fields should include the retardation factor directly, rather than first applying retardation to the vector potential and then calculating the fields from the vector potential. By applying this correction, the radiation non-leakage axiom (79) can be satisfied.
In the author’s previous paper [5], modifications to Maxwell’s electromagnetic theory were proposed, primarily involving the far-field correction of the magnetic field as follows:

Similarly, for the advanced wave, the correction formula is:

In the above formulas, B 1(r) represents the far-field part of the retarded magnetic field, while B fm(r) is the far-field part of the retarded magnetic field calculated using Maxwell’s electromagnetic theory. Similarly, B f(a) represents the far-field part of the advanced magnetic field, and BfM(a) is the advanced magnetic field calculated using Maxwell’s electromagnetic theory. The superscript (r) indicates retardation, and (a) indicates advancement, while the subscript M signifies that the field was calculated using Maxwell’s electromagnetic theory. These calculations are performed in the frequency domain, with the time factor exp(jωt).
The present paper opts to largely abandon Maxwell’s electromagnetic theory. The author argues that quasi-static equations or magneto- quasi-static equations are sufficient because, in the author’s electromagnetic theory, the antenna emits photons, and photons consist of mutual energy flows propagating from the source to the sink. These mutual energy flows are composed of both retarded waves emitted by the source and advanced waves emitted by the sink. Due to the interference between the retarded and advanced waves along the line connecting the source and sink, they are enhanced along this direction and suppressed in other directions. Consequently, the retarded and advanced waves eventually form quasi-plane waves along the source-to-sink line, similar to electromagnetic waves propagating in optical fibers or waveguides.
These electromagnetic waves, once their initial phase is determined, are entirely defined, as shown below:

The above formulas indicate that initially radiated spherical waves transition into the quasi-plane waves mentioned earlier in the context of waveguides. To simplify the problem, attenuation factors along the wave’s cross-section are ignored.
Mutual Energy Flow in Transformers
Traditional electromagnetic field theory considers that the energy transfer from the primary coil to the secondary coil in a transformer is achieved by the energy flow corresponding to the Poynting vector. This assertion is not entirely accurate. When we refer to the energy flow as the Poynting energy flow, we are often referring to the Poynting energy flow constituted by the electromagnetic field of the primary coil, which is incorrect because the contribution of the electromagnetic field of the secondary coil is not taken into account. Transformers satisfy the quasi-static equations 2. When the effects of capacitors in the system are ignored, the equations can be simplified to the magneto-quasi-static equations as follows:

The two equations above are Faraday’s law and Ampere’s circuit law, respectively, where:

Under the magneto-quasi-static conditions, the Poynting theorem can also be derived as follows:

Integrating the Poynting theorem over time eliminates the energy term, and performing a volume integral yields:

This further leads to:

Using the superposition principle:

Substituting the superposition principle into the Poynting theorem 113, and subtracting equations 114 and 115, we obtain:

The surface Γ can enclose J1 and J2, but it can also separate them. If the current is placed on opposite sides of the surface, then:

Transforming from the time domain to the frequency domain, we get:

In traditional electromagnetic field theory, energy flow calculations only involve J1. Now, the contributions of J2 are added, which doubles the computed energy flow. To compensate, the electric and magnetic field values are halved:

This leads to:

Or equivalently:

In the author’s electromagnetic theory, the energy flow transferring energy is not the Poynting vector:

Instead, it is the mixed Poynting vector:

In order to get the compress factor in the mutual energy flow, ½ corresponding magneto-quasi-static equations shoud be corrected as:

The above formula can be written as,


from above we get the mutal energy flow theorem,


The above formula (125) (please notice the fact 2 in the formula) tells us that Maxwell’s electromagnetic theory needs to be corrected no matter what.
Transformer with Two Current Elements
A transformer consists of a primary coil and a secondary coil, along with a core. To study the principle of the transformer, we ignore the core and focus only on a small segment of the primary and secondary coils. Assume these segments are parallel, very close to each other, and behave as sheet currents (see Figure 3).
Figure 3: The Simplest Transformer with the Primary and Secondary Coils as Straight segments The distance between them is L, which is assumed to be very small, much smaller than the wavelength.

Assume:
To simplify the problem, we assume that the transformer consists of only two closely spaced straight-line segments. As shown in Figure 3, the current in the primary coil is:

According to Ampere’s circuit law, the magnetic field is:


The symbol ∼ indicates proportionality, focusing only on phase and ignoring magnitude. Therefore:

Thus:

We know that for x<0, the electric field remains unchanged, so the above equation remains valid. Now consider:

The current J2 is induced by the electric field E1 and it is assumed that J2 is in phase with E1. Assuming the load on the secondary coil is purely resistive:



Thus:

The magnetic field is expressed as:

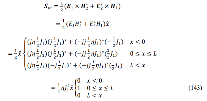
Thus, the mutual energy flow density is:

The above equation shows that the mutual energy flow density Sm is generated at the source current J1 and annihilated at the sink current J2. The mutual energy flow travels from J1 to J2. Therefore, the mutual energy flow exhibits particle-like properties and can be viewed as photons traveling from the source to the sink, or from the primary coil to the secondary coil.
Plane Electromagnetic Wave Propagating to the Right

This section primarily focuses on right-propagating waves. The right- propagating wave is advanced wave at the left of the current and is retarded wave at the right of the current.

Figure 4: Plane Electromagnetic Waves Radiated by a Planar Current, Classified into Four Types: (1) Retarded waves (top-left), (2) Advanced Waves (Top-Right), (3) Left-Propagating Waves (Bottom-Left), and (4) Right-Propagating Waves (Bottom-Right). Blue Arrows Represent Advanced Waves, and Red Arrows Represent Retarded Waves
Assuming a right-propagating factor exp(-jkx), the magnetic field can be expressed as:

The electric field is given by:

Therefore, the electric field can be expressed as:

This right-propagating wave is derived under quasi-static magnetic conditions by introducing the propagation factor exp(-jkx). The wave manifests as a retarded wave on the right side of the plane and as an advanced wave on the left side. There is no need to first compute the fields using Maxwell’s equations (with the electric and magnetic fields in phase) and then adjust the magnetic field phase using Eqs. (102) and (103). Extending the quasi-static result by directly introducing the propagation factor exp(-jkx) is more straightforward. This indicates that Maxwell’s equations are not necessary, they are just an optional auxiliary formula!
This study adopts plane waves instead of spherical waves. The author argues that energy flow is carried by photons, which can travel vast distances (even light-years) without attenuation. Therefore, the wave within a photon should be a plane wave or a quasi-plane wave, rather than a spherical wave. A quasi-plane wave refers to a beam-limited plane wave.
Moving the Secondary Coil Far from the Primary Coil
In electromagnetic field theory, it is often assumed that electromagnetic fields are spherical waves that decay with distance. As such, the electric and magnetic fields typically include a distance factor 1/r . The author proposes that the source current J1 indeed emits retarded waves randomly, and these retarded waves initially form spherical waves that propagate omnidirectionally, referred to as the broadcast mode. Similarly, the sink emits advanced waves randomly, which also exhibit broadcast mode. However, when the retarded waves emitted by the source reach the sink, and the sink happens to emit advanced waves, these advanced waves synchronize with the retarded waves. Due to interference, the waves constructively interfere along the line connecting the source and sink while destructively interfering in other directions. Eventually, the advanced waves guide the retarded waves and vice versa, causing both waves to degenerate into quasi-plane waves. Quasi-plane waves are beam-limited plane waves. The retarded and advanced waves together form the mutual energy flow, which constitutes the photon. Thus, the electromagnetic waves of a photon are quasi-plane waves traveling from the source to the sink. These plane waves do not require solving Maxwell’s equations; instead, they can be derived directly from the quasi-static results by introducing a propagation factor. Here, the propagation factor is exp(-jkx).
For a current plate 1 emitting right-propagating waves, the electric field is:

The Magnetic Field is:

The above electromagnetic waves exhibit retarded behavior on the right side of the current and advanced behavior on the left side. The magnetic field and electric field maintain a 90-degree phase difference, which deviates from Maxwell’s electromagnetic theory. The author argues that Maxwell’s electromagnetic theory contains errors in this regard.
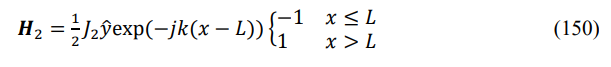
For current plate 2 located at x=L, the right-propagating electromagnetic wave is:

The Magnetic field is:

Considering:

We Obtain:

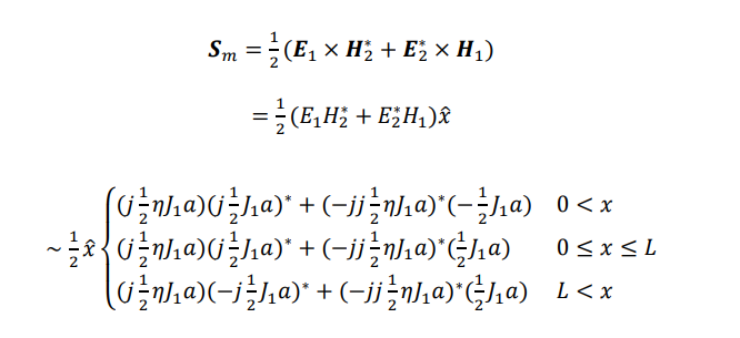
The mutual energy flow can be calculated as:



In this section, we examined the scenario where the sink is moved far from the source. We considered the synchronization of the retarded waves emitted by the source and the advanced waves emitted by the sink. Through interference, the waves constructively reinforce along the line connecting the source and sink, forming a waveguide. Both the retarded and advanced waves degenerate into quasi- plane waves. The electromagnetic waves emitted by the current constitute reactive power waves. If these waves do not synchronize, they are ineffective waves that do not transmit energy. It is assumed that the left-propagating waves generated by currents J1 and J2 are ineffective. Only the right-propagating electromagnetic waves effectively transmit energy. Outside the region between the source and sink, the two right-propagating waves cancel out. Mutual energy flow exists solely between the source and sink. The field structure in this region, aside from the factor a=exp(-jkx), is consistent with the results from Section 2.7. Thus, the principle aligns with that of the transformer. The author further interprets the nature of photons through the mutual energy flow of the transformer.
Source and Sink Not Parallel

Figure 5: The Source is Represented by the Red Current Element, and the Sink is Represented by the Blue Current Element. They form an Angle θ with each Other.
Previously, we discussed the case where the source and sink are parallel. If there is an angle between the source and sink, the influence of this angle must be considered. For the scenario depicted in Figure 5, the red current element should be decomposed into two components: one parallel to the blue current element and the other perpendicular to it. Only the component parallel to the blue current element contributes to the field. As a result, the field produced by the red current element includes a factor:

Radiation from a Dipole Antenna
If a current element is placed at the origin of the space with current flowing in the áº? direction,it constitutes a dipole antenna.We now calculate the radiation power of this dipole antenna. According to Maxwell’s electromagnetic theory, the radiation power density of this dipole antenna is well known and can be found in any electromagnetic theory textbook:

The computation of the dipole’s radiated power based on Maxwell’s electromagnetic theory must satisfy the Silver-Müller radiation boundary condition. In the author’s electromagnetic theory, this boundary condition is replaced by absorptive current elements J2 arranged on a sphere of infinite radius. The original dipole antenna’s current element is denoted by J1 (see Figure 6).
Figure 6: The Source is Represented by the Red Current Element, and the Sinks are Represented by the Blue Current Elements. The Sinks are Placed on a Sphere of Infinite Radius


This result agrees with the one calculated using Maxwell’s electromagnetic theory. However, according to the author’s electromagnetic theory, this result is obtained as a statistical average of the contributions from multiple photons. Furthermore, in the author’s theory, the absorbers placed on the sphere of infinite radius replaces the traditional Silver-Müller radiation boundary condition. It is well known that antenna measurements often require the use of microwave anechoic chambers, which essentially simulate absorptive elements. Although Maxwell’s electromagnetic theory does not directly mandate absorptive elements, the application of the Silver-Müller radiation boundary condition implicitly introduces the effect of absorptive currents.
To demonstrate this, based on the mutual energy flow law (122), the right-hand side of the expression is:

Under the synchronization condition, E1×H∗2 must be a real number. Therefore

This implies:

To ensure that E*2×H1 is a real number under synchronization, the following relationship must hold:

Thus:

Consequently:

Considering:

We have:

(158) can be written as:

The above equations indicate that the mutual energy flow calculated using the author’s electromagnetic theory is equivalent to the self-energy flow (i.e., the Poynting vector energy flow) calculated using Maxwell’s electromagnetic theory. However, note that when calculating the energy flow according to Maxwell’s electromagnetic theory, the formula is as follows:

While the energy flow obtained using the author’s electromagnetic theory (Equation 168) and the energy flow obtained using Maxwell’s electromagnetic theory (169) are equal in magnitude on the right-hand side, but the left-hand sides of the equations differ.

Therefore, Equation (169) derived from Maxwell’s electromagnetic theory is problematic. This discrepancy demonstrates that Maxwell’s electromagnetic theory has limitations, whereas the author’s electromagnetic theory provides the correct result and interpretation.
On the other hand, the Maxwell electromagnetic theory on the right side of formula (169) obtained the correct results, indicating that Maxwell electromagnetic theory is still effective in calculating the directional pattern of antennas. The formula (169) is the basis for Maxwell's electromagnetic theory, which still has practical value. Because if it can correctly calculate the radiation of dipole antennas, then considering the superposition of many dipole antennas, the radiation of any antenna can also be calculated. The reason why Maxwell's electromagnetic radiation theory can be achieved is that the Silver Muller condition is used to replace the absorber material on the infinite boundary.
Interpretation of Quantum Mechanics
This paper begins with an analysis of the probability current in the Schrödinger equation. To better compare with electromagnetic field theory, the Schrödinger equation is appropriately modified.
Modified Schrödinger Equation
The Schrödinger equation is given by:

For simplicity, assume h=1 and m=1, and neglect the potential function V (Considering that the probability current is independent of V). The Schro..dinger equation simplifies to:

Introducing a source term τ (analogous to the current J in electromagnetic field theory), the modified equation becomes:

To further analyze, we introduce a magnetic field hs , where the subscript S indicates that the magnetic field is defined according to the Schr.o.dinger equation:

This leads to the modified Schro..dinger equations:

We can define the following operator and vectors:



Calculation of Mutual Energy Flow and its Corrections
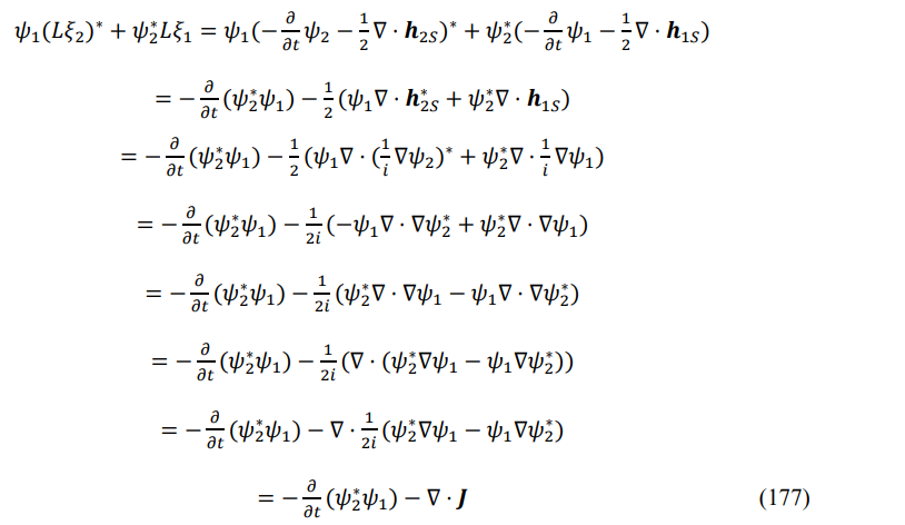
To derive the mutual energy flow equation, consider the following calculation:

Here, the terms are defined as:

or equivalently:

Equation (177) can be rewritten as:

This expression, derived from the Schrödinger equation (176), represents the Green’s function for the system. Substituting back into (176) gives:


We Obtain:



By performing a Fourier transform and removing the time integral, the equation simplifies to:

or equivalently: 
This equation, derived from the Schrödinger equation system (176), represents the mutual energy flow law. By comparison with electromagnetic theory, this law can be obtained by making substitutions:

where * denotes scalar multiplication. Here, HM refers to the magnetic field as defined by Maxwell’s electromagnetic theory. Equation (187) can be derived directly from the mutual energy flow law of Maxwell’s electromagnetic theory by applying the substitution rules mentioned above. However, certain issues arise in the mutual energy flow law derived from Maxwell’s theory, necessitating two corrections:
1. The first correction involves compressing the mutual energy flow by a factor of ½, representing a combination of half-retarded and half-advanced components. After this correction, Equation (187) becomes:

2. The second correction replaces the magnetic field defined according to Schrödinger equation hs with the author’s newly defined magnetic field h:

In this step, the replacement of hs by h is made based on the following relationships:

is used because the time factor in electromagnetic field theory is expressed as exp(jωt), while in quantum mechanics it is expressed as exp(-iωt).
The necessity of the second correction (Equations 191, 192) arises from the fact that the mutual energy flow law derived from the Schrödinger equation is not directly applicable in its current form. If mutual energy flow is used to replace self-energy flow, then self- energy flow must not transmit energy at all. However, within the framework of the Schrödinger equation, self-energy flow always transmits energy. If both self-energy flow and mutual energy flow transmit energy simultaneously, it would violate the principle of energy conservation, leading to theoretical contradictions.
In the context of electromagnetic field theory, the author found that under magnetoquasistatic conditions, self-energy flow manifests only as reactive power, whereas mutual energy flow is responsible for actual energy transmission. Thus, under magnetoquasistatic conditions, the mutual energy flow law still holds. The correct mutual energy flow law is essentially an extension of the mutual energy flow law derived under magnetoquasistatic conditions. This extension involves adding retarded and advanced factors to the electric and magnetic fields under magnetoquasistatic conditions, resulting in the correct electric and magnetic fields under radiative conditions. These extended electric and magnetic fields differ from those obtained from Maxwell’s electromagnetic field theory.
Magneto-Quasi-Static Schrödinger Equation
The author further defined a magneto-quasi-static equation within the framework of the Schrödinger equation. The Schrödinger equation can be written as:


If the displacement current is neglected, the equation reduces to the magneto-quasi-static equation. Furthermore, h replaces hS since the magnetic field under magneto-quasi-static conditions is the actual magnetic field, and no additional subscript S is necessary. The resulting magneto-quasi- static Schrödinger equations are:

Alternatively, these equations can be written in matrix form as: 
Considering:

Now consider:

where it is taken into account that:
: 
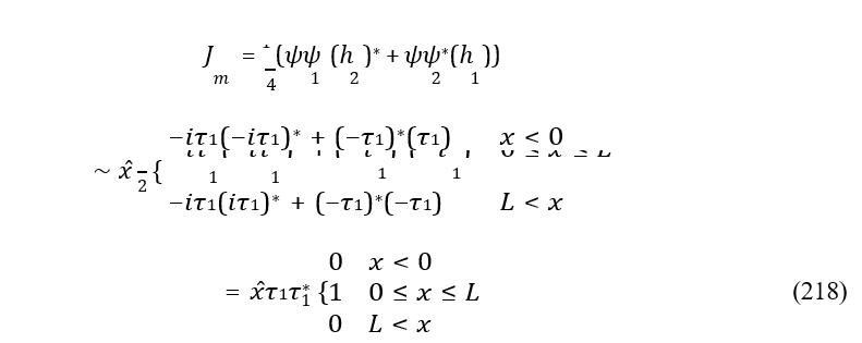
Thus,it follows that

From this, we derive (190), taking into account the ½ factor introduced for half-retarded and half-advanced components, resulting in:

Ampere's law in the Schrodinger equation framework is: 
Substituting Faraday's law:

leads to:

Or equivalently:

Thus:

From magneto-quasi-static electromagnetic fields, we know: 
Or:

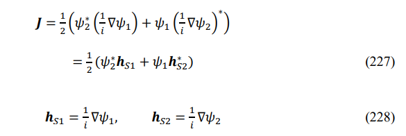
Thus, transforming directly from the magneto-quasi-static electromagnetic field also gives (206): 
Next, consider Ampere's law:

or equivalently:

Assuming the current is confined to a thin sheet and applying Gauss’s theorem 

Hence:



Thus we have:

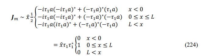
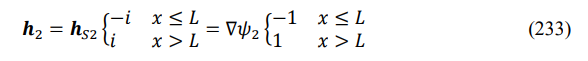
The expression for mutual energy flow (or mutual probability flow) is given by: 
Thus, it is evident that if the mutual energy flow is considered as a particle flow, the particles are generated at the source and annihilated at the sink. Therefore, within the framework of the magneto-quasi-static Schrödinger equation, the transfer of energy flow can be fully described by the mutual energy flow.
Particles in Vacuum
In the previous analysis, we calculated the mutual energy flow under magneto-quasi-static conditions. Now, let us assume that the particle propagates in a vacuum. In this case, both the retarded and advanced waves must include a propagation factor a=exp(ikx) to make the waveforms more physically realistic. The field expressions for particles propagating in a vacuum are given as follows:

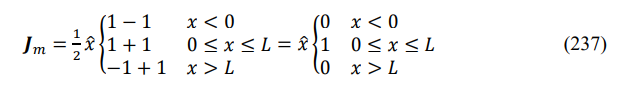
Similarly, the corresponding expressions for another field are: 
The expression for mutual energy flow is:

By computation, we can derive:

Here, a=exp(ikx). This shows that even in a vacuum, the behavior of particles can be described by mutual energy flow, consistent with the case under magneto-quasi-static conditions.
The Relationship Between Plane Waves and Particles


We are interested in the relationship between this plane wave and particles. Assume the particle is generated at x=0 and annihilated at x=L. The self-energy flow of the particle can be calculated using the formula: 
In this formula, consider replacing ψ1 with two quantities, ψψ1 and ψψ2, to obtain:

In the above equations, hS1 and ψ1 have the same phase, while hS2 and ψ2 are also in phase. Such a situation would lead to both mutual energy flow and self-energy flow transmitting energy simultaneously, which is unacceptable. Only one should be responsible for energy transfer. Therefore, we consider:

In the above equation, corrections to the electric and magnetic fields have been considered (102, 103), that is: 
Considering that h1 is an advanced wave to the left of the source and a retarded wave to the right: 
Considering that h2 is an advanced wave to the left of the sink and a retarded wave to the right: 
Assuming:

At 0 < x < L ,h1, and ψ2 are in phase:

Now, consider the mutual energy flow:

Substituting the expressions for ψ1, ψ2, h1 and h2,we obtain:

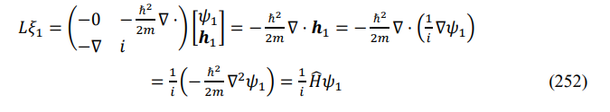
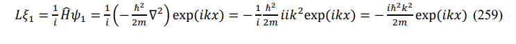
After simplifying:

Finally, we demonstrate that for particle propagation, the self-energy flow of plane waves can be entirely replaced by mutual energy flow, thereby describing the energy transmission behavior effectively.
Interpretation of canonical quantization in quantum mechanics
In quantum mechanics, the momentum operator is defined as: 
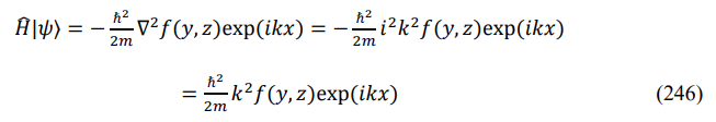
The Hamiltonian operator is expressed as:




The above two formulas can be explained by quantum mechanics, but it is not clear what their relationship with particles is. Below, we will use the mutual energy flow theory provided by the author to provide a closer connection between these two operators and particles. Assume that |ψ| is a quasi-plane wave, with the beam defined by a cross-sectional function f(y,z):

Where:

The gradient of this wave function is:

The expectation value of momentum in the y-z plane is computed as:
Simplifying:

Similarly, the Hamiltonian operator acting on the wavefunction is: 
The expectation value of the Hamiltonian is

Using the cross-sectional integration formulas (227) and (229), the self-energy flow can be converted into mutual energy flow:

Here, ψ' represents the wavefunction without the normalization factor f(y,z), where ψ'1 = exp(ix), ψ'2 = iexp(ix). h' is the magnetic field corrected according to the author’s theory. corrected according to the author’s theory. 


The corresponding Green’s function is: 
Where:

Considering:

And:


Assume:

Then:

Thus:

Also:

Therefore:
Or:

Similarly:

formula (251) can be written as,



This flow is generated at the source τ1 and annihilated at the sink τ2. And what is a particle? A particle is the mutual energy flow: 

It is worth noting that this mutual energy is entirely classical. Due to this mutual energy flow, quantum mechanics can return to classical mechanics. The mystery of quantum mechanics is completely removed. Jm is no longer a probability current density. It can represent energy density, mass density, or current density, but not a probability current density. Therefore, the author’s theory further explains the canonical quantization process of quantum mechanics.
The so-called superposition state in quantum mechanics is the state of the quantum before measurement. At this time, only τ1 and ψ1 exist. The wavefunction ψ1 emitted by τ1 is in a broadcast mode. All detector components used for measurement can detect this wave. However, among all these components, only one component τ2 generates an advanced wave ψ2 that synchronizes with ψ1. Then, ψ1 and ψ2 together form the mutual energy flow. This mutual energy flow is the particle. Since only one detector component synchronizes with the retarded wave ψ1 during measurement, it appears as if the wave collapses to τ2. This explains the superposition state and wavefunction collapse.
Mutual energy flow can not only combine through two channels to form interference patterns but also explain phenomena like quantum entanglement and Wheeler’s delayed-choice experiment. This is because mutual energy flow includes advanced wave components, allowing it to describe both classical and quantum behaviors simultaneously.
Conclusion
This paper proposes a novel interpretation of quantum mechanics based on the concept of mutual energy flow, replacing the traditional notion of self-energy flow. The core idea lies in the mutual energy flow, composed of retarded waves emitted by the source and advanced waves emitted by the sink. This flow simultaneously exhibits particle-like localization and wave-like extension, providing a theoretical basis for explaining wave-particle duality.
The paper begins by reviewing the theoretical background of mutual energy flow, referencing classical theories such as Schwarzschild’s action-reaction principle, Dirac’s self-interaction problem, and the Wheeler-Feynman absorber theory. Combining these insights with the author’s previous research on the inner product of electromagnetic fields and mutual energy flow, the paper further elucidates the physical significance of mutual energy flow. Through a detailed analysis of a transformer system, the author demonstrates that energy transfer between the primary and secondary coils is not governed by traditional self-energy flow described by the Poynting vector but rather by mutual energy flow. This finding challenges conventional textbook perspectives and is supported by theoretical analysis and simulation results.
Furthermore, the paper delves into the physical reality of advanced waves. Although the existence of advanced waves is not widely accepted, research such as Dirac’s self-interaction problem, Wheeler-Feynman’s absorber theory, Cramer’s transactional interpretation of quantum mechanics, and Stephenson’s advanced wave theory provide substantial support. The author argues that the introduction of mutual energy flow not only explains classical quantum phenomena but also offers a new interpretative framework for electromagnetic wave theory and quantum field theory. By analyzing the shape of mutual energy flow, the study finds that it demonstrates particle-like localization and wave-like extension during energy transfer, aligning closely with the fundamental characteristics of quantum mechanics.
In essence, this study breaks the limitations of traditional electromagnetic field theory by applying the concept of mutual energy flow to the interpretation of quantum mechanics, providing a potential bridge between classical and quantum physics. However, since mutual energy flow has not yet been directly verified experimentally, its theoretical foundation and practical applications require further exploration. Future research could focus on experimental methods to verify the existence of mutual energy flow and expand its application to multi-body systems and quantum fields.
References
- Shuang-ren Zhao. The application of mutual energy theorem in expansion of radiation fields in spherical waves. ACTA Electronica Sinica, P.R. of China, 15(3):88–93, 1987.
- Shuang-ren Zhao. The simplification of formulas of electromagnetic fields by using mutual energy formula. Journal of Electronics,P.R. of China, 11(1):73–77, January 1989.
- Shuang-ren Zhao. The application of mutual energy formula in expansion of plane waves. Journal of Electronics, P. R. China, 11(2):204–208, March 1989.
- Shuang-ren Zhao. A new interpretation of quantum physics: Mutual energy flow interpretation. American Journal of Modern Physics and Application, 4(3):12–23, 2017.
- Shuang-ren Zhao. Electromagnetic wave theory of photons: Photons are mutual energy flows composed of retarded and advance waves. amazon, 2024.
- K. Schwarzschild. Nachr. ges. Wiss. Gottingen, pages 128,132, 1903.
- H. Tetrode. Zeitschrift fuer Physik, 10:137, 1922.
- A. D. Fokker. Zeitschrift fuer Physik, 58:386, 1929.
- P. A. M. Dirac. Proc. Roy. Soc. London Ale, 148, 1938.
- Wheeler. J. A. and Feynman. R. P. Rev. Mod. Phys., 17:157, 1945.
- Wheeler. J. A. and Feynman. R. P. Rev. Mod. Phys., 21:425, 1949.
- Lawrence M. Stephenson. The relevance of advanced potential solutions of maxwell’s equations for special and general relativity.Physics Essays, 13(1), 2000.
- John Cramer. The transactional interpretation of quantum mechanics. Reviews of Modern Physics, 58:647–688, 1986.
- John Cramer. An overview of the transactional interpretation. International Journal of Theoretical Physics, 27:227, 1988.
- Helge Frisvad, Jeppe Revall ; Kragh. On ludvig lorenz and his 1890 treatise on light scattering by spheres. The European PhysicalJournal H, 44(2):160, 2019.
- A K. T. Assis P. Graneau. Kirchhoff on the motion of electricity in conductors. Apeiron, 19:19–25, 1994.


