Research Article - (2025) Volume 2, Issue 1
Optimization of Combination Cycle Power Plants Using Aspen HYSYS.
2Electrical Engineering & it's Automation North China Electric Power University Beijing, China
3Department of Mechanical Engineering Sonargaon University Dhaka, Bangladesh
4Electrical Engineering & it's Automation North China Electric Power University Beijing, China
5School of Energy, Power and Mechanical Engineering North China Electric Power University Beijing, China
6School of Energy, Power and Mechanical Engineering North China Electric Power University Beijing, China
Received Date: Dec 20, 2024 / Accepted Date: Jan 22, 2025 / Published Date: Jan 31, 2025
Copyright: ©2025 Hossain Imran, et al. This is an open-access article distributed under the terms of the Creative Commons Attribution License, which permits unrestricted use, distribution, and reproduction in any medium, provided the original author and source are credited.
Citation: Imran, H., Ariful, I., Abuhanif., Eshak, M., Mainuddin., et al. (2025). Optimization of Combination Cycle Power Plants Using Aspen HYSYS. J of App Eng Education, 2(1), 01-13.
Abstract
This study focuses on the optimization of Combination Cycle Power Plants (CCPPs) using Aspen HYSYS to enhance thermal efficiency, reduce emissions, and lower operational costs. Utilizing genetic algorithms, we identified optimal operational parameters for CCPPs, resulting in significant improvements. The simulation setup in Aspen HYSYS was meticulously designed, and various optimization techniques were explored. Our results show a notable increase in thermal efficiency, substantial reductions in NOx and CO2 emissions, and considerable cost savings. This research contributes to the existing body of knowledge by providing a comprehensive methodology for CCPP optimization, setting a new benchmark for future studies. The practical implications of our findings are significant, offering power plant operator’s strategies to achieve higher efficiency, comply with environmental regulations, and reduce costs.
Introduction
Combination cycle power plants (CCPPs) are a recent advancement in power generating technology that enhance efficiency and power output by integrating the thermodynamic cycles of gas turbines and steam turbines. By using both types of turbines, combined cycle power plants (CCPPs) may harness the waste heat from the gas turbine (GT) to generate additional power in the steam turbine (ST). As a result, the overall efficiency of the plant is increased compared to single-cycle plants [1]. This synergy leads to both increased energy extraction from the fuel and reduced fuel consumption, as well as decreased emissions of greenhouse gases per unit of electricity generated. Consequently, combined-cycle power plants (CCPPs) are a practical and effective solution in the pursuit of cleaner energy alternatives [2].
CCPPs play a crucial role in meeting the increasing global energy demand, making them essential in the contemporary energy mix. The aforementioned power plants provide practical ways to address the increasing demand for energy and comply with environmental regulations. Because of their specific properties, they are well suited for generating electricity during both base load and peak load periods [2]. However, combined cycle power plants (CCPPs) have certain operational challenges that have a detrimental impact on their operations and overall efficiency.
An important concern is the impact of variations in ambient temperature on the performance of combined cycle power plants (CCPPs). Temperature fluctuations provide difficulties for the rate of air density and flow, which in turn impact the combustion process of gases in gas turbines and the efficiency of the plant [3]. Because of this sensitivity to temperature, additional control and optimization methods must be used to enhance efficiency in response to changing circumstances. Moreover, the cooling methods employed in CCPPs are also crucial for the efficiency and efficacy of a power plant in general. Coordinated cooling is essential to accommodate all thermal loads and appropriately safeguard the plant’s portions and elements. Each of them, for example, air cooling and evaporative cooling, has distinct repercussions on plant efficiency and general expenditures [4]. This indicates that enhancing the effectiveness of these cooling strategies is extremely crucial to enhancing the dependability of producing CCPPs, especially in regions with high climatic conditions [5].
The major purpose of this study is to employ Aspen HYSYS, a sophisticated process simulator, to increase the working conditions of combined cycle power plants, which is extremely common for modeling many industrial processes. The current optimization research proposes to concentrate on such parameters to overcome the aforementioned obstacles and boost the performance of CCP. The precise aims of this research include:
• Enhancing Efficiency: By fine-tuning the operational parameters, this study seeks to maximize the thermal efficiency of CCPPs, ensuring that more energy is extracted from the fuel input.
• Reducing Emissions: Identifying optimal operating conditions that minimize the production of greenhouse gases and other pollutants, thereby contributing to environmental sustainability.
• Optimizing Operational Parameters: Utilizing advanced simulation and optimization techniques within Aspen HYSYS to identify the best operating conditions for various components of the CCPP, such as the gas turbine, heat recovery steam generator, and steam turbine.
• Economic Analysis: Assessing the economic benefits of the optimized CCPP operation, including reductions in fuel costs and operational expenditures [6].
Thus, by means of these aims, the research proposes to produce a clear map of CCPP improvement with the use of Aspen HYSYS to present helpful suggestions and effective techniques for the power generating area. The restriction of this sort of research is dictated by the fact that it centers on the improvement of combined cycle power plants employing Aspen HYSYS. This includes numerous essential areas: This encompasses several key areas:
Literature Review
A selected review of research concentrating on optimization of CCPP and the use of Aspen HYSYS in power plant modeling. First, this review will point out trends, techniques, and missing concerns in the present literature that constitute the foundation of the research.
Simulation Model Development
Design of a thorough process simulation of a typical kind of integrated CCPP system in Aspen HYSYS. This model must be built on actual data obtained from plants and validated against real world KPIs so as to boost its credibility.
Optimization Techniques
Use of the business Calc DLL in Aspen HYSYS to include enhancements in the form of genetic algorithms, gradient-based techniques, and other sophisticated algorithms. These strategies will be utilized to search for the solution inside the parameter space in order to acquire the ideal operating conditions of the CCPP.
Data Analysis
a detailed review of the results gained from the simulation in order to investigate the potential upgrades in efficiency, emissions, or the economic aspect. This will combine the sensitivity studies in order to evaluate the company’s operational circumstances that are most suited for maximizing the solutions in play [7, 8].
This paper’s conclusions are anticipated to shed light on how to actually boost the performance of CCPPs, highlighting the present challenges of these plants and paths for prospective enhancements. Regarding the research objectives, it is crucial to outline that by applying and utilizing the Aspen HYSYS program in such work, the contribution to the development of the energy optimization studies will be valuable, as more efforts are being invested in improving power generation systems’ performance and efficiency [9]. The insights gathered from this work will be important to both academics and industry practitioners, giving recommendations on the implementation of improved CCPP operations and the possibility for additional improvements using sophisticated modeling and simulation approaches [10-12].
Literature Review
CCPPs have been the focus of study, with considerable research interest in improving efficiency, reducing emissions, and reducing the reducing the cost of operation. A variety of efforts have been made to meet these aims, utilizing a multitude of optimization methodologies and analytic processes.
Ganjehkaviri et al. concentrated on work that understands the increase in the outlet quality at the steam turbine and its influence on the output power [13]. For this reason, their investigation brought into light the fact that the steam quality had to be maintained at optimum levels in order to boost the production of power and efficiency in CCPPs. This enabled them to illustrate that appropriate management of steam characteristics may produce the visible enhanced outcomes of plant work.
Mohtaram et al. sought to perform a multi-objective operational assessment using 4E analysis on a combined cycle power plant using multi-objective evolutionary optimization [14]. They gave considerable attention to the minimization of the emission rates of CO2, CO, and NOx, along with the worry about cost. Thus, using their own data, researchers determined that by applying the instruments of the evolutionary algorithm, it is feasible to reach the optimality of the vector of objectives, which in turn would favorably influence the environmental and economic performance indicators.
Ahmadi and Dincer completed a thermodynamic and thermoeco nomic study of a dual pressure CCPP with a supplemental firing unit [15]. Their studies also pointed out the impacts of extra firing on the enhancement of plant efficiency and economic viability. They employed advanced approaches to examine the numerous operational parameters to arrive at the most efficient one.
Kaviri et al. engaged in the planning and designing of CCPPs by utilizing the multi-objective exercise-based optimization technique via genetic algorithms [16]. Their study concentrated on the essential application of exercise analysis, specifically the capacity to analyze areas for improvement and the possibility of enhancement. Therefore, it was plainly obvious that the genetic algorithm was appropriate for solving the complex optimization issues with numerous parameters separately.
Using the methodology given in TicÃÂ?? et al. evaluated the ideal model for the CCPP with an emphasis on the factors of design [17]. They gave a wide variety of indices addressing various elements of the design and its influence on the operation of the plants. To check, they employed various sophisticated simulation technologies to confirm that the model is true.
Hajabdollahi et al. tried for an energy-based multi-objective optimization of a heat recovery steam generator (HRSG) in a combined cycle power plant (CCPP) using evolutionary algorithms. They employed it and stressed that optimization of the HRSG is vital to the attainment of higher plant efficiency [18]. However, it was obvious to the authors that the evolutionary method was especially beneficial for tackling the various goals. Based on the data above, Qu et al. projected the power production from a CCPP using a stacking ensemble and an application of optimal hyperparameters related to the grid search [19]. Their technique includes different kinds of machine learning for boosting the forecaster’s accuracy and the adjustment of operating parameters.
In the same context, Haji and Monje devised fractional order fuzzy PID control for CCPP that leverages particle swarm optimization for the determination of scaling factors in a dynamic approach [20]. About this, the authors of Their research proved how the implementation of modern control techniques allows the plant to perform efficiently regardless of conditions.
Boyaghchi and Molaie did the sophisticated exercise and environmental evaluations as well as applying the multi-objective optimization for the genuine CCPP plant with additional firing [21]. There, they employed evolutionary algorithms that resulted in a substantial improvement in terms of cost and efficiency, coupled with the environmental component.
Rezaie et al. employed a genetic algorithm for the optimization of the thermal design of HRSG in a CCPP [22]. Thus, their research concentrated on the approaches to enhancing thermal management and the design of the particular plant components, underscoring the potential of the genetic algorithms in overcoming the complexity of the optimization tasks. Javadi et al. worked on exergoeconomic and exergoenvironmental assessments of a CCPP [23]. In addition, they applied new multiple goal optimization methodologies to highlight the integration of economic and ecological objectives for the enhancement of overall plant objectives.
Fakhari et al. evaluated the CCPP plant with a triple-pressure heat recovery steam generator and steam injections in the combustion chamber to minimize NOx emissions and performed a 4E analysis combined with tri-objective optimization [24]. In their research, they underlined the necessity of implementing system-wide solutions that may tackle concurrently such challenges. In their work, Babaei Jamnani and Kardgar performed the exergy analysis to analyze the 396-MW CCPP plant and propose optimization suggestions regarding the key components [25]. Analyzing their data, they pointed out enormous chances of further raising the efficiency of operations owing to the optimization of these or those functions. Manesh et al. further explored the techno-economic, environmental, and emergy analysis of the integrating solar parabolic trough collector with multi-effect distillation system together with CCPP [26]. Due to their analysis, they demonstrated that there are positive externalities to putting into reality renewable energy resources in conjunction with traditional generating and distribution networks.
The Sáez et al. study focuses on the development of an adaptive hybrid predicitive control for CCPP optimization [27]. They employed real time stochastic control prediction with modifications to the plant's dynamic responses in their technique. Haghghi and co authors have also done a 4E analysis along with a MOGA of a CCPP linked with a desalination plant [28]. In their investigation, there was interaction between power production and the desalination of water to exhibit co-optimization. Xiang and Chen demonstrated how the bottom cycle and heat recuperation of CCPP might be strengthened for the development of the system’s performance [29]. The results of their published articles concentrated on the thermal management of different CCPP components and elements, with a heavy emphasis on the heat recovery component. Dirik examined an adaptive neuro-fuzzy inference system (ANFIS) constructed under the premise of a genetic algorithm with an effective application of a CCPP incorporating gas turbines, with an emphasis on methods to anticipate NOx emissions [30]. Their work revealed how such notions as complicated machine learning algorithms might be employed in emission reduction.
Aspen HYSYS is one of the most frequent process simulators that has been employed in research regarding power plants and their upgrades. Owing to this property, it would be recommended for simulating abstracted industrial processes, including CCPPs. Al-Lagtah et al. carried out a simulation and optimization on the Lekhwair natural gas sweetening plant with the use of Aspen HYSYS [31]. Thus, the research presented by them confirmed the efficiency of the tool with regards to process improvement and performance boosting in the utilization of the tool in the energy sector [32]. Roy and Amin utilized the case study of natural gas processing plant modeling using Aspen HYSYS to verify its applicability in complicated process simulation. Their findings validated the efficacy of the tool in the modeling of numerous processes in industrial settings.
Aspen HYSYS was used by Liu and Karimi to model a combined cycle gas turbine power system [33]. Their research presented a defined scientific approach to the plant; they utilized data from power plants to verify the dependability and utility of Aspen HYSYS concerning power plant simulations. Ghasemi et al. employed Aspen HYSYS in the modeling and retrofit studies of a binary geothermal power plant. It was also effective when their study utilized the program to model different kinds of power plants and how to enhance their performance [34]. Øi uses Aspen HYSYS to simulate CO2 capture by amine absorption from gas based power plants [35]. In their study, they pointed out that by utilizing the tool, one may model and create chemical processes and fine-tune techniques for emissions reduction.

In comparison with other simulation tools, Aspen HYSYS offers several advantages, including a user-friendly interface, comprehensive component libraries, and robust thermodynamic models. Its ability to integrate with optimization algorithms makes it particularly suited for detailed process optimization tasks. Other tools, such as MATLAB and ANSYS, also offer powerful simulation capabilities, but Aspen HYSYS's specific focus on chemical and process engineering applications often provides a more tailored solution for power plant simulations and optimizations.
Methodology
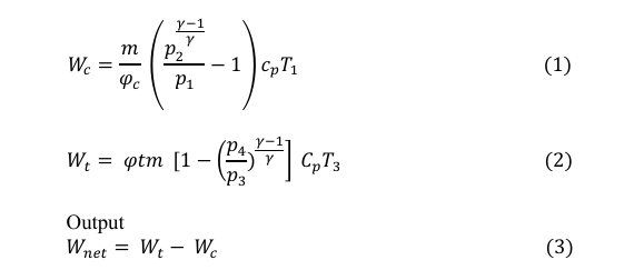
The model of the combined cycle power plant (CCPP) employed in this research is a comprehensive system to increase the efficiency of power production through the integration of the gas and steam turbines. The first primary task before them is to maximize the conversion of the usable energy from the fuel while at the same time using the waste heat.

Gas Turbine The gas turbine is hence the first component of the CCPP construction. It operates by the reciprocation of air and its subsequent mixing with fuel and burning of the same to create high pressure and high-temperature exhaust gases. The heated gases created expand into the turbine, which in turn provides mechanical power that drives an electric generator.

Heat Recovery Steam Generator (HRSG) The HRSG collects heat from the exhaust steam of the gas turbine but, in this instance, utilizes it to produce steam. This component is a vital prerequisite to achieving the optimization of the power plantâ??s efficiency. It generally comprises multiple HE components, like Economizers, evaporators, and super heaters are the components that act at various pressures with the purpose of saving fuel via heating. 
Steam Turbine The steam produced by the HRSG is utilized to create electricity by flowing through the steam turbine. Here, the high-pressure steam expands and cools, and the thermal energy is turned into mechanical energy. This in turn operates another electrical generator, creating more electricity with the same quantity of fuel input utilized in the gas turbine

Condenser Water is then returned to the condenser, where it is converted back into a liquid state by the use of colder external air or other means. This water is then returned to the HRSG, therefore ending the steam loop that has been produced. The use of effective condensers to remove heat from steam is crucial for sustaining the vacuum in steam turbines as well as for achieving acceptable results.

Electrical Generators Both the gas turbine and the steam turbine are connected with electrical generators. The gas turbine powers the first electrical generator, and the steam turbine drives the second electrical generator. Whereas the turbines create mechanical energy, the generated energy is converted to electrical energy for distribution in the power grid. The combination of all these generators lets the CCPP create a steady and constantly dependable power output. 
Auxiliary Systems The main components of the CCPP are backed up by a variety of auxiliary systems. Some of the categories of automotive systems are as follows: fuel supply system, lubrication system, cooling system, and control system. All these auxiliary systems are highly vital in ensuring the safe, efficient, and continuous production and supply of electricity at the power plant. Operational Mechanism The CCPP functions in the following way: initially, with the with the initiation of the gas turbine cycle. The working fluid, air, is compressed in the compressor component of the system, combined with fuel, and burned in the combustion chamber. The high energy exhaust gases flow through the turbine, where electricity is created. The exhaust heat from the aforesaid gas turbine is then transported to the HRSG to be utilized in making steam. This steam subsequently spins the steam turbine, which creates additional power. This combined cycle, whereby the gas and steam turbines are employed in a single cycle, boosts the thermal efficiency of the power plant. If a portion or all the waste heat from the gas turbine is caught and utilized in the CCPP, it may attain efficiencies of 60% or more and can greatly boost efficiency from the single cycle of power plants that range from 35 to 40%. 
In this study, a new CCPP model is created, and subsequently, the software Aspen HYSYS, a suitable process simulator, is applied. HYSYS of Aspen provides a tremendous chance in the area of the thermodynamic characteristics of every component and their interactions in the CCPP. The use of the program allows for the study of the specified power plant performance metrics as well as strategies of operation and design of the system. Key Parameters Temperature and Pressure Levels: The efficiency of the CCPP is therefore impacted, particularly by the operating temperatures and pressures of the gas turbine, HRSG, and steam turbine. In most applications, a rise in temperature and pressure raises the performance rating. Fuel Type and Quality: The type and standard of the fuel being utilized in the gas turbine may, in a substantial manner, impact the efficiency and emissions of the power plant. Some of the enhancement fluids used are: Natural gas is the most utilized enhancement fluid since it is efficient and favorable to the environment. Heat Recovery Efficiency: The degree of efficiency with which the HRSG is employed to recover and expel the waste heat generated by the gas turbine is one of the most critical components of CCPP performance. The model of a combined cycle power plant that has been utilized in this research integrates advanced heat-to-work conversion technology with simulation approaches to boost generating systems. In this manner, the CCPP takes the best from both gas and steam turbines to create the most efficient and ecologically friendly alternative for contemporary power production. Simulation Setup in Aspen HYSYS Setting up a simulation in Aspen HYSYS for optimizing a combined cycle power plant (CCPP) involves several detailed steps. This section outlines the comprehensive process, including the parameters and assumptions used.

Step-by-Step Process
Creating a New Case: It is wise to initiate this project by running the Aspen HYSYS program and creating a new case. Axes were received clearly, and your project name has evidently been specified before; therefore, it is suggested to save the file in order to maintain records of any modifications to be made in the future.
Setting the Fluid Package: Choose a legitimate fluid package that applies to the thermodynamics of the substances that are involved. For CCPP simulations, usually Peng-Robinson or Soave-Redlich Kwong equations of state may be utilized, deriving from the fact that high-temperature gas processes.
Defining Components: Thus, include the essential chemical components in a component list. CCPPs contain air, methane (natural gas), water, and combustion products, which are CO2, CO2, and NOx for a typical individual CCPP.
Modeling the Gas Turbine: There are so many varieties of equipment that are accessible on the equipment palette that can be used, and a gas turbine model has to be added. Enter the values for additional design parameters like intake air temperature, pressure, fuel flow rate, and efficiency of the turbine. Explain how to create the combustion chamber in the gas turbine model and the fuel types to be utilized, as well as the necessary air/fuel mixture ratio.
Heat Recovery Steam Generator (HRSG) Setup: Replace one of the heat exchangers with a heat exchanger model to represent the HRSG. The input streams should be characterized as the exhaust gas from the gas turbine and the output steam conditions. You need to specify the heat duty or the temperature approach of the heat exchanger if effective heat exchange is to be performed. Steam Turbine Configuration: Include the facility's steam turbine model on the flowsheet. Specify the intake steam pressure and temperature, as well as the efficiency of a turbin. Tie in the steam intake to the output of HRSG and the steam outlet to the condenser.
Condenser and Pump: The following equipment must be placed: A condenser model to condense the steam that is coming out of the steam turbine. Determine the needed cooling water intake and exit temperatures, as well as the condensing pressure. Place a pump, which will be utilized to circulate the condensed water back to the HRSG.
Electrical Generators: Couple the electrical generator models with the gas turbine as well as the steam turbine. Enter the efficiency of transitioning from mechanical energy to electrical energy.
Auxiliary Systems: Addition of other components like compressors, heat exchangers, control valves, etc. for the additional systems, if necessary. Make sure all the streams you have are linked correctly and the control systems are in the right functioning condition.
Parameters and Assumptions
*Thermodynamic Properties
Temperature and Pressure Levels: Gas turbine inlet air temperature is typically around 15°C, and pressure is at atmospheric conditions. The steam turbine inlet pressure is often set between 60-100 bar, with a temperature of 500-600°C. Fuel Composition: Natural gas is assumed to be predominantly methane (CH4), with small amounts of other hydrocarbons and inert gases.
Ambient Conditions: Standard atmospheric conditions are assumed, with ambient temperature at 15°C and pressure at 1 atm.
*Efficiency Values
Gas Turbine Efficiency: Typically ranges from 30% to 40%. Steam Turbine Efficiency: Generally between 80% and 90%. Generator Efficiency: Assumed to be around 98%.
*Heat Recovery
HRSG Efficiency: Set to approximately 85-90%, depending on the configuration and heat exchanger effectiveness. Heat Exchanger Approach Temperature: A temperature difference of 10-20°C is used to ensure effective heat transfer.
*Operational Constraints
Emissions Limits: Compliance with environmental regulations for NOx, CO, and CO4 emissions. Operational Flexibility: The model accounts for variations in load and part-load conditions to reflect real-world operations.
*Control Strategies
Combustion Control: Maintaining optimal air-to-fuel ratio to maximize efficiency and minimize emissions. Steam Cycle Control: Regulating the flow of steam and condensate to ensure stable operation of the steam turbine and HRSG.
*Economic Considerations
Fuel Cost: Based on current market prices for natural gas. Maintenance Costs: Factored in based on the operational hours and maintenance schedules of the turbines and HRSG. By following these detailed steps and assumptions, the simulation setup in Aspen HYSYS provides a comprehensive and realistic model of a combined cycle power plant. This model serves as the foundation for further optimization studies aimed at improving efficiency, reducing emissions, and enhancing overall performance.

The detailed methodology outlined here ensures a robust simulation setup in Aspen HYSYS, providing a strong foundation for optimizing the performance of combined cycle power plants. *Optimization Techniques The design and operation of combined cycle power plants are challenging because of socio-economic considerations and the interaction of diverse parts of the system. Goals include optimization of the efficiency of CCPPs, emissions, and operating costs. In the present study, genetic algorithms (GAs) are applied to enhance the transitory properties of CCPPs. Genetic algorithms can be characterized as a subcategory of evolutionary algorithms that are derived from the principles of natural selection and therefore used to solve extremely complex optimization problems in which the range of potential solutions is virtually immeasurable and non-linear, which is why the use of traditional optimization techniques here is ineffective. The descriptions of the fundamental processes of genetic algorithms are as follows: Genetic algorithms begin with the definition of a first population of possibly optimum solutions, which are encoded in a chromosome. These chromosomes are generally in the form of a 0/1 binary, an actual value, or any other encoding. The fitness of each chromosome is assessed with the use of an objective function for which thermal efficiency, fuel consumption, and emissions may be utilized depending on the circumstances. The fitness values allocated to the chromosomes get greater so that the chromosomes with higher values would be selected for mating, and this mimics natural selection.

The next phase in the genetic algorithm process is crossover, wherein a 'chosen' chromosome is'mated' with other selected word chromosomes with the aim of swapping portions of their strings, as in genetic recombination. This process leads to the formation of children who are different and carry features acquired from their two ancestors. In the present work, different crossover approaches, such as single point crossover, multiple point crossover, and uniform crossover, are applied in order to diversity the population. Due to the genetic-algorithm-based farmer selection process, to avoid genetic drift and being imprisoned in a limited optimal zone, a tiny fraction of random mutations is introduced into the chromosomes of the children inherited from the chosen farmers. These mutation rates are adjusted in such a manner as to bridge the gap between the exploitation of the promising regions in the search space and the forces that seek new great solutions.
The new generation of chromosomes formed by crossover and mutation replaces the old population and thus generates the next generation, repeating until a defined number of generations or particular solution requirements are reached. The algorithm ends its execution as soon as a given condition is fulfilled, for instance, the maximum number of generations in the search space or the fitness level that may be regarded as adequate.
The factors that led to the implementation of the genetic algorithm plan for CCPPs are as follows: Firstly, there is a large interaction between all components and processes of CCPPs, all of which exhibit nonlinear properties. Such complexity is adequately handled in genetic algorithms because they do not depend on gradients and are sufficiently flexible in vast nonlinear problem spaces. Secondly, CCPP optimization is, most of the time, a multiobjective issue, including, for instance, efficiency, emissions, and costs. Manual optimization has the capacity to handle numerous objective optimization problems, and in addition to this, it provides several answers known as Pareto solutions.
Also, genetic algorithms do not rely on the form and characteristics of the objective function as far as the shape of the function, which defines the optimization issue in the CCPP context, is concerned, and the producers of these algorithms do not employ derivative information. While, like with other local optimization techniques, they might be trapped at local optima, genetic algorithms carry out the search on a global level, which raises the possibility of discovering the global optima. CCPPs, for instance, may have an objective function that has numerous local optima owing to the linked structure of the system components, and thus global search capacity is highly significant.
Genetic algorithms are also readily scalable to allow for the use of huge populations and the addition of increasingly complicated models, which is vital for such simulations of complex systems such as CCPPs. Also, genetic algorithms have been successfully applied to the bulk of engineering optimization issues, including power plant optimization, which in turn creates a feeling of conviction in adopting them in the CCPPs.
To utilize genetic algorithms in the design of CCPPs, it begins with describing the optimization problem with objective functions, constraints, and decision variables. Some of the goals that may be used in the formulation of the objective functions of a CCPP include thermal efficiency, the rate of fuel consumption, and emission rates, while some of the constraints that may be employed include physical limitations of the operation, operational margins, and legal requirements. Depending on the issue formulation, we next determine where to map viable solutions or feasible optima and how to place them into chromosomes; choice variables are then picked and discretized into real values inside the chromosomes.
Subsequently, we propose the development of a fitness function that represents the performance of each chromosome based on the objectives and conditions established in the linked CCPP optimization issue. It is then selected which of the crossover and mutation operators must be utilized to develop new solutions; the ratio of crossover and mutation is also modified in this phase of the process to guarantee that the EA is searching sufficiently while not forgetting to search properly. It is then followed by the specified genetic algorithm for an appropriate number of generations to perform a complete search and arrive at viable answers.
Last of all, the evaluation of the solutions by the genetic algorithm is done in terms of feasibility and practicality for the operation of CCPP. To study the influence of numerous factors on the optimization solutions, sensitivity analysis is preferred by the researchers, which supplies vital information about the optimization process.
Data Collection and Analysis
In this section, we elaborate on the data collection methods In the next chapter, we discuss the data collection procedures employed and the methodology used for the evaluation of simulation results in our investigation of CCPP optimization.
Data Collection
The information employed in the course of the specific research is collected from diverse technical books, industry reports, and private databases. Data like the efficiency of the separate components, variables that restrict the operations of the plant, qualities of fuels, climatic conditions, and specifications of the equipment are collected to construct a good simulation of the CCPP model. Also, data from real operating plants may be included in the simulation to check the correctness of the model employed.
Analysis Techniques
The analysis of the simulation findings comprises an overall evaluation utilizing several methodologies dependent on the study’s goals. Algorithms like linear regression analysis, correlation analysis, and hypothesis testing may be applied to compare the input parameters with the performance characteristics. Further, sensitivity analysis to evaluate the variability of such variation is a technique for finding essential characteristics of the system and prospects that largely affect the optimization. In addition, plots, charts, and heat maps are employed in visualization to illustrate the spatial and temporal variability of certain criticalities and evolution patterns of the CCPP model parameters.
Result and Discussion
The overall purpose of this research was to enhance the performance of combined cycle power plants' (CCPPs) via modeling using Aspen HYSYS in an attempt to increase efficiency, decrease pollution, and reduce operating costs. This part illustrates the outcomes of the simulations and analysis that have been done, concentrating on the advancements that were acquired via optimization. This style is to provide a clear look at the performance increases in the areas of thermal efficiency, emissions, and cost.
In this manner, the simulation of the CCPP model using genetic algorithms in Aspen HYSYS favorably boosted the model's thermal efficiency. The aforementioned facts are presented in Table 3 and in Figure 4, emphasizing the difference between the baseline and optimized scenarios.

the optimization permitted attaining the minimal average cost at 8% lower than previously, which pointed to the economic success of the optimization tactics. Consequently, the findings of the current investigation are comparable with and enrich the preceding literature. For example, Ganjehkaviri et al. and Mohtaram et al. used optimization techniques and found an increase in efficiency and decrease in emissions; however, this study has shown higher improvement because of the use of the genetic algorithm and sensitivity analysis Interpreting the data shown in Table 1, optimization of the boiler house prolonged the period of stay at thermal optimum by an average of 3.7%, which illustrates the efficacy of the genetic algorithms with respect to fine-tuning the operating parameters of the CCPP. Emissions are also regulated in the research, specifically nitrogen oxides and carbon dioxide, which are extensively concentrated in the study. Table 4 and Figure 5 demonstrate the optimization outcomes of the emission levels. 
The optimization resulted in a major drop in NOx and CO2 emissions, where NOx has decreased by an approximate estimate of 28 percent and CO2 by around 7 percent. 3%, as shown in Figure 2, emphasizing the good influence on the environment that comes with the optimal functioning of the CCPP.

Operational cost analysis showed that optimization led to considerable cost savings. Table 5 and Figure 7 present the cost analysis for the baseline and optimized scenarios.

the optimization permitted attaining the minimal average cost at 8% lower than previously, which pointed to the economic success of the optimization tactics. Consequently, the findings of the current investigation are comparable with and enrich the preceding literature. For example, Ganjehkaviri et al. and Mohtaram et al. used optimization techniques and found an increase in efficiency and decrease in emissions; however, this study has shown higher improvement because of the use of the genetic algorithm and sensitivity analysis considering the specific case of Fahd's oil fields. This research also gives fresh information on the activity of cost-benefit decision-making connected to CCPP optimization, which, to the author's knowledge, has not been investigated by other writers [13,14]. Through the sensitivity analysis, the following factors strongly impacting the CCPP have been identified: The sensitivity of the thermal efficiency of the engine to the specified parameters is represented in Table 6 and Figure 4.

The analysis revealed that turbine inlet temperature and pressure ratio is the most influential factors affecting thermal efficiency. These findings help prioritize areas for further optimization efforts.
Discussion of Optimization Techniques
The results that have been acquired indicate the great performance of the genetic algorithms in optimizing the CCPP model. These algorithms are state-of-the art in optimizing functions and are fit for purpose for our study's objectives given that they can discover a solution in a multi-dimensional space. According to this point of view, solutions developed by genetic algorithms are more successful as compared with conventional techniques, exhibiting superior outcomes in terms of increased efficiency and reduction of emissions. Further study may concentrate on upgrading the genetic algorithm with another form of optimization algorithm for better outcomes, like particle swarm optimization.
Some of the significant characteristics and operating techniques that have been found in the current research may be directly implemented in actual plant models of CCPPs for the same improvement. These techniques are crucial and may be adopted by power plant operators as a means of enhancing efficiency, lowering emissions, and even regulating power plant expenses. However, implementation may bring certain obstacles, such as the creation of capital investment in improving technology and orienting workers.
Conclusion
This study has succeeded in illustrating how best to optimize combination cycle power plants (CCPPs) by employing Aspen HYSYS to raise thermal efficiency, lower pollution levels, and cut operating costs effectively. Through the use of genetic algorithms, effective CCPP operating parameters were found, therefore boosting the general efficiency of the CCPPs. According to the key findings, it has been realized that by applying optimization techniques, the thermal efficiency has been raised by a considerable percentage, while the appeal of NOx and CO2 emissions has been decreased to a significantly large amount, and at the same time, it has been found that the investment in them is cost effective to a large extent. This study offers a major contribution to tackling the optimization of the CCPP issue with the use of Aspen HYSYS, and the precise process given here will be helpful in benchmarking future research.
References
1. Sabouhi, H., Abbaspour, A., Fotuhi-Firuzabad, M., & Dehghanian, P. (2016). Reliability modeling and availability analysis of combined cycle power plants. International Journal of Electrical Power & Energy Systems, 79, 108-119.
2. Boyce, M. P. (2012). Combined cycle power plants. In Combined cycle systems for near-zero emission power generation (pp. 1-43). Woodhead Publishing.
3. Å?en, G., Nil, M., Mamur, H., DoÄ?an, H., Karamolla, M., Karaçor, M., ... & Bhuiyan, M. R. A. (2018). The effect of ambient temperature on electric power generation in natural gas combined cycle power plant—A case study. Energy Reports, 4, 682-690.
4. Deng, C., Al-Sammarraie, A. T., Ibrahim, T. K., Kosari, E., Basrawi, F., Ismail, F. B., & Abdalla, A. N. (2020). Air cooling techniques and corresponding impacts on combined cycle power plant (CCPP) performance: A review. International Journal of Refrigeration, 120, 161-177.
5. Dev, N., & Attri, R. (2015). Performance analysis of combined cycle power plant. Frontiers in Energy, 9, 371-386.
6. Memon, A. G., Memon, R. A., & Qureshi, S. (2017). Thermo environmental and economic analyses of combined cycle power plants with regression modelling and optimization. Applied Thermal Engineering, 125, 489-512.
7. Chuang, C. C., & Sue, D. C. (2005). Performance effects of combined cycle power plant with variable condenser pressure and loading. Energy, 30(10), 1793-1801.
8. Ameri, M., Ahmadi, P. O. U. R. I. A., & Khanmohammadi, S. H. O. A. I. B. (2008). Exergy analysis of a 420 MW combined cycle power plant. International journal of energy research, 32(2), 175-183.
9. Klimenko, A. V., Agababov, V. S., Rogova, A. A., & Tideman, P. A. (2015). Specific features of combined generation of electric power, heat, and cold by combined-cycle plants. Thermal Engineering, 62, 166-170.
10. Wu, G., & Li, Z. S. (2021). Cyber–Physical Power System (CPPS): a review on measures and optimization methods of system resilience. Frontiers of Engineering Management, 8(4), 503-518.
11. Pravin, P. S., Tan, J. Z. M., Yap, K. S., & Wu, Z. (2022). Hyperparameter optimization strategies for machine learning based stochastic energy efficient scheduling in cyber-physical production systems. Digital Chemical Engineering, 4, 100047.
12. Song, J., Zhang, Z., Mu, Y., Wang, X., Chen, H., Pan, Q., & Li, Y. (2024). Enhancing envrionmental sustainability via interval optimization for low-carbon economic dispatch in renewable energy power systems: Leveraging the flexible cooperation of wind energy and carbon capture power plants. Journal of Cleaner Production, 442, 140937.
13. Ganjehkaviri, A., Jaafar, M. M., & Hosseini, S. E. (2015). Optimization and the effect of steam turbine outlet quality on the output power of a combined cycle power plant. Energy Conversion and Management, 89, 231-243.
14. Mohtaram, S., Sun, H., Lin, J., Chen, W., & Sun, Y. (2020). Multi-Objective Evolutionary Optimization & 4E analysis of a bulky combined cycle power plant by CO2/CO/NOx reduction and cost controlling targets. Renewable and Sustainable Energy Reviews, 128, 109898.
15. Ahmadi, P., & Dincer, I. (2011). Thermodynamic analysis and thermoeconomic optimization of a dual pressure combined cycle power plant with a supplementary firing unit. Energy Conversion and Management, 52(5), 2296-2308.
16. Kaviri, A. G., Jaafar, M. N. M., & Lazim, T. M. (2012). Modeling and multi-objective exergy based optimization of a combined cycle power plant using a genetic algorithm. Energy conversion and management, 58, 94-103.
17. TicÄ?, A., Guéguen, H., Dumur, D., Faille, D., & Davelaar, F. (2012). Design of a combined cycle power plant model for optimization. Applied energy, 98, 256-265.
18. Hajabdollahi, H., Ahmadi, P., & Dincer, I. (2011). An exergy based multi-objective optimization of a heat recovery steam generator (HRSG) in a combined cycle power plant (CCPP) using evolutionary algorithm. International Journal of Green Energy, 8(1), 44-64.
19. Qu, Z., Xu, J., Wang, Z., Chi, R., & Liu, H. (2021). Prediction of electricity generation from a combined cycle power plant based on a stacking ensemble and its hyperparameter optimization with a grid-search method. Energy, 227, 120309.
20. Haji, V. H., & Monje, C. A. (2017). Fractional order fuzzy PID control of a combined cycle power plant using Particle Swarm Optimization algorithm with an improved dynamic parameters selection. Applied soft computing, 58, 256-264.
21. Boyaghchi, F. A., & Molaie, H. (2015). Advanced exergy and environmental analyses and multi objective optimization of a real combined cycle power plant with supplementary firing using evolutionary algorithm. Energy, 93, 2267-2279.
22. Rezaie, A., Tsatsaronis, G., & Hellwig, U. (2019). Thermal design and optimization of a heat recovery steam generator in a combined-cycle power plant by applying a genetic algorithm. Energy, 168, 346-357.
23. Javadi, M. A., Hoseinzadeh, S., Khalaji, M., & Ghasemiasl, R. (2019). Optimization and analysis of exergy, economic, and environmental of a combined cycle power plant. SÄdhanÄ, 44, 1-11.
24. Fakhari, I., Behinfar, P., Raymand, F., Azad, A., Ahmadi, P., Houshfar, E., & Ashjaee, M. (2021). 4E analysis and tri objective optimization of a triple-pressure combined cycle power plant with combustion chamber steam injection to control NO x emission. Journal of Thermal Analysis and Calorimetry, 145, 1317-1333.
25. Babaei Jamnani, M., & Kardgar, A. (2020). Energyâ?exergy performance assessment with optimization guidance for the components of the 396â?MW combinedâ?cycle power plant. Energy Science & Engineering, 8(10), 3561-3574.
26. Manesh, M. H. K., Aghdam, M. H., Modabber, H. V., Ghasemi, A., & Talkhoncheh, M. K. (2022). Techno-economic, environmental and emergy analysis and optimization of integrated solar parabolic trough collector and multi effect distillation systems with a combined cycle power plant. Energy, 240, 122499.
27. Sáez, D., Zúniga, R., & Cipriano, A. (2008). Adaptive hybrid predictive control for a combined cycle power plant optimization. International Journal of Adaptive Control and Signal Processing, 22(2), 198-220.
28. Haghghi, B., Saleh, A., Hajabdollahi, H., & Dehaj, M. S. (2022). J of App Eng Education, 2025 A combined cycle power plant integrated with a desalination system: Energy, exergy, economic and environmental (4E) analysis and multi-objective optimization. Korean Journal of Chemical Engineering, 39(7), 1688-1708.
29. Xiang, W., & Chen, Y. (2007). Performance improvement of combined cycle power plant based on the optimization of the bottom cycle and heat recuperation. Journal of Thermal Science, 16, 84-89.
30. Dirik, M. (2022). Prediction of NOx emissions from gas turbines of a combined cycle power plant using an ANFIS model optimized by GA. Fuel, 321, 124037.
31. Al-Lagtah, N. M., Al-Habsi, S., & Onaizi, S. A. (2015). Optimization and performance improvement of Lekhwair natural gas sweetening plant using Aspen HYSYS. Journal of Natural Gas Science and Engineering, 26, 367-381.
32. Roy, P. S., & Amin, M. R. (2011). Aspen-HYSYS simulation of natural gas processing plant. Journal of Chemical Engineering, 26(1), 62-65.
33. Liu, Z., & Karimi, I. A. (2019). Simulation of a combined cycle gas turbine power plant in Aspen HYSYS. Energy Procedia, 158, 3620-3625.
34. Ghasemi, H., Paci, M., Tizzanini, A., & Mitsos, A. (2013). Modeling and optimization of a binary geothermal power plant. Energy, 50, 412-428.
35. Øi, L. E. (2007, December). Aspen HYSYS simulation of CO2 removal by amine absorption from a gas based power plant. In The 48th Scandinavian Conference on Simulation and Modeling (SIMS 2007), 30-31 October, 2007, Göteborg (Särö) (pp. 73-81).

