Research Article - (2025) Volume 8, Issue 3
On A function with Switch Effect
Received Date: May 05, 2025 / Accepted Date: Jun 24, 2025 / Published Date: Jul 14, 2025
Copyright: ©2025 Uchida Keitaroh. This is an open-access article distributed under the terms of the Creative Commons Attribution License, which permits unrestricted use, distribution, and reproduction in any medium, provided the original author and source are credited.
Citation: Keitaroh, U. (2025). On A function with Switch Effect. Adv Theo Comp Phy, 8(3), 01-04.
Abstract
The content of this paper explains the application of the switch effect of the derivative of |x|, and it is by no means a research result on functions with singularities, nor is it a research result on division by zero. This paper has nothing to do with research result on the singularity or division by zero.
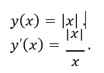
The Derivative of |x|
This chapter shows the feature of the derivative of |x|.
X ∈ R.

Figure 1: Graph of y = |x|

adopt the rule that its value is 1. This rule is based on exponential law, and it is a natural gift rooted in the Napier number e.
The Rules of Replace
This chapter shows the rules for replacing undefined symbols with numerical values.
Rule 1:

Applications of the Rules
This chapter shows the applications by using Rule 1 and Rule 2 above.
3.1.




Conclusion
The Result Derived From the Function with Switch Effect

I believe that the Napier number e will guide us humans on the path to a correct understanding of providence.
Conclusion
The Result Derived From the Function with Switch Effect

I believe that the Napier number e will guide us humans on the path to a correct understanding of providence.
References
- H. Okumura, S. Saitoh, K. Uchida. (2021). On the Elementary Function y=|x| and Division by Zero Calculus.
- Keitaroh, U. (2024). Uchida’s Step Function. Adv Theo Comp Phy, 7(4), 01-02.
