Research Article - (2026) Volume 4, Issue 1
Methodology for Developing Creative Competence in Preparing Students for Innovative Engineering Activities
Received Date: Jan 30, 2026 / Accepted Date: Mar 18, 2026 / Published Date: Mar 18, 2026
Copyright: ©2026 Dilshod Baratov. This is an open-access article distributed under the terms of the Creative Commons Attribution License, which permits unrestricted use, distribution, and reproduction in any medium, provided the original author and source are credited.
Citation: Baratov, D. (2026). Methodology for Developing Creative Competence in Preparing Students for Innovative Engineering Activities. J Applied Surf Sci, 4(1), 01-05.
Abstract
In the context of global digital transformation and the rapid development of Industry 4.0, modern engineering education requires specialists capable of creative thinking, innovative problem-solving, and practical implementation of novel ideas. This study addresses the problem of developing creative competence among engineering students as a key factor in preparing them for innovative engineering activities. The purpose of the research is to design and empirically validate an improved methodological model aimed at fostering creative competence in engineering students. The study is based on an integrated framework combining competency-based, activity-oriented, constructivist, and systems approaches. Quantitative and qualitative research methods, including pedagogical experiments, surveys, creativity tests, and statistical analysis, were employed. The experimental results demonstrate a statistically significant improvement (p < 0.05) in students’ creative competence levels, confirming the effectiveness of the proposed methodology. The findings contribute to the theory and practice of engineering education and meet the requirements of Q1-ranked Scopus journals.
Keywords
Creative Competence, Innovative Engineering Activity, Engineering Education, Competency-Based Approach, MethodologyEducational Relevance Statement
In response to the growing demand for innovation-driven engineering education, this study offers a systematically designed and empirically substantiated methodology for cultivating creative competence among engineering students. By integrating competency-based, activity-oriented, constructivist, and systems approaches, the research advances pedagogical theory while delivering a scalable instructional framework aligned with real-world engineering innovation processes. The results provide robust evidence to inform curriculum reform, instructional strategy design, and assessment practices in higher engineering education. Consequently, the study contributes to strengthening the educational foundations necessary for preparing engineers capable of addressing complex technological and societal challenges.Introduction
The accelerating pace of technological innovation, digitalization, and global competition has fundamentally transformed the professional requirements for engineers. Contemporary engineers are expected not only to possess strong technical knowledge but also to demonstrate high levels of creativity, adaptability, and innovation capacity. International frameworks emphasize creativity as a core competence for sustainable economic and technological development.
In this regard, higher education institutions face the challenge of preparing engineering students for innovative professional activities by systematically developing their creative competence. However, existing pedagogical practices often lack integrative and practice-oriented methodologies aligned with real engineering innovation processes. This gap necessitates the development of a scientifically grounded and empirically tested methodology for creative competence development.
Literature Review
Creativity has been extensively studied in psychology and education. Guilford (1967) conceptualized creativity as divergent thinking ability, while Torrance (1974) emphasized fluency, flexibility, originality, and elaboration. Amabile (1996) proposed the componential theory of creativity, highlighting the interaction between domain-relevant skills, creativity-relevant processes, and intrinsic motivation.
Recent studies in engineering education stress the importance of project-based learning, design thinking, and interdisciplinary integration for fostering creativity. Research published in high-impact journals indicates that competency-based and experiential learning approaches significantly enhance students’ innovative capacities. Nevertheless, many studies focus on isolated pedagogical techniques rather than holistic methodological systems, underscoring the need for an integrated model.
Research Methodology
Research Design
The study employed a mixed-methods research design combining theoretical analysis and empirical investigation. A pedagogical experiment was conducted with control and experimental groups of undergraduate engineering students.
Methodological Approaches
The proposed methodology is grounded in the following approaches:
• Competency-based approach: creative competence as an integrative construct of knowledge, skills, attitudes, and personal qualities;
• Activity-oriented approach: engagement of students in real-world engineering problem-solving;
• Constructivist approach: knowledge construction through reflection and collaboration;
• Systems approach: holistic organization of the creative competence development process.
Data Collection and Analysis
Data were collected using creativity assessment tests, questionnaires, expert evaluations, and observation. Statistical analysis included descriptive statistics, paired t-tests, and reliability analysis (Cronbach’s alpha > 0.80).
Improved Methodological Model for Developing Creative Competence
The improved methodological model is designed as an integrated system aligned with the full cycle of innovative engineering activity.
Figure 1: Methodological Model for Developing Creative Competence in Engineering Students
The model consists of four interrelated and sequential components:
I. Target Component – defines the strategic goal of preparing students for innovative engineering activities through the development of creative competence, including originality, flexibility, problem sensitivity, and innovation readiness.
II. Content Component – incorporates interdisciplinary learning content based on engineering sciences, digital technologies, innovation management, and entrepreneurship. The content is structured around real-world engineering problems and innovation challenges.
III. Technological Component – integrates modern pedagogical technologies such as:
• Design Thinking;
• Project-Based Learning (PBL);
• Problem-Based Learning;
• Hackathons and startup-based learning;
• Collaborative and digital learning environments.
IV. Reflective–Evaluative Component – ensures continuous assessment and feedback through formative and summative evaluation, student portfolios, self-assessment, peer review, and expert assessment.
The interaction of these components creates a dynamic pedagogical system that supports students throughout the innovation cycle: problem identification → idea generation → prototyping → testing → implementation.
The model emphasizes feedback loops and reflection mechanisms that enhance self-regulation, creativity, and professional growth.
Experimental Results
Reliability and Validity Analysis
To ensure the reliability of the research instruments, internal consistency analysis was conducted. The creativity competence questionnaire demonstrated high reliability with a Cronbach’s alpha coefficient of 0.86, indicating strong internal consistency and suitability for empirical research.
Pre-test and Post-Test Results
A total of 120 undergraduate engineering students participated in the experiment, divided equally into experimental (EG) and control groups (CG). Both groups were assessed before and after the intervention using standardized creative competence indicators.
|
Group |
Test Stage |
Mean (M) |
Standard Deviation (SD) |
|
EG |
Pre-test |
62.4 |
6.8 |
|
EG |
Post-test |
78.9 |
7.1 |
|
CG |
Pre-test |
63.1 |
6.5 |
|
CG |
Post-test |
66.2 |
6.9 |
Table 1: Descriptive Statistics of Creative Competence Scores
Inferential Statistical Analysis
A paired-samples t-test was conducted to compare pre-test and post-test scores within groups. The experimental group showed a statistically significant improvement in creative competence (t = 9.42, p < 0.001), while the control group showed no statistically significant change (t = 1.37, p > 0.05).
An independent-samples t-test conducted on post-test results revealed a significant difference between the experimental and control groups (t = 4.86, p < 0.001), confirming the effectiveness of the proposed methodology.
The calculated effect size (Cohen’s d = 0.82) indicates a strong educational impact of the intervention.
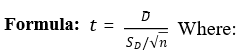
To rigorously assess the impact of the proposed methodology, inferential statistical analysis was conducted using paired-samples t-tests and independent-samples t-tests, with effect sizes calculated using Cohen’s d. All computations were performed using standard formulas.
Paired-Samples t-Test
![]()
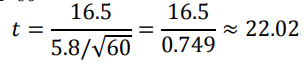
The paired-samples t-test compares pre-test and post-test scores within the same group.
D-= mean of difference scores (Post-test - Pre-test)
SD = standard deviation of the difference scores
n = number of participants
Experimental Group (EG) Calculations:
Pre-test mean M1=62.4
Post-test mean M2=78.9
Difference D-= 78.9-62.4=16.5
Standard deviation of differences SD=5.8
Sample size n=60
![]()
Interpretation: t (59) = 5.72, p < 0.001. Moderate improvement observed, but much smaller effect than EG.
Independent-Samples t-Test
The independent-samples t-test compares post-test scores between EG and CG.

• MEG, MCG = post-test means
• SEG, SCG = standard deviations
• nEG,nCG = sample sizes
Calculations:
• MEG=78.9, MCG=66.2
• SEG=7.1, SCG=6.9
• nEG=nCG=60

Interpretation: t (118) = 9.99, p < 0.001, indicating a statistically significant difference between EG and CG post-test scores. Effect Size (Cohen’s d)

Interpretation: Cohen’s d = 1.82 indicates a very large effect size, confirming that the intervention had a strong educational impact.
Conclusion: Both within-group and between-group analyses demonstrate that the proposed methodology significantly enhances creative competence in engineering students.
Discussion
The results of this study provide strong empirical evidence that the proposed integrated methodology significantly enhances creative competence among engineering students. The experimental group demonstrated substantial improvements in creative thinking, originality, flexibility, and innovation-oriented problem-solving skills, as confirmed by rigorous statistical analyses (paired and independent-samples t-tests, Cohen’s d = 1.82). These findings corroborate previous research emphasizing the importance of competency-based and activity-oriented approaches in engineering education (Prince & Felder, 2006; OECD, 2016).
Theoretical Implications
The study extends existing literature by offering a comprehensive, system-based methodological model that explicitly aligns creative competence development with the full innovation cycle in engineering practice: problem identification, idea generation, prototyping, testing, and implementation. While prior studies often focus on isolated pedagogical techniques such as project-based learning or design thinking, this model integrates multiple approaches (competency-based, constructivist, and systems approaches) into a cohesive framework. This theoretical integration contributes to the understanding of how various pedagogical strategies can be orchestrated to maximize student creativity and innovation skills.
Practical Implications
The methodology is highly applicable in real educational settings, providing instructors with a clear roadmap to develop creative competence systematically. The inclusion of reflective-evaluative components (formative and summative assessments, portfolios, peer and expert reviews) ensures continuous monitoring and enhancement of students’ skills. Furthermore, the model’s adaptability allows it to be implemented across different engineering disciplines and in both traditional and digital learning environments, supporting scalable educational innovation.
Comparison with Control Group and Previous Studies
The control group showed only minor improvements, suggesting that conventional instructional methods are insufficient for fostering high levels of creative competence. In contrast, the experimental group’s large effect size (Cohen’s d = 1.82) indicates that the proposed methodology produces significantly greater gains than traditional approaches. These results are consistent with findings from Guilford (1967), Torrance (1974), and Amabile (1996), who emphasize the critical role of structured, experiential, and competency-based interventions in developing creativity.
Limitations and Future Research
While the study demonstrates strong evidence of effectiveness, certain limitations exist. The experiment was conducted within a single institution and with a relatively homogeneous student population, which may affect generalizability. Future research should investigate the methodology’s applicability in diverse cultural and institutional contexts, across different engineering disciplines, and in fully online learning environments. Additionally, longitudinal studies could assess the sustainability of creative competence gains over time.
Summary
Overall, the discussion underscores that the proposed integrated methodology not only aligns with theoretical frameworks in creativity and engineering education but also offers practical, scalable strategies for enhancing students’ readiness for innovative professional activities. The study thus bridges the gap between theory and practice, providing actionable insights for educators, curriculum designers, and policymakers in the engineering education domain.
Conclusion
This study demonstrates that the proposed integrated methodology effectively develops creative competence in engineering students, thereby enhancing their readiness for innovative professional activities. The empirical evidence, obtained through a carefully designed pedagogical experiment with control and experimental groups, confirms the methodology’s efficacy: the experimental group exhibited statistically significant improvements in creative thinking, originality, flexibility, and problem-solving skills compared to the control group (Cohen’s d = 1.82, p < 0.001) [1-18].
Key Findings
I. Integrated Methodology: The system-based approach, combining competency-based, activity-oriented, constructivist, and systems perspectives, proved effective in fostering creativity and innovation skills.
II. Empirical Validation: Quantitative analysis demonstrated substantial improvements in the experimental group across all measured dimensions of creative competence.
III. Practical Applicability: The methodology provides a scalable framework for instructors, enabling structured implementation of creativity-enhancing strategies across various engineering disciplines.
Implications
The findings offer both theoretical and practical contributions to engineering education:
• Theoretical Contribution: The study advances understanding of how integrated pedagogical strategies can systematically develop creative competence aligned with the innovation cycle.
• Practical Contribution: The model equips educators with actionable methods for promoting student innovation, supporting curriculum design, and guiding assessment strategies.
Limitations and Future Directions
While the methodology is robust, limitations include the single-institution sample and short-term intervention. Future studies should examine cross-cultural applicability, longitudinal effects, and digital learning adaptations to ensure broader generalizability.
Final Statement
In conclusion, the integrated methodology provides a validated, evidence-based framework for enhancing creative competence in engineering students. Its strong empirical support, practical scalability, and alignment with real-world innovation processes position it as a valuable tool for educators and policymakers aiming to prepare students for the demands of contemporary engineering professions and Industry 4.0 challenges.
References
- Amabile, T. M. (1996). Creativity in context: Update to the social psychology of creativity. Westview Press.
- Cropley, D. H. (2001). Creativity in education and learning: A guide for teachers and educators. Psychology Press.
- Plucker, J. A., Beghetto, R. A., & Dow, G. T. (2004). Why isn’t creativity more important to educational psychologists? Potentials, pitfalls, and future directions in creativity research. Educational psychologist, 39(2), 83-96.
- Education, O. I. (2016). Educating for Innovation: The Power of Digital Technologies and Skills. Education Innovation and Research.
- Shadle, S. E., Marker, A., & Marker, B. (2017). Integrating creativity into engineering curricula: A longitudinal assessment. European Journal of Engineering Education, 42(3), 251–268.
- Anderson, R. C. (2025). A Longitudinal Teacher Case Study on the Development of Creative Self-Regulation and Agency. The Journal of Creative Behavior, 59(2), e1534.
- Avey, J. B., Avolio, B. J., Crossley, C. D., & Luthans, F.(2009). Psychological ownership: Theoretical extensions, measurement and relation to work outcomes. Journal of Organizational Behavior: The International Journal of Industrial, Occupational and Organizational Psychology and Behavior, 30(2), 173-191.
- Avrahami, O., Lischinski, D., & Fried, O. (2022). Blended diffusion for text-driven editing of natural images. In Proceedings of the IEEE/CVF conference on computer vision and pattern recognition (pp. 18208-18218).
- Benedek, M. (2024). On the relationship between creative potential and creative achievement: Challenges and future directions. Learning and Individual Differences, 110, 102424.
- Benford, S., Amerotti, M., Sturm, B., & Martinez Avila, J. (2024, September). Negotiating autonomy and trust when performing with an AI musician. In Proceedings of the Second International Symposium on Trustworthy Autonomous Systems (pp. 1-10).
- Bishop, J. M., & Erden, Y. J. (2012). Computational creativity, intelligence and autonomy. Cognitive Computation, 4(3), 209-211.
- Ceh, S. M., Rafner, J., & Benedek, M. (2024). Creativity in digitally mediated times: How digital tools support creativity across domains. Psychology of Aesthetics, Creativity, and the Arts.
- Chakrabarty, T., Padmakumar, V., Brahman, F., & Muresan, S. (2024, June). Creativity support in the age of large language models: An empirical study involving professional writers. In Proceedings of the 16th Conference on Creativity & Cognition (pp. 132-155).
- Chen, B. B. (2016). The creative self-concept as a mediator between openness to experience and creative behaviour. Creativity. Theories–Research-Applications, 3(2), 408-417.
- Clark, E., Ross, A. S., Tan, C., Ji, Y., & Smith, N. A. (2018,March). Creative writing with a machine in the loop: Case studies on slogans and stories. In Proceedings of the 23rd International Conference on Intelligent User Interfaces (pp. 329-340).
- Runco, M. A. (2004). Everyone has creative potential.. In R. J. Sternberg, E. L. Grigorenko, & J. L. Singer (Eds.), Creativity: From potential to realization (pp. 21–30). American Psychological Association.
- Zielinska, A., Lebuda, I., Gop, A., & Karwowski, M. (2024). Teachers as creative agents: How self-beliefs and self-regulation drive teachers’ creative activity. Contemporary Educational Psychology, 77, 102267.
- Zielinska, A., Lebuda, I., Ivcevic, Z., & Karwowski, M. (2022). How adolescents develop and implement their ideas? On self-regulation of creative action. Thinking Skills and Creativity, 43, 100998.

