Research Article - (2025) Volume 8, Issue 3
Gravitation in the Theory of the Four-Dimensional Electromagnetic Universe (4DEU): Weak-Field Relativistic Effects from Spatial Curvature Alone
Received Date: Jun 18, 2025 / Accepted Date: Jul 18, 2025 / Published Date: Jul 22, 2025
Copyright: ©2025 Domenico Maglione. This is an open-access article distributed under the terms of the Creative Commons Attribution License, which permits unrestricted use, distribution, and reproduction in any medium, provided the original author and source are credited.
Citation: Maglione, D. (2025). Gravitation in the Theory of the Four-Dimensional Electromagnetic Universe (4DEU): Weak-Field Relativistic Effects from Spatial Curvature Alone. Adv Theo Comp Phy, 8(3), 01-26.
Abstract
This work presents a reinterpretation of gravity within the Theory of the Four-Dimensional Electromagnetic Universe (4DEU), where the universe is modeled as a four-dimensional hypersphere expanding at a constant rate equal to c along a real fourth spatial dimension, perceived as the flow of time. In this framework, the fundamental entities are Temporal Waves (TWs): standing electromagnetic waves oscillating exclusively along the temporal dimension. According to the Restricted Holographic Principle of the 4DEU theory, physical phenomena occurring along the temporal dimension manifest within the three-dimensional spatial hypersurface (our observable universe, where we exist) in a qualitatively transformed but quantitatively proportional manner. A central consequence is that TW energy manifests as mass quanta in 3D space. Moreover, the net radiation pressure from TWs, perpendicular to the 3D hypersurface, drives the expansion of the entire 4D universe.
Gravity is proposed to result from local variations in TW density within the 4D universe. Higher TW density corresponds to greater mass in 3D, implying stronger localized TW radiation pressure that induces increased spatial curvature. Although conceptually distinct from General Relativity (GR), the weak-field predictions of the 4DEU framework are in exact agreement with it. This equivalence rigorously accounts for all experimentally verified gravitational phenomena— including gravitational redshift, light deflection, Shapiro time delay, and perihelion precession—arising independently of the GR formalism, but from a real 4D universe curved only in its spatial (3D) portion. The 4DEU theory is thus fully consistent with current gravitational observations in all domains where GR has been tested.
Keywords
Four-Dimensional Electromagnetic Universe Theory (4DEU), Restricted Holographic Principle, Temporal Waves (TWs), Radiation Pressure, Gravitational Redshift, Perihelion Precession Of Mercury, Shapiro Time Delay, Light Deflection, General Relativity
Introduction
Theoretical Background: From General Relativity to the 4DEU Theory
General Relativity (GR), formulated by Einstein in 1915, describes gravity as the "curvature" of a four-dimensional pseudo- Riemannian spacetime caused by the presence of mass-energy. This "curvature" governs the motion of objects and the propagation of light, leading to well-verified predictions such as gravitational time dilation, redshift, and lensing [1]. Despite its empirical success, GR presents unresolved conceptual and theoretical challenges. Its incompatibility with quantum mechanics and the absence of a fundamental explanation for why mass-energy 'curves' spacetime all suggest that a deeper framework may be required [2].
The Theory of the Four-Dimensional Electromagnetic Universe (4DEU) [3-5]. Offers a radically different perspective, based on the existence of a real four-dimensional (4D) hypersphere. The fundamental reference system in 4DEU is the privileged reference frame, centered at the Big Bang, with coordinates (0,0,0,0). In this system, all physical quantities are expressed in their privileged form, meaning that they are measured relative to this absolute frame, rather than being dependent on the observer’s motion as in General Relativity (GR) [3].
A key distinction between 4DEU and GR lies in the nature of the fourth dimension. In GR, time is treated as an imaginary coordinate in the Minkowski metric, making spacetime a pseudo- Riemannian manifold. In contrast, in 4DEU, the fourth dimension is a real geometric coordinate along which the universe expands, and which is perceived as the flow of time. This coordinate also represents the radius of the 4D hypersphere that constitutes the universe [3]. The expansion of the universe occurs along this fourth spatial dimension at a constant rate c, and we perceive this expansion as the passage of time, following the relation:

where R is the radius of the universe, T is the privileged time, and c is the velocity of light in vacuum. Rather than describing motion through time, Equation (1.1) expresses a fundamental equivalence between space and time established by Postulate 2 (the Restricted Holographic Principle) [3] of the 4DEU theory, in which c acts as a mere conversion factor between the two units historically used to measure spatial and temporal intervals. In this respect, the role of c is analogous to its function in the well-known equation E = mc2, where c2 serves as a conversion factor between mass and energy. This formulation implies that the privileged time remains invariant throughout the entire 4D universe, including its 3D portion where we exist. The expansion of the universe along the fourth dimension occurs at a constant rate equal to the speed of light, meaning that every approximately 3 × 108 meters of expansion, along the fourth dimension, correspond to exactly one second of privileged time.
Since, as postulated in 4DEU theory, the entire universe expands at rate c, this implies that at any point within the 4D universe, including its 3D portion, the privileged time always flows at the same rate. This invariance is postulated to hold throughout the 4D universe, including in regions of strong curvature such as black holes. In other words, the privileged time numerically coincides with the proper time only when the events being measured occur within the observer’s own reference frame. This distinction ensures compatibility with the frame-local nature of proper time in General Relativity, while preserving the geometric interpretation of T as a universal temporal coordinate in the 4DEU framework.
In order to formulate a unified treatment valid for both General Relativity and the 4DEU theory, we adopt the following general definition: proper time is the time measured by a clock located in the same local reference frame, whether inertial, accelerated, or subject to a gravitational field, in which the events to be measured occur. This operational and frame-local definition of proper time applies consistently within each theoretical framework, but with distinct interpretations. In General Relativity (GR), proper time corresponds to the length of an observer’s worldline and is defined locally, depending on both the gravitational field and the observer’s motion through spacetime, as classically established in the literature [2]. In contrast, the Four-Dimensional Electromagnetic Universe (4DEU) introduces a different concept: a global privileged time T, which flows uniformly throughout the entire 4D Euclidean universe. While it is measured locally on each observer’s clock, T is not trajectory-dependent; it is instead identified with the geometric evolution of the universe itself along the real temporal dimension—namely, the radial coordinate l of the 4D universe.
For this reason, in the present work we adopt the notation T to denote this privileged time. Importantly, T is not equivalent to the proper time τ in GR. Rather, it defines a universal temporal parameter that advances identically for all observers, independently of gravitational potential or relative motion. Its geometric meaning corresponds to the extrinsic radial coordinate l of the 4D hypersphere—that is, the coordinate along the real temporal dimension that coincides with the radius of the universe.In the 4DEU framework, the evolution of the universe is described as a uniform radial expansion along this real time dimension. In contrast to General Relativity, where the proper time τ is defined only along specific trajectories, T represents a universal temporal parameter that increases uniformly throughout the entire universe, independently of reference frame or gravitational field.
To clarify this, consider the following example: if two observers— one near a black hole, the other far away—each measure 1 second on their own clock, and the events they are timing occur locally within their respective frames, then in 4DEU both have experienced the same privileged time interval T = 1second. This equivalence holds only because each observer is measuring events occurring locally in their own frame. In general, privileged time T coincides with proper time τ only when the events being measured occur within the same reference frame as the observer, ensuring compatibility with the frame-local definition of proper time in GR. This means that for both, the universe has physically expanded by c privileged kilometers along the fourth spatial dimension (the real Time dimension).
In General Relativity, the same two observers also measure τ = 1 "s" locally on their clocks. However, these measurements are not globally comparable: the same unit of proper time for one observer may correspond to a longer or shorter interval from the perspective of the other observer. This reflects the relativity of time in Einstein’s framework. These examples indicate that in the 4DEU model, privileged time T functions as a universal and invariant temporal metric, directly linked to the expansion of the universe along its real temporal dimension. This framework also resolves a potential inconsistency present in General Relativity concerning the expansion of the universe as described by the Hubble parameter. The issue arises from the fact that the measurement of cosmic expansion depends on the observer’s gravitational environment or state of motion [5]. While a distant observer may describe the universe as expanding according to the Hubble parameter, an observer either moving at relativistic speed or located near a black hole’s event horizon would measure the external universe as increasingly redshifted and slowed, due to time dilation effects. In the limiting case, cosmic expansion would appear to freeze from their perspective.
In contrast, the 4DEU model resolves this paradox by introducing a privileged time T that flows identically for all observers, provided that measurements are made within their own local frame. This ensures that the expansion of the universe is a real, geometric, and observer-independent process, rather than one shaped by coordinate effects, state of motion, or gravitational potential.
Throughout this work, we refer to the “3D hypersurface” as the three-dimensional spatial boundary of the real four-dimensional universe defined in the 4DEU theory. This hypersurface corresponds to the portion of the universe that we can observe, and in which we live, at a given value of the privileged time T.
It represents the domain in which all physical phenomena are perceived and quantitatively measured by us as observers, through our experimental apparatus. For stylistic variety, we also use equivalent expressions such as “3D part” or “3D portion of the real 4D universe” to denote the same concept. The adjective “real” emphasizes that the fourth dimension in the 4DEU model is not a pseudo-temporal and imaginary coordinate, as in standard relativistic spacetime, but a true spatial direction along which the universe expands at a constant rate c.
The Restricted Holographic Principle and Its Consequences
At the heart of the 4DEU theory lies the Restricted Holographic Principle (Postulate 2 in [3]), which states that any physical phenomenon occurring along the fourth spatial dimension manifests in the 3D hypersurface of the universe in a qualitatively transformed but quantitatively proportional manner. One of the fundamental consequences of this principle is our perception of mass, time, and charge.
The expansion of the 4D universe along its fourth spatial dimension appears, in the 3D part of the universe where we live, as the passage of time. The energy of TWs, which are standing electromagnetic waves oscillating exclusively along the fourth spatial dimension, is perceived in 3D space as mass quanta [4]. This implies that mass is not an intrinsic property, but rather the 3D manifestation of TW energy. Additionally, the phase states of TWs (phase-shifted by 180°) are perceived in 3D as electric charge and magnetic poles, providing a natural origin for electromagnetism [4].
Cosmic Expansion in the 4DEU Framework
A fundamental aspect of 4DEU is that the expansion of the universe is driven by the radiation pressure of TWs acting upon the 3D portion of the 4D universe. Unlike the standard ΛCDM model, which postulates an unknown dark energy component, 4DEU attributes cosmic expansion to the net negative radiation pressure exerted by TWs perpendicularly to the 3D spatial hypersurface. This pressure is responsible for both initiating and maintaining the universe’s expansion at a constant rate c.
Gravitational Extension of the 4DEU Theory: Weak-Field Regime
In this work, we present the first gravitational extension of the 4DEU theory. While the theory has previously been developed to account for time, mass, and electromagnetism as projections of TWs within a four-dimensional Euclidean universe, it has so far lacked any treatment of gravitational dynamics. We address this gap by deriving an effective three-dimensional spatial metric generated by mass, based on localized variations in TW radiation pressure. This spatial deformation, interpreted through the Restricted Holographic Principle, gives rise to gravitational effects without invoking curvature of the temporal dimension.
Our analysis is carried out in the weak-field regime, where gravitational fields are sufficiently small to permit linear approximations. Within this limit, we demonstrate that the 4DEU framework reproduces the standard predictions of General Relativity—such as perihelion precession and gravitational redshift—solely through spatial curvature. The case of strong gravitational fields, although of fundamental interest, lies beyond the scope of the present study.
In the sections that follow, we develop the mathematical framework of the gravitational 4DEU model, derive the corresponding metric, and apply it to test-particle motion near a central mass, recovering the key results of relativistic orbital dynamics.
Thereotical Framework
In this section, we develop the theoretical structure that enables gravitational dynamics to emerge within the 4DEU framework. This construction is based on Corollary 3 to Postulate 2 (see section2.1), which formalizes a direct consequence of the Restricted Holographic Principle [3]. As applied to local asymmetries in the radiation pressure exerted by TWs within the 4D universe. These asymmetries produce spatially localized deformations in the 3D geometry that manifest as gravitational effects. Whereas General Relativity (GR) models time as an imaginary coordinate within a pseudo-Riemannian spacetime, the 4DEU theory treats it as a real and flat spatial dimension along which the universe expands. Consequently, all gravitational phenomena must originate from spatial curvature alone. We begin by deriving the effective three- dimensional spatial metric associated with a spherically symmetric mass distribution. This metric is directly constructed from the postulates of the 4DEU theory and subsequently compared to the Schwarzschild solution of GR in the weak-field limit.
Using this spatial metric and treating the privileged time T as both proper time and affine parameter, we derive the equations of motion for test particles and light rays. This provides the foundation for analyzing classical relativistic effects—such as Mercury’s perihelion precession, gravitational redshift, and the Shapiro time delay—entirely from spatial curvature, without invoking any temporal curvature. The goal is to demonstrate that the 4DEU framework, while conceptually distinct from GR, yields equivalent predictions for experimentally verified gravitational phenomena, thereby supporting its viability as a physically meaningful alternative theory of gravity.
Corollary 3 to Postulate 2: Gravity as Spatial Curvature Induced by TW Radiation Pressure Associated with Mass
This corollary to Postulate 2 states that gravity arises as a secondary effect of local variations in TW density within the 4D universe. These variations, via the Restricted Holographic Principle, produce spatially localized changes in TW-induced radiation pressure, leading to curvature in the 3D spatial geometry. These deformations are what we perceive as gravitational effects. According to the Restricted Holographic Principle, any physical phenomenon that occurs along the temporal dimension of the 4D universe must be perceived in its 3D spatial portion as a qualitatively transformed yet quantitatively coherent manifestation. In particular, mass appears as the 3D manifestation of the energy carried by TWs, which oscillate exclusively along the temporal dimension. Electric charge and magnetic polarity, in turn, correspond to specific phase values of these TWs: a phase of 0 gives rise to positive electric charge and magnetic north polarity, while a phase of 180° corresponds to negative electric charge and magnetic south polarity. These fundamental physical properties, as observed in 3D, can thus be interpreted as distinct projections of the intrinsic characteristics of TWs in the four-dimensional electromagnetic structure of the universe.
Building on this foundation, Corollary 3 asserts that a higher local TW density corresponds, via the Restricted Holographic Principle, to a greater mass concentration and a stronger TW-induced 3D radiation pressure in the spatial portion of the 4D universe. This radiation pressure acts perpendicularly to the 3D portion of the universe and remains entirely confined within spatial geometry. Consequently, regions with greater TW density, i.e. greater mass, exert a higher local radiation pressure than adjacent regions with lower density (or no mass), creating a differential pressure field. These local differences in TW-induced radiation pressure result in spatial deformations within the 3D portion of the universe, which manifest as gravitational effects. This mechanism is illustrated in highly simplified schematic form in Figure 1.

Figure 1: Schematic illustration of how high-density TW-induced radiation pressure generates spatial curvature in the 4DEU framework
This highly idealized diagram illustrates how a locally increased density of TWs leads to a corresponding increase in radiation pressure acting perpendicular to the 3D portion of the 4D universe (labeled “space” in the figure), where we reside. According to the Restricted Holographic Principle [3], the energy carried by these TWs appears as mass (M) within the 3D part of the 4D universe. This locally enhanced radiation pressure induces a purely spatial curvature in the 3D geometry, giving rise to the gravitational effects described by the 4DEU theory. In the figure, the three- dimensional spatial geometry is schematically represented along a single spatial dimension for illustrative purposes.
The causal chain proceeds as follows: a higher density of Temporal Waves results in a greater mass concentration in 3D, which in turn generates a stronger local TW-induced radiation pressure. This increased pressure causes a more pronounced spatial curvature within the 3D hypersurface, ultimately leading to a stronger gravitational effect. This leads to a fundamental conceptual distinction between the two theories. In General Relativity, gravity originates from the curvature of four-dimensional spacetime produced by mass-energy. In contrast, within the 4DEU theory, gravity emerges from the curvature of the three-dimensional spatial geometry of the 4D universe, resulting from local density variations in TW-induced 3D radiation pressure.
Despite this conceptual divergence, both theories yield equivalent observable predictions in all experimentally tested domains. Phenomena such as gravitational redshift, light deflection, Shapiro time delay, and Mercury’s perihelion precession can all be derived within the 4DEU framework solely from spatial curvature, without invoking a curved time coordinate.
This reinterpretation of gravity not only preserves the predictive success of General Relativity but also provides a deeper and more unified physical explanation. Within the 4DEU framework, gravity, like mass, charge, and time itself, is not fundamental, but rather a spatial consequence of the intrinsic electromagnetic properties of the underlying four-dimensional structure. More than just an alternative gravitational model, 4DEU provides a deeper understanding of why these gravitational effects emerge in the first place. A new theory must not merely reproduce known results; it should also provide a deeper explanation of the mechanisms behind them. This approach challenges conventional views on the nature of gravity and highlights the conceptual distinctiveness of the 4DEU framework with respect to General Relativity.
Derivation of the 3D Metric in 4DEU and Comparison with General Relativity
Constructing the 3D Metric of the 4D Universe
In the Four-Dimensional Electromagnetic Universe (4DEU), the universe is modeled as a 4D hypersphere with radius Rt = ct = a(T) where T represents the privileged time coordinate, interpreted as the radial expansion of the universe along its fourth spatial dimension.
The intrinsic metric, meaning one not defined by embedding in a 5D space, of a 4D hypersphere can be described using Cartesian coordinates (x1,x2,x3,x4) that satisfy the equation:

It can be expressed in Cartesian coordinates via the differential line element:

or, in 4D hyperspherical coordinates (see its derivation in Appendix A), as:

Here, l is the radial coordinate, representing the distance from the center of the 4D hypersphere, varying from 0 to R, representing the radius of the hypersphere, which defines the outer boundary.
θ is the first angular coordinate, measuring the inclination from a reference axis, and ranging from 0 ≤ θ ≤ π.
φ is the second angular coordinate, specifying the position within a meridional plane, ranging from 0 ≤ φ ≤ π.
ψ is the third angular coordinate, describing the azimuthal orientation around the hypersphere, ranging from 0 ≤ ψ ≤ 2π.
Finally, ds4D is the infinitesimal line element of the 4D hypersphere, measuring the distance between two neighboring points in the intrinsically Euclidean four-dimensional space.
The 4D Euclidean Universe and its 3D Hypersurface
The four-dimensional universe in the 4DEU model is intrinsically Euclidean, meaning that it does not require embedding in a higher- dimensional space. Accordingly, we define the 4D space as follows:


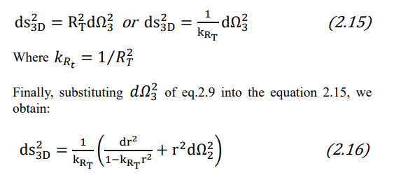
Where ds3D is the infinitesimal line element of the 3D hypersurface of the 4D universe. It represents the infinitesimal distance along the intrinsically curved 3D hypersurface of the 4D universe.
This metric describes a curved geometry, as it is restricted to the 3D hypersurface of a 4D hypersphere. This means it is valid only

Since the 3D metric does not include the radial term dl2, it describes only distances between points that remain confined to the hypersurface at fixed radius R in the 4D space. These distances are measured along the curved 3D surface, rather than across the embedding 4D Euclidean space. The resulting geometry is therefore intrinsically curved and corresponds to the induced metric of the 3D hypersphere, which forms the outer boundary of the 4D universe.


r that represents a radial coordinate relative to the 3D hypersurface itself that do not correspond to the 4D radius coordinate l and k is the spatial curvature parameter of the 3D hypersphere.
Substituting Eq.2.9 into the 3D metric (Eq.2.8), we obtain:

Furthermore, in a 4D hypersphere, the spatial curvature of its 3D hypersurface of radius R is given by:

Substituting this relation into the previous 3D metric equation (Eq.2.8) gives:

These equations apply to the metric of the actual 4D universe and its 3D spatial portion, where physical observers (like us) reside. This 3D part corresponds to a 3D hypersurface located at a distance Rt from the center of the 4D universe, identified with the Big Bang. Therefore, for the entire 4D universe, the metric is:

while for its 3D portion at privileged time T, the corresponding metrics are:

Note that in these equations, r is a comoving radial coordinate intrinsic to the 3D portion of the 4D universe. It is distinct from the extrinsic coordinate l, which varies along the fourth spatial dimension and whose maximum value defines the 4D radius R.
Now, considering the intrinsic geometry of the 3D hypersurface, we remove the global scaling factor R2. This is justified by the fact that the expression:

describes the intrinsic geometry of a unit 3-sphere, independent of the physical radius R of the 4D hypersphere. By factoring out R2, we express all spatial distances in units normalized to the hypersphere's radius. This simplification allows us to focus on the curvature properties of space, without loss of generality, and is analogous to the FLRW metric in comoving coordinate, where the scale factor a(T) is treated separately and can be reintroduced later for physical interpretation. We, thus, obtain:

This equation represents the intrinsic metric of the 3D hypersurface of the 4D universe, describing its spatial curvature at a given time. It also corresponds to the spatial part of the intrinsic Friedmann-LemaÃÃÃÂ???®tre-Robertson-Walker (FLRW) metric, which defines how distances are measured within 3D space at a fixed cosmic instant. The FLRW metric is a solution to Einsteinâ??s field equations that describes the large-scale structure of the universe under the assumption of homogeneity and isotropy, meaning that, on sufficiently large scales, the universe appears the same in all directions and at every location.
Geometric Interpretation
To clarify why two distinct metrics describe the 3D part and the full 4D universe, it is helpful to employ an analogy with a 2D circle, where the circle represents the 4D universe, and its circumference represents the 3D part where we exist (see figure 2). The radius R of the circle corresponds to the privileged time coordinate in the 4DEU theory, which increases uniformly at the rate c. The figure illustrates a static snapshot of the universe at the privileged time T = R / c, corresponding to a fixed radius of the 4D hypersphere. Any point within the circle represents a location in the 4D universe outside its 3D part.

Figure 2: Geometric analogy for a static 4DEU universe
Schematic representation of the 4DEU universe using a 2D analogy. The interior of the circle represents the full four-dimensional (4D) Euclidean universe, while the circumference corresponds to its three-dimensional (3D) portion where physical observers reside. The radius R denotes the privileged temporal coordinate in 4DEU, increasing uniformly at the rate c. Points A and B lie on the 3D part (l = R), while points C and D lie within the 4D interior ( l

the 3D metric, whereas the straight segments between internal and boundary points correspond to Euclidean distances in 4D.
The diagram illustrates a static universe at the privileged time T = R / c, i.e., at a fixed radius of the 4D hypersphere. The figure shows that distances measured along the circumference (e.g., A–B) follow curved 3D geometry (computed via Eq. 2.18), whereas all other segments are Euclidean (computed via Eq. 2.5). Note that rA and rB, the radial coordinates of points A and B, are both equal to R, while those of points D and C are smaller than R, because these

key points. First, distances between points belonging to the 3D part of the 4D universe must be calculated using the curved 3D metric. Second, distances between an internal point (i.e., a point outside the 3D part) and a point on the 3D part are described by the Euclidean metric. Third, if both points are within the 4D space, the full Euclidean metric applies as well.
It is important to note that in the 4DEU theory, real point-events exist inside the 4D universe because a real temporal-spatial dimension exists. These points represent past events relative to the present but remain causally inaccessible, as the 4D universe expands along the temporal dimension at the rate c. In contrast, in the λCDM model, such internal points do not actually exist, since there is no real temporal dimension, but merely a mathematical construct.
Comparison with the Schwarzschild Metric in General Relativity
In General Relativity (GR), the Schwarzschild metric is the exact solution to Einstein’s field equations describing the gravitational field of a spherically symmetric, non-rotating, uncharged mass in vacuum:

event horizon for a black hole) [2,7] and the radial coordinate r. This term expresses the local intensity of the gravitational field and determines the deviation from flat spacetime.
This solution is widely employed to describe the gravitational field around astrophysical bodies approximately spherically symmetric, such as planets, stars, and non-rotating black holes. It provides an excellent approximation for massive astronomical bodies where rotational effects are negligible compared to the dominant gravitational field.
The spatial part of the Schwarzschild metric, obtained by setting dt = 0, is:

The Schwarzschild Metric as a Local Solution to Einstein’s Equations
Standard general relativity textbooks state that the Schwarzschild metric is a local vacuum solution, applicable in regions where cosmic expansion can be neglected. Birkhoff’s theorem ensures that any spherically symmetric vacuum solution is necessarily static, leading to the Schwarzschild metric [8]. This solution is used to model spacetime around massive objects like stars and black holes, where the influence of large-scale cosmological expansion is insignificant [9]. The absence of the scale factor a(t) results from solving Einstein’s equations under the assumption of asymptotic flatness, which implies that the spacetime becomes indistinguishable from Minkowski space at large distances from the source. In such conditions, the effects of cosmic expansion vanish locally, and the gravitational field is fully determined by the mass distribution itself.
Several studies highlight that the Schwarzschild metric neglects cosmic expansion because it models a local, isolated mass. For instance, Nandra, Lasenby, Hobson (2012) explicitly state that “the Schwarzschild solution ignores the dynamical expanding background in which the mass resides” [10]. Similarly, Bonnor (1996) concludes that "the cosmic expansion seems to exert no influence on local orbital motion," confirming that the Schwarzschild metric provides a valid approximation for planetary systems [11]. Recent analyses reinforce this distinction: Faraoni et al. (2014) assert that Schwarzschild solution “describes the gravitational field outside a [mass] ... with the cosmological constant set to zero” [12]. Carrera & Giulini (2010) clarify that local gravitational dynamics remain unaffected by cosmic expansion unless an explicit coupling is introduced [13].
Thus, the Schwarzschild metric does not include a scale factor because, as a local solution, it describes a region where cosmic expansion plays no role. The same reasoning applies to the FLRW model: in local contexts, the global scale factor a(t) can be neglected. Similarly, in the 4DEU framework, the spatial metric of the universe initially includes a global scale factor RT related to the expansion of the 4D hypersphere. However, in the vicinity of a localized mass, this global factor does not contribute to the intrinsic curvature experienced locally. As in GR, where the Schwarzschild solution omits a(t) to isolate the gravitational field of an object from cosmological effects, the 4DEU model also removes RT to obtain a purely intrinsic spatial metric. This structural analogy is developed further in the following subsection.
Local Application of the Metric in the 4DEU Framework
Analogously to General Relativity, where the Schwarzschild metric excludes the cosmological scale factor a(t) in the description of local gravitational fields, the 4DEU theory likewise omits the global scale factor RT when formulating its local spatial metric. In the cosmological formulation of the 4DEU model, the 3D hypersurface of the universe evolves with a scale factor proportional to RT, such that the full spatial metric includes a multiplicative term RT 2, analogous to a2 (t) in the FLRW framework. This global factor reflects the large-scale expansion of the four-dimensional universe along its privileged spatial coordinate.
However, when focusing on the gravitational field generated by a localized mass distribution, this global expansion can be neglected. The rationale is the same as in GR: in regions sufficiently close to an isolated mass, and over privileged time intervals that are short compared to cosmological timescales, the effects of background expansion do not contribute to the local intrinsic curvature. Under these conditions, the geometry of space is governed exclusively by local physical phenomena, specifically by the anisotropic radiation pressure of TWs, which manifest as mass.
Accordingly, the global factor R 2 is removed to obtain the normalized intrinsic spatial metric of the 3D hypersurface:

More generally, according to the 4DEU model, any localized increase in the density of TWs, whose energy propagates along the temporal dimension and manifests as mass in 3D, induces spatial curvature via anisotropic radiation pressure [3]. This metric describes the geometry of 3D space in the absence of local energy concentrations. According to Corollary 3 to Postulate 2 of the 4DEU theory, gravity is not a manifestation of spacetime curvature as in GR but arises purely from deformations in the 3D spatial hypersurface induced by local variations in TW density. These variations increase the local radiation pressure perpendicular to the 3D space, causing it to curve.
For a spherical symmetric, static mass distribution, this curvature becomes a function of the radial coordinate. In analogy with the Schwarzschild solution, it is expressed as:

While in GR this curvature affects both the spatial and temporal components of the metric, in the 4DEU framework the temporal dimension remains flat, Euclidean, and universal. The entire gravitational effect is encoded in the spatial geometry. Substituting the expression for k into Eq. (2.21), we obtain the effective intrinsic spatial metric in the presence of a central mass:

This expression is formally identical to the spatial sector of the Schwarzschild metric but originates from entirely different assumptions. In General Relativity, this curvature arises from the solution to Einstein’s equations in curved spacetime; in the 4DEU theory, it emerges as a secondary geometric effect of the radiation pressure produced by localized Temporal Waves. The gravitational field is thus the manifestation of a purely spatial deformation, with time maintaining its universal and invariant character throughout the 4D hypersphere.
In the 4DEU framework, the spatial curvature associated with a localized mass is mathematically intrinsic, as it is fully encoded in the three-dimensional metric experienced by observers confined to the 3D portion of the 4D universe. However, its physical origin lies in an extrinsic mechanism: the curvature emerges from anisotropic radiation pressure exerted by TWs, defined as standing electromagnetic waves that oscillate solely along the real fourth spatial dimension. This distinction emphasizes that, although the curvature is entirely described by the intrinsic 3D metric, its causal origin is extrinsic: it arises from the embedding of the 3D hypersurface within the 4D Euclidean space, the anisotropic radiation pressure applied along the fourth dimension.
According to the Restricted Holographic Principle, local increases in TW density, which manifest in 3D as mass, generate directional radiation pressure that deforms the spatial geometry from outside the 3D portion. Thus, while the gravitational field is entirely described by the intrinsic geometry of space, its causal origin involves a dynamical interaction with the higher-dimensional structure of the 4DEU universe. The removal of the scale factor RT in this context is not a simplifying assumption but a theoretically consistent step, grounded in the same physical reasoning that underlies the neglect of a(t) in GR. Both frameworks converge in predicting the same local curvature structure near a mass, while differing fundamentally in their interpretation of time, geometry, and the physical origin of gravity.
Derivation of Gravitational Redshift, Shapiro Delay, Light Deflection, and Mercurys Perihelion Precession in the 4DEU Theory
In this section, we derive the classical relativistic effects of gravitational redshift, Shapiro time delay, Mercury’s Perihelion Precession, and light deflection in the context of 4DEU. These results are derived analytically from the intrinsic curvature of 3D space alone, without invoking time dilation, temporal curvature, or imaginary time coordinates.
Remarkably, despite the conceptual and geometric differences between General Relativity (GR) and 4DEU, the predictions derived in the weak-field regime coincide with those of GR. This equivalence demonstrates that the observed gravitational phenomena, traditionally attributed to spacetime curvature in GR, emerge as purely spatial effects within the four-dimensional universe postulate in the 4DEU theory. These results support the predictive validity of the 4DEU framework while offering a distinct physical interpretation: gravity arises from local variations in radiation pressure due to TWs, rather than from the curvature of a pseudo-Riemannian spacetime manifold.
Gravitational Redshift in the 4DEU Theory
Gravitational redshift is a key prediction of relativistic gravity theories. It refers to the variation in the frequency of electromagnetic radiation as it travels through a gravitational field: light emitted deeper in a gravitational well is observed at a lower frequency by an observer at higher gravitational potential. In General Relativity (GR), this phenomenon is attributed to gravitational time dilation resulting from the curvature of the time coordinate. In contrast, the 4DEU theory posits that time is a privileged, flat dimension. Consequently, any observed gravitational redshift must result solely from the curvature of 3D space. In this section, we first review the classical result in General Relativity, then derive the gravitational redshift in the 4DEU framework, showing that the same observational formula arises from purely spatial effects
Gravitational Redshift in General Relativity
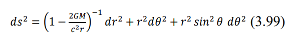
We briefly review here the standard derivation of gravitational redshift in the context of General Relativity. The steps leading to the final formula are detailed in standard references such as [2] and [7]. In General Relativity, the spacetime surrounding a static, spherically symmetric, non-rotating mass M is described by the Schwarzschild metric. In spherical coordinates (t, r, θ, φ), the line element is:

This can be expressed through the corresponding metric tensor gμν:

The gtt component determines the gravitational time dilation. The proper time dτ measured by a clock at radial coordinate r is related to the coordinate time dt by:Since frequency is the inverse of proper time, the ratio of frequencies of a light signal emitted radial coordinate re and received at ro is: For an observer located far from the source (ro → ∞), where gtt (ro ) → 1, the gravitational redshift becomes:

Gravitational Redshift from Spatial Curvature in the 4DEU Theory
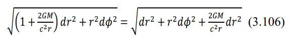
In the 4DEU framework, the temporal coordinate T is treated as a real and privileged dimension that remains flat and coincides with the proper time experienced by all observers. According to Corollary 3 to Postulate 2 (Section 2.1), the presence of mass corresponds to a localized increase in TW density, which enhances the radiation pressure exerted on the 3D spatial hypersurface and induces curvature in the local spatial geometry. As a result, the gravitational redshift in the 4DEU theory emerges entirely from the deformation of the 3D spatial metric near mass concentrations. In analogy with the Schwarzschild solution, the effective 3D spatial metric governing light propagation in the vicinity of a spherically symmetric mass M is given by eq. 2.23:

Substituting Eq. (3.6) into Eq. (3.5), we obtain the explicit form of the 3D spatial line element used in the 4DEU theory: The corresponding spatial metric tensor gij4Deu is:

the radial coordinate r, gθθ = r2 is the component along the polar angle θ, and g = r2 sin2 θ the component along the azimuthal angle φ.
As postulated in the 4DEU theory, the temporal dimension is not curved. The privileged time T coincides with the proper time τ experienced by any observer, so:

Thus, unlike in GR, gravitational time dilation is not possible, since time flows uniformly in the 4DEU theory. Nevertheless, when a photon propagates through a curved 3D space, the deformation of the radial geometry modifies the effective energy and frequency observed. This geometric effect can be interpreted analogously to the GR redshift but now derived from the radial component of the spatial metric, rather than the temporal component. Let a photon be emitted at radial coordinate re and received at radial coordinate ro , ro →∞ (i.e., in asymptotically flat space). The spatial curvature affects the energy transfer between the emitter and the receiver, and the ratio of frequencies is assumed to follow:

From Eq. (3.8), we identify:

Assuming that the observer is located far from the gravitational source, i.e. ro → ∞, then grr (ro )→1, and Eq. (3.10) simplifies to:

Solving for the observed frequency:

The gravitational redshift Z is defined as:

Substituting Eq. (3.13) into Eq. (3.14), we obtain:

And simplifying:

This result, derived purely from spatial curvature encoded by the radial component grr, is identical to the standard gravitational redshift formula of General Relativity (see eq.3.4), which is instead obtained from the temporal component gtt. This confirms that the same observable effect arises in the 4DEU framework without invoking temporal curvature.
Photon Energy Conservation in the 4DEU Theory
To clarify how the 4DEU theory yields an explicit expression for the photon's radial velocity, consider the spatial line element near a static, spherically symmetric mass. As given in Eq. (3.7), the 3D spatial metric in the equatorial plane θ = π / 2 is:

Assuming radial motion only (i.e., dφ= 0), the line element reduces to:

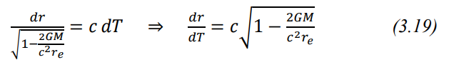
Substituting into the fundamental relation ds3D = cdT, (a relation further formalized in Eq. (3.27)), which expresses that light propagates through the 3D curved spatial manifold at speed c with respect to the privileged time T, and assuming that the light signal is emitted from a radial coordinate r = re, we obtain:

Considering that the Schwarzschild radius, the radial distance from a mass M at which the escape velocity equals the speed of light c, is given by:

we can simplify the previous expression accordingly.

According to the restricted holographic principle (Postulate 2), electromagnetic waves (EMVs) are spatiotemporal entities whose propagation is characterized by a spatial velocity component in 3D space (vs) and a temporal velocity component vt = c, the latter arising from the expansion of the 4D universe along the time dimension. In the absence of mass, the spatiotemporal velocity vector of an EMV wave has spatial and temporal components of equal magnitude, and the total spatiotemporal velocity (v ST) has a maximum value of √2 c (see Eq. (9) of [3]). In the presence of mass-induced curvature, the radial component vr decreases, while the temporal component vt = c remains constant, as it passively follows the uniform expansion of the 4D universe along its real time dimension T. The angle between the vector vST and the spatial axis is π / 4, and the motion is equally projected onto the spatial and temporal axes (see Fig. 1 in [3]). According to postulate 2 of 4DEU theory derives that the spatial projection corresponds to the wave-like nature of the EMW, while the temporal projection represents its corpuscular aspect. These two components are not independent phenomena, but inseparable manifestations of a single, unified spatiotemporal motion.
Consider now a photon emitted radially outward, i.e., in the direction opposite to the gravitational source, by an emitter located precisely at the Schwarzschild radius re = rs of a mass M. In this case, the extreme curvature of the 3D space causes the radial component of the light’s velocity to vanish (vr = 0). Geometrically, the spatiotemporal velocity vector vST rotates toward the temporal axis, with the angle tending to π / 2, indicating that the photon’s propagation becomes entirely temporal. In fact, as given by Eq. (33) of [3]:

Accordingly, the photon loses its wave-like (spatial) behavior and becomes purely corpuscular. This is reflected in the disappearance of its spatial frequency components fs (fs0 and fse), as a direct consequence of Eq. (3.13), which describes the redshift of spatial frequency in curved 3D space. Specifically:

In this expression, the subscript s emphasizes that both fso and fse (the observed and emitted frequencies, respectively), within the 4DEU framework, represent spatial frequencies, which are the only frequencies directly accessible to observation in 3D space by observers. This equation shows that, for a distant observer, the spatial frequency of light emitted radially from radial coordinate re decreases with increasing gravitational curvature. In the limit re → rs, the observed spatial frequency fso → 0, indicating a complete vanishing of the wave-like component. Meanwhile, the temporal frequency f remains the same as that of the initial spatiotemporal frequency (fST) defined at emission that corresponds to the emitted spatial frequency fse in flat space.
Since, in the 4DEU framework, the spatiotemporal frequency is invariant [3], the total energy of the photon does not decrease but remains constant, is fully transferred to the temporal dimension. Therefore, the energy at emission is not lost, but is entirely converted into equivalent mass m. Specifically:

The light emitted from rs does not escape but is entirely absorbed by the black hole in its purely corpuscular form, a fully mass-equivalent photon. This mechanism guarantees exact energy conservation: The electromagnetic wave is not destroyed but transitions into a pure particle state (photon) that propagates exclusively along the temporal dimension. In the more general case where the photon is emitted from a radial coordinate re > rs, the transition from wave-like to corpuscular behaviour is not yet complete but gradually unfolds as the photon climbs the gravitational well. The spatial component of the photon's velocity decreases progressively due to the curvature of 3D space, while the temporal component correspondingly increases, causing the spatiotemporal velocity vector to rotate toward the temporal axis. This set of behaviors, covering all physically meaningful emission radii (re ≤ rs , re > rs, re« rs), is schematically illustrated in Figure 3.

Figure 3: Geometric representation of the spatiotemporal velocity of an electromagnetic wave emitted radially from a static,spherically symmetric mass, in the 4DEU framework.
The figure illustrates the evolution of the spatial (vr ) and temporal (vt = c) components of the spatiotemporal velocity vST of an electromagnetic wave emitted from various radial coordinates re. At the Schwarzschild radius rs , the spatial velocity vanishes, and the trajectory becomes purely temporal (α →π / 2), corresponding to a photon whose behavior becomes entirely corpuscular. For re « rs, the propagation angle is α = π / 4, indicating equal spatial and temporal components (vs = vt = c), with maximal spatiotemporal velocity vST = √2 c. This geometric mechanism illustrates the progressive conversion of the wave-like character of light into pure mass and ensures total energy conservation within the 4DEU framework.
Throughout this process, the total spatiotemporal frequency fST which, according to Eq. (14) of [3], remains equal to both the spatial frequency fs and the temporal frequency ft , is invariant. However, only the spatial frequency fs, being the projection of fST along the spatial axis, is directly accessible to measurement by 3D observers. As the photon is emitted from positions closer to the horizon, this observable frequency decreases according to Eq. (3.13), indicating a weakening of its wave-like character.

becomes purely temporal. The decreasing contribution of the spatial component implies that a portion of the photon's energy is no longer available for spatial propagation and is instead transferred to the gravitational source, effectively increasing its mass. In this sense, gravitational redshift in 4DEU is not only a manifestation of spatial curvature, but also a geometric mechanism for redistributing energy between radiation and gravitating matter.
This result describes the complete and final step in the gravitational redshift process: a purely geometric conversion from radiation into matter, occurring precisely at the horizon, in full accordance with the structure of the 4DEU theory as developed in [3–5]. In this framework, the horizon does not destroy the electromagnetic wave but marks the geometric limit of its transformation into a purely corpuscular entity. As wave-like behavior becomes unobservable, its energy does not vanish but remains fully encoded in the resulting gravitational curvature.
Thus, the 4DEU theory ensures total energy conservation and resolves the black hole information loss paradox by preserving all physical information in the form of increased mass and curvature, in agreement with the restricted holographic principle [17].
Light Deflection in the 4DEU Theory
In this section, as in the cases of gravitational redshift and Shapiro delay, we adopt an analytical strategy borrowed from General Relativity, specifically the approach used in the study of photon trajectories within the Schwarzschild field (Carroll, 2004 [7]). This methodology is adapted to the geometric structure of the 4-dimensional universe postulated by the 4DEU theory, wherein the time coordinate T is privileged, flat, and uniform, and all curvature is confined solely to the three-dimensional spatial manifold.
In contrast to General Relativity, in which light follows null geodesics of a 4-dimensional spacetime, in the 4DEU theory photons propagate along real and measurable trajectories within 3D space, characterized by an infinitesimal length ds3D =c dT Consequently, the evolution of photon trajectories depends solely on observables defined on the 3D spatial part of 4D universe, while preserving the formal structure of the associated constants of motion.
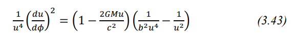
Using the same formal tools as in General Relativity—such as the conservation of constants of motion and the variable transformation u =1 / r —we obtain the differential equation governing photon trajectories, known as the Binet equation. This equation is subsequently solved perturbatively, yielding predictions for angular deflection that coincide with those of General Relativity in the weak-field limit.
We begin with the intrinsic spatial metric derived in the 4DEU theory for a static, spherically symmetric mass distribution, as given in Eq. (2.23):

Due to spherical symmetry, the photon motion can be restricted to the equatorial plane, that is: θ = π ⁄ 2. Therefore, sin θ = 1 and dθ = 0 from which the metric (Eq.3.25) reduces to

In the 4DEU framework, photons propagate at constant speed c through the curved 3D space and simultaneously evolve in the privileged time coordinate T at the same speed. This implies that their spatial trajectory satisfies the following conditions:

This corresponds to the first postulate of the 4DEU theory.
Differential Equation for Radial Motion
In the 4DEU framework, the affine parameter λ along geodesics coincides with the privileged time coordinate: λ = T. This implies that all derivatives along geodesics are expressed directly with respect to privileged time.
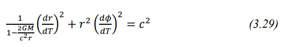
The spatial geodesic condition for a massless particle, derived from the intrinsic 3D metric (Eq. 3.26) together with the condition expressed in Eq. 3.27, reads:

Dividing both sides by dT2, we obtain:

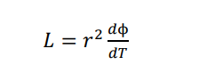
Since φ is a cyclic coordinate in the spatial metric, the associated conserved quantity is the angular momentum (L) , defined as:

This constant of motion is well-defined and measures the speed at which the photon trajectory rotates per unit of privileged time. It replaces the affine angular momentum as defined in General Relativity (GR), which is expressed with respect to an arbitrary affine parameter λ.

Squaring Eq. (3.30), we obtain:

Substituting Eq. (3.31) into Eq. (3.29), we obtain the differential expression governing radial motion:

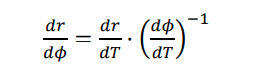
Transformation to dr ⁄ dφ
To obtain a practical form of the equation of motion, it is convenient to express the radial derivative with respect to the angle φ rather than the privileged time T. This leads to a purely spatial equation describing the trajectory of the photon. This transformation relies on the conservation of angular momentum L, allowing the system to be rewritten in terms of the angular coordinate only
Specifically, we use the relationship:

Substituting the Eq.3.30 into the above, we obtain

Squaring both sides of Eq. (3.33):

Substituting Eq.(3.34) into Eq.(3.32), we find:

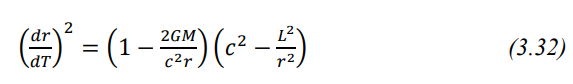
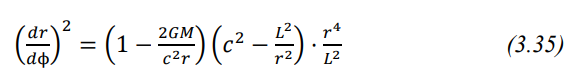
Isolating (dr ⁄ dφ)2, we obtain:

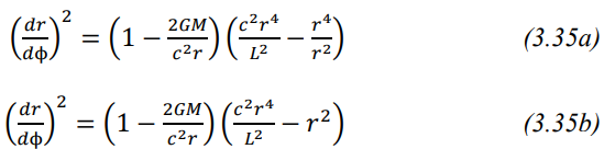
Expanding the product in parentheses:

Factorizing r2:

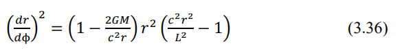
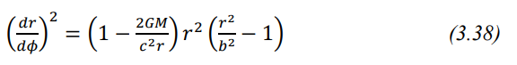
Introduction of the Impact Parameter
We introduce the standard definition of the impact parameter b, which relates the angular momentum per unit mass to the asymptotic trajectory of the photon:

Form which:

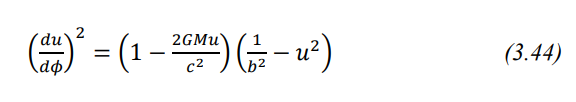
Substituting Eq.(3.37b) into the Eq.3.36, we obtain:

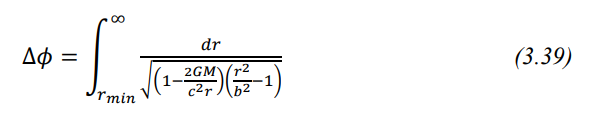
The differential equation obtained in Eq. (3.38) can also be written in integral form to describe the angular trajectory of the photon. Specifically, the angular displacement from the point of closest approach r = rmin to spatial infinity is given by:

This integral represents the angular displacement of the photon from r = rmin to r = ∞. Due to symmetry, the photon undergoes the same angular displacement while approaching from infinity to rmin. Although Eq. (3.39) provides an exact expression for the photon trajectory, the integral cannot be evaluated analytically, owing to the nonlinear nature of the metric. In practice, the deflection angle is computed using a perturbative approach, valid in the weak-field limit.
The total gravitational deflection angle, measured as the deviation from a straight-line propagation, is thus given by:

where φ∞ denotes the result of the integral in Eq.(3.39).
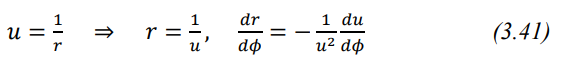
Change of Variable u = 1 / r
To simplify the equation and make the equation analytically tractable, we introduce the inverse radial coordinate:

Squaring both sides gives:

Substituting Eq.(4.41) and Eq.(3.42) into Eq.3.35 gives:

Multiplying both sides by u4, we eliminate denominators:

Expanding this expression yields:

To obtain a perturbatively solvable form, we neglect the nonlinear term in u3. This is because, in the weak-field regime where u = 1 / r« 1 / rs , the cubic term u3 becomes negligible compared to the linear term in u. The Eq.(3.45) the simplifies to:

Differentiating both sides with respect to φ, (see appendix B), we obtain

This equation represents the linearized photon trajectory equation derived within the 4DEU framework. It describes the light path as a function of the angular coordinate φ, and it is valid in the weak field approximation
Approximate Solution and Calculation of Angular Deflection
The perturbative solution to Eq. (3.47) is derived in Appendix C and takes the form:
To determine the asymptotic angle φ∞, the angle at which the trajectory tends asymptotically to spatial infinity (r → ∞), we impose the condition u(φ∞ ) = 0:

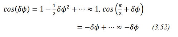
Since the minimum approach occurs symmetrically at φ = π ⁄ 2, we assume the asymptotic angle φ∞ differs only slightly from this value. We define:

Expanding the cosine function around δφ using a Taylor series approximation (δφ ∈(-ε, ε), with ε«1), we have:

These approximations are justified by their first-order Taylor expansions around δφ = 0:

Substituting these approximations into equation 3.49, we obtain:

Solving for δφ:

This value represents the angular deviation between the actual asymptotic direction of the light ray and the direction it would have followed in the absence of gravitational influence, measured relative to the point of closest approach at φ = 0. Therefore, the total angular deflection of the light ray, including contributions from both the incoming and outgoing branches of the trajectory, is:

This result reproduces with the prediction of General Relativity in the weak-field limit.
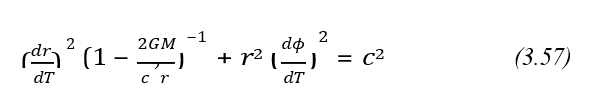
Mercury’s Perihelion Precession in the 4DEU theory
In the 4DEU framework, gravity is not interpreted as spacetime curvature, as in General Relativity (GR) [1,7], but rather as curvature of the only spatial 3D part of the 4D universe in which we reside. In the presence of a static, spherically symmetric mass distribution, the spatial part of the 4DEU metric is assumed to take the form of Eq.(2.23):

Restricting the motion to the equatorial plane (i.e., θ = π / 2), the metric becomes:

The fundamental postulate governing light propagation in 4DEU states that the spatial path length covered by light with respect to the cosmic privileged time satisfies:

where T is the privileged time coordinate. Substituting into the metric yields:

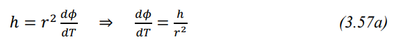
Let us define the conserved angular momentum per unit mass as:

Substituting Eq.(3.57a) into Eq.(3.57) we obtain:

We define the inverse radial coordinate as:
u = 1 ⁄ r
Differentiating with respect to φ , we obtain:

To express the radial derivative with respect to the privileged time T, we apply the chain rule:

From the definition of the conserved angular momentum (see Eq. 3.57a), we have:

Since r = 1 ⁄ u, it follows that r2 = 1 ⁄ u2 , substituting into Eq.(3.58c) we obtain:

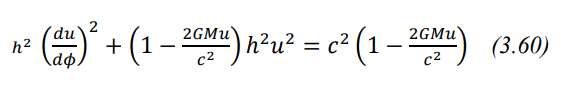
Substituting Eq.(3.58a) and Eq.(3.58d) into Eq.(3.58b), we have:

Squaring both sides, we obtain:

Substituting this expression into Eq. (3.58), and recalling that r = 1 ⁄ u, we obtain:

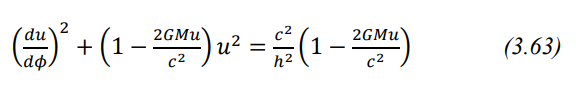
Finally, dividing both sides by h2, we simplify to:

To derive the orbital equation, we differentiate both sides of the Eq.(3.63) with respect to φ.
Applying the chain rule to the first term yields:


Differentiating the right-hand side of Eq.(3.63):

Putting all terms together

This is the orbital equation in the 4DEU framework. It shows that the correction term is proportional to u2 arises naturally from the curvature of the purely spatial portion of the 4D universe, rather than from spacetime curvature as in General Relativity. Assuming the privileged time T as affine parameter [3-6], the same orbital equation can also be recovered using a spatial Lagrangian constructed from the 3D metric in the equatorial plane. The result fully agrees with the geometric derivation presented here (data not shown).
Perturbative Solution and Precession

the Newtonian orbit. In analogy with the procedure adopted in General Relativity [2,7,16], this term emerges in 4DEU from the spatial metric and plays the same functional role as the relativistic correction in GR, despite arising from 3D curvature only.
The zeroth-order (Newtonian) solution satisfies:

We now compute the square of Newtonian solution u0:

Substituting Eq. (3.71) into the full orbital equation (3.68), we obtain:

Subtracting the Newtonian equation gives the differential equation for the perturbation ´δu:

Resonant Term Identification
We now analyze the structure of the inhomogeneous term in the differential equation for the perturbation δu (Eq.3.73):
This is a second-order linear inhomogeneous differential equation with constant coefficients, and it can be treated using standard methods from classical mechanics [14].
The corresponding homogeneous equation is:

whose general solution is:

The inhomogeneous term on the right-hand side of the differential equation can be decomposed into a sum of distinct Fourier components, each corresponding to a specific harmonic contribution. Explicitly, the forcing function, Eq.(3.73), can be written as:

Each component plays a different role in the behavior of the particular solution. The constant term contributes to a static shift in the mean orbit, while the term proportional to cos2φ represents a higher harmonic that affects the orbit's shape but not its long-term evolution. The most significant contribution arises from the term proportional to cosφ, which is resonant with the homogeneous solution (as established in standard perturbation theory [14,15]). Among these, the term proportional to cos φ is resonant with the homogeneous solution, since it shares the same frequency and lies in the kernel of the differential operator. This resonance leads to a secular response in the particular solution.
Specifically, from Eq. (3.76), the coefficient multiplying cos φ in the forcing term is:

We define A as the resonant coefficient, since it multiplies the resonant harmonic cos φ in the forcing term. This produces the resonant part of the particular solution:

This secular term does not repeat with a period 2π, but increases with each cycle, indicating that the orbit does not return to its initial configuration after one revolution. The full solution can be written as the sum of a particular and a homogeneous component:
The particular solution up (φ) contains constant and oscillatory terms from the non-resonant forcing components, while the homogeneous part is given by:

Here, denotes the amplitude of the homogeneous oscillation, which is related to the orbital parameters, particularly eccentricity. It reflects the magnitude of the unperturbed component of the motion. The parameter δ«1 represents a small deviation from the orbital frequency of the Newtonian solution. In the Newtonian case, where no perturbation is present, the frequency is exactly 1:

In the presence of relativistic corrections (here emerging from 4DEU geometry), the angular frequency becomes slightly smaller than 1. Consequently, the radial function completes a full oscillation only when:

Keeping only the linear term in δ, we obtain:

which implies that the radial motion completes a full cycle after an angle slightly greater than 2π. Therefore, the perihelion shifts forward by:

which represents the perihelion precession per orbit, that is, the angular advance of the closest approach point (the perihelion) after each revolution, as derived in standard relativistic orbital mechanics [16]. To express this in terms of the orbital parameters, we recall that, in Newtonian mechanics, the orbit of a test particle under a central inverse-square force is an ellipse described by:

where h is the conserved angular momentum per unit mass. The minimum and maximum values of r correspond to perihelion and aphelion, respectively, and the semi-major axis a, and eccentricity e satisfy:

Using these geometric relations and comparing them with the Newtonian solution, one obtains:

Substituting this into the Eq.(3.77) for the resonant coefficient A, we have:

We define:

This allows us to write the resonant part of the particular solution as:

This term leads to a shift in the orbital frequency, and the homogeneous solution takes the form:

Finally, we compute the parameter ´δ in terms of the orbital parameters:

From which:

This is the total precession of the perihelion per orbit and exactly reproduces the result predicted by General Relativity, despite the purely spatial origin of the correction in the 4DEU framework.
On the Negative Newtonian Term
In Equation (3.68), the Newtonian term appears with a negative sign:

This sign naturally arises from the geometric structure of the 3D spatial portion of the 4D universe in the 4DEU theory. Unlike General Relativity (GR), where gravitational attraction is associated with the curvature of four-dimensional spacetime and the Newtonian potential appears as a positive contribution to the effective force equation in a Lorentzian manifold [7,16], the 4DEU framework attributes gravitational effects solely to spatial curvature, with time remaining a privileged and flat coordinate.
The presence of the negative Newtonian term reflects a key conceptual shift: in the 4DEU framework, gravity does not result from a classical attractive force or from spacetime curvature, but rather from an intrinsic geometric curvature of the 3D spatial manifold. This deformation is induced by local variations in radiation pressure from TWs, which act perpendicularly to the 3D hypersurface along the privileged temporal dimension. Despite the reversed sign convention compared to GR, the dynamics remain attractive. The negative sign in the equation ensures that the curvature of space leads to bound, elliptical orbits consistent with Newtonian gravity. In fact, the Newtonian solution derived from this equation describes the same class of symmetric orbits predicted by classical mechanics. The difference lies solely in the mathematical representation and geometric interpretation: the coordinate origin (φ = 0) is chosen such that the perihelion lies at the point of closest approach, resulting in a cosine term with a positive sign. If the coordinate system were rotated by φ =π, the same orbit would be described with a minus sign in front of the cosine.
Therefore, this sign is a matter of convention and does not affect the physical predictions of the model. Crucially, when relativistic corrections are included, the 4DEU equation yields the same perihelion precession as predicted by General Relativity, despite relying solely on spatial curvature. Although the orbital equation derived in the 4DEU framework takes a different form, most notably with a negative Newtonian term, the physical predictions remain equivalent to those of General Relativity in the weak field limit. This equivalence arises not because 4DEU seeks to reproduce GR, but because it starts from a fundamentally distinct geometrical foundation, based on purely spatial curvature induced by anisotropic radiation pressure from TWs, and nonetheless arrives at the same first-order correction to orbital motion. The negative sign in the Newtonian term reflects a shift in the angular origin rather than a reversal in the direction of gravitational attraction. Consequently, the predicted perihelion precession coincides with that of General Relativity, despite emerging from a fundamentally different physical mechanism.
Shapiro Delay in the 4DEU Framework
The Shapiro delay is a prediction of General Relativity, which states that the travel time of a light or radar signal increases when the signal passes near a massive body. This delay originates from both gravitational time dilation, associated with the temporal component gtt, and from spatial curvature in the radial direction, associated wit grr, as described by the Schwarzschild metric:

where G is the gravitational constant, M is the mass of the central body, c is the speed of light, and (r, θ, φ) are standard spherical coordinates.
The components gtt and grr are responsible for the primary contributions to the time delay experienced by the signal. The angular components gθθ and gφφ are not directly involved in the derivation of the Shapiro delay, as the trajectory is nearly radial and confined to the equatorial plane.
A detailed derivation of the relativistic correction to the Newtonian light travel time is presented in Hartle [16]. The purely relativistic contribution to the coordinate time delay, due to the curvature of spacetime, is given by:

where r is a generic radial coordinate along the signal’s path, and rt is the radial coordinate at the point of closest approach, which corresponds to the impact parameter b in the weak-field approximation. This expression must be evaluated for both the emitter and receiver positions, and the total excess delay is obtained by summing the contributions from two endpoints.
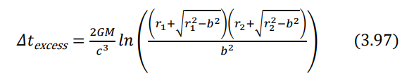
To compute the total relativistic delay for a signal propagating from an emitter at radial coordinate r1 to a receiver at r2, the expression must be evaluated at both endpoints and summed. Restoring physical units by substituting M = GM / c2 and replacing rt = b, the resulting coordinate time delay becomes:

This expression constitutes the represents GR prediction for the Shapiro time delay in the weak-field limit and will be used as a reference for comparison with the corresponding formulation derived in the 4DEU framework.
Derivation of Shapiro Delay in the 4DEU Framework
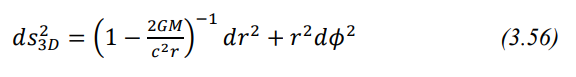
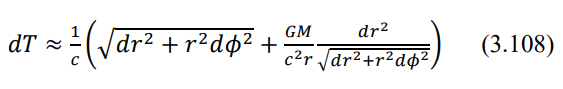
In the 4DEU theory, time is treated as a privileged and non-curved coordinate, denoted by T. Consequently, the temporal component of the metric, gtt, does not contribute to the gravitational delay. Instead, an equivalent delay effect arises entirely from the curvature of the spatial three-dimensional hypersurface, which modifies the geodesic path of a light signal as it propagates near a massive body. This section derives the Shapiro time delay within the 4DEU framework. The computation is based solely on the 3D spatial metric tensor that describes the curved spatial geometry, assuming that the signal propagates entirely within the equatorial plane (θ = π / 2).
The 3D spatial metric tensor in spherical coordinates (r, θ, φ) is given by:

leading to the spatial line element:

Restricting to the equatorial plane where θ = π / 2, so that sin2 θ = 1 and dθ = 0, this becomes:

From the 4DEU postulate that light propagates through curved 3D space at speed (c), we impose:


effect arises from the radial component of the spatial metric.

Substituting The Eq. (3.102) into Eq. (3.100), we have:

Thus, the infinitesimal 3D distance becomes:

Assuming the signal propagates at constant spatial speed c, the total travel time is:

Expanding the integrand:

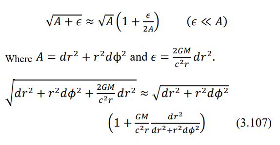
Since 2GM / (c2 r) « 1, we expand the square root to first order using:

Thus, the infinitesimal travel time element becomes:

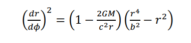
Substitution from the photon trajectory, obtained from the 3D geodesic equation for photons (Eq. (3.38)):

is necessary to relate the radial and angular components of the light path. This allows the angular term r2 dφ2 in the spatial line element to be expressed in terms of dr, thereby enabling the integration of the light travel time as a function of the radial coordinate only.

(See Appendix D for derivation of the Eq.(3.109)) Now we combine the squared infinitesimal radial term dr2 with the angular term r2 dφ2, yielding:

Taking the square root of Eq. (3.110), we obtain:

Also, from Eq. (3.108), we derive:

Substituting into the expression for dT (Eq.(108)) the Eq.(111) and Eq.(112) we have:

Expanding the terms:

Factoring out the common term:

In the limit where b2 « r2, the last term becomes:

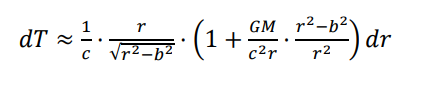
The final expression for the light propagation time in the gravitational field of a spherically symmetric mass, derived within the 4DEU theory, is:

This expression includes both the flat-space contribution and the gravitational correction resulting from the 3D spatial curvature We now split the Eq.(3.113) into the flat part and the gravitational correction:

The second term corresponds to the gravitational contribution to the total travel time:

To compute the total gravitational delay, we integrate this expression over the light path.
Considering both legs of the signal’s journey — from the emitter at r1 to the point of closest approach b, and from b to the receiver at r2 — the gravitational delay can be written as:
From b to r1:

and similarly, for the second segment (from b to r2):

Thus, the total one-way gravitational delay is:

Combining the two terms, we obtain the total one-way gravitational delay for the entire curved path from the emitter to the receiver:

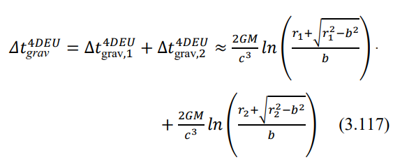
Finally, since the measurement involves a signal that travels to the receiver and then returns along the same path, the total gravitational delay must be doubled, yielding:

Using the limit r1, r2 « b, we observe that:

thus:

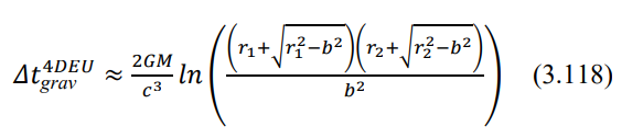
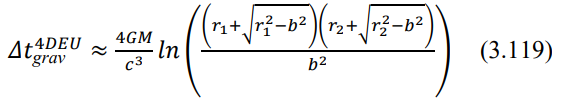
Substituting Eq.(3.120) into the logarithmic term of Eq.(3.119)we have the total (round-trip) gravitational delay

Thus, within the weak-field approximation, the 4DEU framework exactly reproduces the Shapiro delay formula as predicted by General Relativity, despite the fundamentally different geometric structure of the underlying theory.
This completes the derivation of the Shapiro delay in the 4DEU framework. Although the delay arises solely from spatial curvature (via grr) and not from gravitational time dilation, the final result coincides with that of General Relativity. This confirms the observational equivalence of the two approaches in weak gravitational fields, while highlighting the distinct conceptual structure of the 4DEU model.
Conclusion
In this work, we have derived the main weak-field gravitational effects gravitational redshift, light deflection, Mercury's perihelion precession, and Shapiro time delay within the framework of the Theory of the Four-Dimensional Electromagnetic Universe (4DEU). These results have been obtained solely from the spatial curvature of the three-dimensional portion of the 4DEU universe, where all physical processes and observers are confined, without invoking temporal curvature or null spacetime paths.
In contrast to General Relativity (GR), where light follows null geodesics of a four-dimensional pseudo-Riemannian spacetime manifold, the 4DEU framework postulates that electromagnetic waves propagate along real, physical trajectories within the curved three-dimensional part of the 4DEU universe, at the constant speed c with respect to the privileged time coordinate T. While null paths in General Relativity, though mathematically well-defined, imply a vanishing proper length yet electromagnetic waves are physically observed to propagate through space, covering measurable distances and requiring finite time to travel between two points. This creates a conceptual inconsistency between geometric abstraction and the observed physical phenomenon.
As discussed in Section 1.1, the privileged time T functions as a universal and invariant temporal coordinate, tied to the radial expansion of the hyperspherical universe, and perceived as proper time by all observers regardless of gravitational context. The 4DEU theory thereby avoids the need for curved time coordinates or null intervals: electromagnetic waves move physically through curved three-dimensional space. In this context, the temporal component of the motion corresponds precisely to following the expansion of the temporal dimension at the constant privileged speed c. Despite its conceptual differences from General Relativity, the weak-field predictions of the 4DEU theory are in exact agreement with those of GR. This equivalence is not superficial: it rigorously covers all experimentally verified gravitational phenomena in the weak field regime, including gravitational redshift, light deflection, Shapiro time delay, and perihelion precession, and is not the result of a formal resemblance to GR equations, but rather a genuine consequence of a spatially curved universe governed by real temporal expansion.
Thus, the 4DEU theory is fully consistent with current gravitational observations in the domains where General Relativity has been tested. This observational agreement confirms the viability of 4DEU as an alternative gravitational theory while offering a potentially deeper and more intuitive interpretation of mass, radiation, privileged time, and gravitation. The strong-field regime is beyond the scope of the present work and will be investigated in future studies.
This study provides a consistent explanation of gravitational phenomena within a spatially curved universe governed by the dynamics of Temporal Waves, without resorting to curvature of an imaginary time dimension or null spacetime intervals. The gravitational field emerges exclusively from spatial curvature, yielding predictions in full agreement with observational data in the weak-field regime. Future work will extend this investigation to the strong-field regime and explore further observational implications.
References
- Einstein, A. (1915). The field equations of gravitation. Sitzungsber. Preuss. Akad. Wiss. Berlin (Math. Phys.), 1915, 844-847.
- Misner, C. W., & Thorne, K. S. (1973). & Wheeler, JA:Gravitation.
- Maglione, D. (2024). Theory of the Four-dimensional Electromagnetic Universe, Part I: A Real Hyperspherical Four-Dimensional Universe Can Explain the Equations. J. Phys. Astron, 12(1), 397.
- Maglione, D. (2024). Theory of the four-dimensional electromagnetic universe, part II: Temporal waves as the foundation of the creation and expansion of the universe. J Mod Appl Phys, 7, 1-17.
- Maartens, R., Santiago, J., Clarkson, C., Kalbouneh, B., & Marinoni, C. (2024). Covariant cosmography: the observer- dependence of the Hubble parameter. Journal of Cosmology and Astroparticle Physics, 2024(09), 070.
- Maglione D. (2024). Theory of the Four-Dimensional Electromagnetic Universe: Temporal Waves as the Foundation of the Creation and Expansion of the Universe. Eliva Press. ISBN: 9781636487410.
- Carroll, S. M. (2019). Spacetime and geometry. CambridgeUniversity Press.
- Wald, R. M. (1984). General Relativity, Chicago Univ. Pr., Chicago, USA, 10.
- Misner, C. W., & Thorne, K. S. (1973). & Wheeler, JA:Gravitation.
- Nandra, R., Lasenby, A. N., & Hobson, M. P. (2012). The effect of a massive object on an expanding universe. MonthlyNotices of the Royal Astronomical Society, 422(4), 2931-2944.
- Bonnor, W. B. (1996). The gravitational field of light. Mon Not R Astron Soc, (282)1467–1470.
- Faraoni, V., & Jacques, A. (2007). Cosmological expansion and local physics. Physical Review D—Particles, Fields, Gravitation, and Cosmology, 76(6), 063510.
- Carrera, M., & Giulini, D. (2010). Influence of global cosmological expansion on local dynamics and kinematics. Reviews of Modern Physics, 82(1), 169-208.
- Goldstein H., Poole C.P., Safko J.L. (2002). Classical Mechanics. 3rd ed. San Francisco: Addison-Wesley.
- Landau L.D., Lifshitz E.M. Mechanics. 3rd ed. Oxford:Butterworth-Heinemann; 1976.
- Hartle, J. B. (2003). Gravity: An Introduction to Einstein’sGeneral Relativity. San Francisco: Addison-Wesley.
- Samir D. Mathur. (2009). The information paradox: a pedagogical introduction. Class. Quantum Grav 26, 224001
