Research Article - (2024) Volume 1, Issue 1
Exploring the Frontiers of Wave Phenomena: From Cherenkov Radiation to Scalar Waves
Received Date: Sep 20, 2024 / Accepted Date: Oct 15, 2024 / Published Date: Oct 23, 2024
Copyright: ©©2024 Bahman Zohuri. This is an open-access article distributed under the terms of the Creative Commons Attribution License, which permits unrestricted use, distribution, and reproduction in any medium, provided the original author and source are credited.
Citation: Zohuri, B. (2024). Exploring the Frontiers of Wave Phenomena: From Cherenkov Radiation to Scalar Waves. J Electr Comput Innov, 1(1), 01-08.
Abstract
This article delves into the intriguing concepts of Cherenkov radiation and scalar waves, examining their theoretical foundations and implications in the context of modern physics. Cherenkov radiation, a well-documented phenomenon observed when charged particles travel faster than the phase velocity of light in a medium, is analyzed through both classical and quantum perspectives. The phenomenon adheres to the principles of relativity, demonstrating how particles can exceed light speed in specific contexts without violating fundamental physical laws. In contrast, scalar waves present a more controversial subject, often described as energy waves lacking empirical support and a clear theoretical framework. The article contrasts the nature of scalar waves with electromagnetic waves, exploring their phase velocity and energy-carrying capabilities. Ultimately, the discussion highlights the significance of established wave phenomena like Cherenkov radiation while addressing the speculative nature of scalar waves, offering insights into the broader implications for our understanding of wave dynamics and the boundaries of physics.
Keywords
Cherenkov Radiation, Scalar Waves, Phase Velocity, Electromagnetic Waves, Relativity, Quantum Mechanics, Energy Waves, Superluminal, Wave Phenomena, Particle Physics
Introduction
Wave phenomena are fundamental to our understanding of physics, encompassing a variety of concepts that describe how energy and information propagate through different mediums. Among these phenomena, Cherenkov Radiation (CR) stands out as a well-established effect observed when charged particles, such as electrons, travel faster than the phase velocity of light in a dielectric medium. First identified by Pavel Cherenkov in 1934, this phenomenon not only enriches our understanding of electromagnetic theory but also operates within the frameworks of classical and quantum physics, adhering to the principles of relativity.
In contrast, Longitudinal Scalar Waves (LSWs) or in short Scalar Waves (SWs) present a more controversial and speculative concept within the realm of wave dynamics. Often portrayed as non-polarized energy waves, scalar waves lack a clear theoretical foundation and empirical validation compared to their electromagnetic counterparts. While scalar waves are discussed in various theoretical constructs, their properties and implications remain contentious, leading to debates about their role and significance in modern physics.
This article explores the intricacies of both Cherenkov radiation and scalar waves, examining the mathematical principles, theoretical implications, and experimental observations that underpin these phenomena. By contrasting the well-documented nature of Cherenkov radiation with the more speculative concept of scalar waves, we aim to provide a comprehensive overview of wave phenomena, highlighting the boundaries of established physics and the potential for new theoretical explorations. Through this examination, we seek to deepen our understanding of how waves operate, their implications for energy transfer, and their relationship with the fundamental principles of relativity and quantum mechanics.
Cherenkov Radiation: A Fusion of Classical and Quantum Physics
Cherenkov radiation, also referred to as cerenkov or Cerenkov radiation, is electromagnetic radiation that is released when a charged particle, like an electron, travels faster through a dielectric medium, like distilled water, than the phase velocity, or the speed at which a wavefront propagates through the medium, of light.as illustrated in Figure-1, where Cherenkov radiation glowing in the core of the Advanced Test Reactor at Idaho National Laboratory [1,2].
The distinctive blue glow produced by an underwater nuclear reactor is a well-known illustration of Cherenkov radiation. Its origin is comparable to that of a sonic boom, which is the high-pitched sound produced by motion that moves faster than sound. The phenomena bears, Pavel Cherenkov's name, a Soviet physicist.
Cherenkov radiation happens when electrically charged particles, such as protons or electrons, travel faster than light in a clear medium like water. When this happens, the water molecules and particles interact to give off light and how it works is given in following holistic descriptions below.
Cherenkov radiation happens when electrically charged particles, such as protons or electrons, travel faster than light in a clear medium like water. When this happens, the water molecules and particles interact to give off light.
Figure 1: Cherenkov Radiation
Cherenkov radiation is a fascinating phenomenon observed when a charged particle, such as an electron, travels through a dielectric medium at a speed greater than the phase velocity of light in that medium. This effect, first identified by Soviet physicist Pavel Cherenkov in 1934, has profound implications in both classical and quantum physics.
Now the question is that, how is it possible to travel faster than the speed of light?
Light passing through water slows down to 75% of its original speed. This enables the particles released by nuclear fuel to travel through water faster than the speed of light. This matter further explained in the section below.
Now again, we can ask another question of why is Cherenkov Radiation Blue?
To answer this question, we utilize illustration in Figure-2, where the Comparison of wavelength, frequency and energy for the electromagnetic spectrum has depicted.
Photons are a type of electromagnetic radiation that travel in waves. The wave forms are defined by the height and distance between them.
The photons resulting from Cherenkov radiation have a high frequency and short wavelength. This appears to the human eye as blue or violet on the electromagnetic spectrum.
The light intensity can be used for accounting of nuclear material at nuclear facilities, conducting physics experiments to determine the energy and trajectory of subatomic particles, and for helping to study and detect cosmic showers in outer space. Results all these reasoning ends up with illustration of Figure-3, where it shows Cherenkov Radiation captured inside the Advanced Test Reactor at Idaho National Laboratory and Figure-4 Cherenkov radiation in the University of Massachusetts Lowell Radiation Laboratory.
Figure 2: Comparison of Wavelength, Frequency and Energy for the Electromagnetic Spectrum
Figure 3: Cherenkov Radiation captured inside the Advanced Test Reactor at Idaho National Laboratory

Figure 4: Cherenkov Radiation in the University of Massachusetts Lowell Radiation Laboratory
Basics of Cherenkov Radiation
As, we stated at the beginning of introductory of the article, this effect, first identified by Soviet physicist Pavel Cherenkov in 1934, has profound implications in both classical and quantum physics.
Classical Physics Perspective
In classical terms, the speed of light in a vacuum is approximately 299,792 km/s. However, light travels more slowly in materials like water or glass, where its speed is reduced due to interactions with the medium's atomic structure. When a charged particle exceeds this reduced speed, it emits a characteristic blue glow known as Cherenkov radiation. This occurs because the particle polarizes the surrounding medium, creating a shockwave of electromagnetic radiation. The intensity and angle of this radiation depend on the particle's velocity and the refractive index of the medium.
Quantum Physics Perspective
From a quantum standpoint, Cherenkov radiation can be understood through the interactions between the charged particle and the medium's photons. As the particle moves faster than the phase velocity of light, it excites the atoms in the medium, leading to the emission of virtual photons. These photons, upon returning to their ground state, release energy in the form of Cherenkov radiation. The quantum description emphasizes the probabilistic nature of particle interactions and the concept of vacuum fluctuations.
In conclusion, Cherenkov radiation serves as a compelling intersection between classical and quantum physics, illustrating how both frameworks can describe the same phenomenon. Its generation relies on the unique interactions between charged particles and the atomic structure of the medium, making it an important topic in fields such as astrophysics, nuclear physics, and particle detection technologies.
Speed and Generation of Cherenkov Radiation
Importantly, while Cherenkov radiation occurs when a particle travels faster than light in a medium, it does not violate the fundamental postulate of special relativity, which states that no information or mass can exceed the speed of light in a vacuum. The particle itself is not moving faster than light in vacuum; instead, it is outpacing light's slower phase velocity in the medium.
The speed of light in a material can be much slower than its universal constant in vacuum (c = 299,792,458 m/s). This is because the medium causes light to appear to travel at a slower pace. In water, for instance, it is just 0.75c. In particle accelerators and during nuclear processes, matter can accelerate to a velocity greater than this, but still less than c, the speed of light in a vacuum. When a charged particle, most frequently an electron, moves faster than light across a dielectric medium— which might be electrically polarized—Cherenkov radiation is produced.
The following is an intuitive description of the impact. According to Huygens' principle, accelerating charged particles produce Electromagnetic waves (EM waves), which propagate with the medium's phase velocity (i.e., the speed of light in that medium, given by c/n, where n, the refractive index). This information comes from classical physics.
Any charged particle will cause the medium's particles to polarize around it as it travels through. The molecules in the polarizable medium are excited by the charged particle, and when they return to their ground state, they reemit the energy that was used to excite them as photons. The spherical wave fronts that are seen as they emerge from the traveling particle are formed by these photons.
The polarization field that generates around a moving particle is often symmetric if v p c /n , or the charged particle's velocity, is less than the speed of light in the medium. Although the equivalent emitted wave fronts may be grouped together, they do not intersect or overlap, hence interference effects are not to be taken into account.
When the circumstances are reversed, that is, when vpc /n , the polarization field is asymmetric throughout the particle's path because the medium's particles do not have enough time to return to their "normal" randomized states. Waveforms overlap as a result as seen in Figure-5(A, B), and constructive interference produces the cone-like light signal that is seen at a distinctive angle.
Figure 5(A): The Shock Waves
Figure 5(B): Emission Angle of Travelling
Figure 5: Animation of Cherenkov radiation
Both Figure-5 (A, B) are illustrating, A common analogy is the sonic boom of a supersonic aircraft. The sound waves generated by the aircraft travel at the speed of sound, which is slower than the aircraft, and cannot propagate forward from the aircraft, instead forming a conical shock front. In a similar way, a charged particle can generate a "shock wave" of visible light as it travels through an insulator.
Furthermore, the velocity that must be exceeded is the phase velocity of light rather than the group velocity of light. The phase velocity can be altered dramatically by using a periodic medium, and in that case one can even achieve Cherenkov radiation with no minimum particle velocity, a phenomenon known as the Smith–Purcell effect. In a more complex periodic medium, such as a photonic crystal, one can also obtain a variety of other anomalous Cherenkov effects, such as radiation in a backwards direction (see Figure-4 as an example) whereas ordinary Cherenkov radiation forms an acute angle with the particle velocity [3].
Note that: The free-electron laser (FEL) was first demonstrated using the Smith-Purcell effect. Steve Smith, a graduate student, examined it under Edward Purcell's supervision. In order, to produce visible light, scientists directed an intense electron beam very nearly parallel to the surface of a ruled optical diffraction grating in their experiment [4]. Smith demonstrated that the inducing electrons' flight was barely affected. In essence, this is a type of Cherenkov radiation in which the periodic grating has changed the light's phase velocity. Nevertheless, there is no minimum or threshold particle velocity, in contrast to Cherenkov radiation.
Smith–Purcell radiation is particularly attractive for applications involving non-destructive beam diagnostics (bunch-length diagnostics in accelerators for example) and especially as a viable THz radiation source, which has further broad-range uses in diverse and high-impact fields like materials sciences, biotechnology, security and communications, manufacturing and medicine. Operating at THz frequencies also allows for potentially large accelerating gradients (~10s GeV/m) to be realized. This, paired with plasma-wakefield acceleration methods under development and linear accelerator (linac) technology, could pave the way to next-generation, compact (and hence cheaper), less prone to RF breakdown (current limits for surface E fields are of the order of 10s-100 MV/m), high energy output Linacs, which is a Linear Accelerator particle research vacuum [5].
Mathematical Theory Behind Cherenkov Radiation
The mathematical description of Cherenkov radiation involves several key concepts from electromagnetism, optics, and particle physics. Here’s a breakdown of the relevant equations and principles:
Phase Velocity of Light
The phase velocity Vp of light in a medium is given by:

where:
• c is the speed of light in vacuum (~299792 km/s).
• n is the refractive index of the medium.
Threshold Condition for Cherenkov Radiation
For Cherenkov radiation to occur, a charged particle must travel faster than the phase velocity of light in the medium:

This leads to the condition:

Cherenkov or Emission Angle
Using Figure-6 below, on the geometry, the particle (red arrow) travels in a medium with speed Vp such that:

where again c is speed of light in vacuum, and n is the refractive index of the medium. If the medium is water, the condition is again, 0.75c < Vp< c , since n ≈ 1.33 for water at 20 0C.
We define the ratio between the speed of the particle and the speed of light by rewriting relation (3) as follows using phase velocity Vp:


The emitted light waves (denoted by blue arrows) travel at speed denote in relation (6) below:
Figure 6: The geometry of the Cherenkov Radiation Shown for the Ideal Case of No Dispersion

The left corner of the triangle represents the location of the superluminal particle at some initial moment (t = 0). The right corner of the triangle is the location of the particle at some later time t. In the given time t, the particle travels the distance whereas the emitted electromagnetic waves are constricted to travel the distance

So, the emission angle results in

This equation shows how the angle at which Cherenkov radiation is emitted depends on both the particle's speed and the refractive index of the medium.
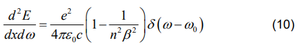
Radiation Intensity
The intensity I of Cherenkov radiation is related to the number of emitted photons and can be expressed using the Frank-Tamm formula:

where:

frequency,
• e is the charge of the particle.
• ε0 is the permittivity of free space.
• δ is the Dirac delta function, indicating that the radiation is emitted at a specific frequency ê?¶0
Quantum Considerations
In quantum terms, the emission of Cherenkov radiation can be understood through the production of virtual photons. The probability of photon emission can be derived from Quantum Electrodynamics (QED) principles. The rate of emission is influenced by the particle's velocity and the interaction with the medium's atomic structure.
In summary, the mathematical theory of Cherenkov radiation combines principles from classical optics and quantum mechanics. The fundamental equations highlight the relationship between the particle's speed, the medium's refractive index, and the resulting radiation. This phenomenon not only has significant implications in fundamental physics but also plays a crucial role in practical applications like particle detectors and astrophysical observations.
In conclusion, the key points are:
1. Speed in Different Mediums: The speed of light is constant at approximately 299,792299,792299,792 km/s in a vacuum. However, light travels slower in any medium, such as water or glass, where its speed is given by vp = c / n (with n being the refractive index). When a charged particle exceeds this phase velocity in the medium, it emits Cherenkov radiation.
2. Particle Speed: While the particle travels faster than the phase velocity of light in that medium, it is not exceeding the speed of light in a vacuum. The particle's speed still respects the universal speed limit set by the speed of light in vacuum.
3. Relativity Principle: According to Einstein's theory of relativity, no object with mass can reach or exceed the speed of light in vacuum. Cherenkov radiation is a result of the interactions of charged particles with the medium and does not imply that information or mass is traveling faster than light in a vacuum.
4. Emission of Radiation: The emission of Cherenkov radiation is analogous to a sonic boom created by an object traveling faster than the speed of sound in air. In both cases, the medium's properties define the speed limit for wave propagation (light or sound), but the fundamental principles of relativity remain intact.
In summary, Cherenkov radiation illustrates how particles can exceed the speed of light in a medium without violating the principles of relativity. The phenomenon is consistent with our understanding of both classical and quantum physics, reaffirming that while particles can move faster than light in certain contexts, they do not exceed the ultimate speed limit of light in vacuum
Introductory to Longitudinal Scalar Waves
Longitudinal scalar waves are a type of wave that oscillate in the same direction as their propagation. Unlike transverse waves, such as electromagnetic waves, where oscillations occur perpendicular to the direction of travel, longitudinal waves involve compression and rarefaction of the medium through which they move. This concept is often illustrated through sound waves in air, where regions of higher pressure (compressions) alternate with regions of lower pressure (rarefactions) [6-9].
In the context of scalar waves, the term "longitudinal" refers to the way these waves are theorized to propagate as scalar quantities, meaning they do not possess the vector characteristics associated with traditional waves. This distinction allows for discussions around scalar waves being capable of carrying energy or information without the need for electromagnetic interactions.
Nikola Tesla, the father of scalar energy, developed ideas and proposed two types of energy existed in the cosmos: Scalar Energy and Electromagnetic Energy. Because of the lack of technology to detect scalar energy, electromagnetic energy was more widely accepted and utilized. To prove scalar energy existed, Tesla experimented with abrupt discharges of electrostatic potentials, which released scalar energy from the vacuum of space also known at the time as the “Ether”. Tesla referred to “Scalar Energy” as “Radiant Energy” and believed that this was the primal force in the universe See Figure-7.
While longitudinal scalar waves are often referenced in alternative theories and discussions of energy transfer, their scientific validity remains a topic of debate. Understanding their characteristics and potential applications can offer insights into broader discussions in wave mechanics and energy phenomena.

Figure 7: Nikola Tesla, the Father of Scalar Energy
Scalar Waves vs. Cherenkov Radiation
The concept of scalar waves and their claim to exceed the speed of light is a contentious topic in physics and differs significantly from phenomena like Cherenkov radiation. Here’s a breakdown of the key distinctions:
1. Nature of Scalar Waves: Scalar waves are often described in theories that do not align with established physics. These waves are proposed to be non-physical, as they lack the vector characteristics that are fundamental to conventional wave theory (like electromagnetic waves). They often arise in fringe theories or alternative frameworks and have not been experimentally validated.
2. Cherenkov Radiation: Cherenkov radiation is a well-documented phenomenon grounded in classical electromagnetism and quantum mechanics. It occurs when charged particles travel faster than the phase velocity of light in a medium, without violating the principles of relativity.
3. Speed Limits: In the case of Cherenkov radiation, while the particle can exceed the phase velocity of light in a medium, it does not exceed the speed of light in vacuum, thus adhering to Einstein's theory of relativity. Scalar waves, on the other hand, if claimed to propagate faster than light, often lack a clear physical basis and do not conform to the relativistic framework.
4. Experimental Verification: Cherenkov radiation is experimentally observable and well-studied, while scalar waves have not been conclusively demonstrated or accepted in the scientific community. The propagation of information or mass at speeds exceeding that of light in vacuum would violate causality, a fundamental principle in relativity.
In conclusion, while both scalar waves and Cherenkov radiation may involve claims about faster-than-light propagation, they are fundamentally different in terms of scientific grounding, experimental evidence, and adherence to the principles of relativity. Cherenkov radiation is a legitimate physical phenomenon consistent with relativity, whereas the concept of scalar waves remains speculative and unverified within established physics.
Phase Velocity in Scalar Waves
In the context of scalar waves, the concept of phase velocity can still be applied, but its interpretation may differ from that in traditional wave theories, such as electromagnetic waves.
The following key points are applicable to this subject as:
1. Definition of Phase Velocity: The phase velocity vpv_pvp of a wave is defined as the rate at which the phase of the wave propagates in space. It is given by the equation

where ω is the angular frequency and kkk is the wave number.
2. Application to Scalar Waves: Scalar waves can have a phase velocity calculated using the same formula. However, the nature of these waves is often less clear because they do not have the same physical interpretation as vector waves (like electromagnetic waves). Scalar waves are typically not well-defined in terms of established physics, and their properties may vary based on the specific theoretical framework used.
3. Interpretational Differences: While phase velocity can be mathematically defined for scalar waves, it is essential to note that scalar waves often lack empirical validation and may not exhibit the same behaviors (like dispersion) that are seen in more established wave types.
4. Potential for Superluminal Phase Velocity: In some theoretical constructs involving scalar waves, the phase velocity might be described as exceeding the speed of light. However, this does not imply that any information or mass is transmitted faster than light, as phase velocity is not the same as the group velocity (which is related to information transfer).
In summary, While the concept of phase velocity can be applied to scalar waves, it is crucial to approach such discussions with caution due to the speculative nature of scalar wave theories. The validity of phase velocity in this context depends on the theoretical framework being used and may not have the same physical implications as in well-established wave phenomena.
Scalar Waves vs. Electromagnetic Waves
Scalar waves are often described in a way that distinguishes them from conventional electromagnetic waves, but they lack a universally accepted definition or empirical support. Here’s a comparison to clarify their nature as follows:
1. Nature of Scalar Waves:
• Scalar waves are proposed to be non-polarized waves that do not have the vector characteristics associated with electromagnetic waves (which have both electric and magnetic components).
• They are sometimes considered "energy waves" in the sense that they are theorized to carry energy or information, but the specifics of how this occurs are not well-defined or supported by experimental evidence.
2. Electromagnetic Waves:
• Electromagnetic waves, such as light, radio waves, and X-rays, consist of oscillating electric and magnetic fields that propagate through space. They are well-defined within Maxwell's equations and have been extensively validated by experiments.
• The energy carried by electromagnetic waves is quantifiable in terms of photon energy, given by E = hv where h is Planck's constant and v is the frequency.
3. Energy Considerations:
• In the case of scalar waves, the mechanisms by which they might carry energy are often not rigorously defined, leading to uncertainty about their physical reality.
• Theoretical constructs involving scalar waves sometimes propose that they can influence or transfer energy without the constraints of electromagnetic interactions, but these claims lack solid empirical backing.
In conclusion, while scalar waves can be discussed in terms of energy, their characterization as "energy waves" is speculative and not supported by the same robust theoretical framework as electromagnetic waves. As such, scalar waves remain a contentious topic in physics, and their practical existence or utility is not widely recognized in the scientific community.
Conclusion
The exploration of wave phenomena, particularly Cherenkov radiation and longitudinal scalar waves, reveals a rich tapestry of concepts that challenge and expand our understanding of physics. Cherenkov radiation serves as a well-established example of how charged particles can exceed the phase velocity of light in a medium while adhering to the principles of relativity. This phenomenon demonstrates the intricate interplay between classical and quantum physics, offering practical applications in fields such as particle detection and astrophysics.
In contrast, longitudinal scalar waves introduce a more speculative aspect of wave dynamics. While they are often discussed in terms of energy transfer and alternative theoretical frameworks, their lack of empirical support and a robust theoretical foundation raises questions about their validity within mainstream physics. Scalar waves highlight the ongoing debates surrounding the nature of energy waves and the limitations of current scientific understanding.
Together, these topics underscore the complexity of wave phenomena and the importance of rigorous scientific inquiry. While Cherenkov radiation is a concrete example grounded in established physics, scalar waves invite further exploration and critical examination of their theoretical implications. Ultimately, the study of both types of waves enriches our comprehension of the fundamental principles governing energy and information propagation, paving the way for future research and discoveries in the realm of physics.
References
- Cerenkov – Search | ScienceDirect.com". Science Direct. Archived from the original on 2024-01-22. Retrieved 2024- 01-22.
- Jackson, J. D. (1999). Classical Electrodynamics 3rd ed. New York: John Wiley & Sons, pp. 637–638.
- Luo, C., Ibanescu, M., Johnson, S. G., & Joannopoulos, J.D. (2003). Cerenkov radiation in photonic crystals. science, 299(5605), 368-371.
- Smith, S. J., & Purcell, E. M. (1953). Visible light from localized surface charges moving across a grating. Physical Review, 92(4), 1069.
- Jacewicz, M., Ziemann, V., Ekelöf, T., Dubrovskiy, A., & Ruber, R. (2016). Spectrometers for RF breakdown studies for CLIC. Nuclear Instruments and Methods in Physics Research Section A: Accelerators, Spectrometers, Detectors and Associated Equipment, 828, 63-71.
- Zohuri, B. (2019). Scalar Wave Driven Energy Applications. 1st Edition. Springer Publishing Company.
- Zohuri, B., & Moghaddam, M. J. (2023). Longitudinal Scalar Wave (LSW) Fact: It Is a True Science, Neither Pseudoscience Nor Fiction (A Short Memorandum). Journal of Energy and Power Engineering, 17, 57-62.
- Zohuri, B., & Moghaddam, M. J. (2021). Holistic Approach to Longitudinal Scalar Wave (LSW) Driven by Quantum Electrodynamic Technique. Modern Approach on Material Science, 4(5), 591-600.
- Zohuri, B. (2018). Principle of Scalar Electrodynamics Phenomena Proof and Theoretical Research. Journal of Energy and Power Engineering, 12, 408-17.

