Research Article - (2025) Volume 8, Issue 2
Effect of Foliar Application of Paclobutrazol on Growth and Yield of Tomato Cultivated Inside the Protected House in Low Country of Sri Lanka
Received Date: May 30, 2025 / Accepted Date: Jun 30, 2025 / Published Date: Jul 28, 2025
Copyright: © 2026 This is an open-access article distributed under the terms of the Creative Commons Attribution License, which permits unrestricted use, distribution, and reproduction in any medium, provided the original author and source are credited.
Abstract
This study aimed to develop a cultivation protocol for tomato (Solanum lycopersicum) under 50% shade conditions in protected environments, targeting the mitigation of heat stress effects through the foliar application of Paclobutrazol (PBZ) to regulate plant growth while maintaining optimal yield. Six treatments, T1 (0 ppm, control), T2 (25 ppm), T3 (50 ppm), T4 (100 ppm), T5 (200 ppm), and T6 (400 ppm) were arranged in a Randomized Complete Block Design (RCBD) with five replicates. Foliar applications were conducted at 14-day intervals, and data on vegetative and reproductive traits were collected at corresponding intervals. Statistical analysis was performed using ANOVA, and mean comparisons were conducted via Dunnett’s test at a 5% significance level. The results demonstrated that PBZ significantly influenced vegetative and reproductive parameters of tomato, showing a significant difference with the control, for the plant height increment (p<0.0001), internodal lengths between 4-5 nodes (p <0.0001) and 7-8 nodes (p< 0.001), leaf area in both 7th and 14th leaves (p < 0.0001) and stem diameter at 2.5 cm and 7.5 cm from the base of the plant (p< 0.0001).However, the number of leaves per plant remained unaffected (p>0.05). Reproductive parameters, including number of flowers/ plant (p<0.001), number of fruits/plant (p=0.002), weight/fruit (p=0.003), and diameter of fruit (p<0.001) were also significantly influenced by PBZ treatments. The 25 ppm PBZ treatment emerged as the optimal concentration, reducing plant height by 25.4% without compromising yield. These findings demonstrate that low-dose PBZ application at 14- day intervals can effectively regulate growth and sustain reproductive output, providing a viable agronomic strategy for tomato cultivation in shaded, high-temperature environments.
Keywords
High temperature, Paclobutrazol, Protected house, Shade conditions, TomatoIntroduction
Tomato (Lycopersicon esculentum) is a most economically valuable and widely cultivated vegetables in the world which belonging to family Solanaceae [1]. Tomatoes are extensively grown for their juicy fruits, prized for their exceptional nutritional benefits.as the world’s second largest vegetable crop, trailing only behind potatoes, tomatoes are highly esteemed in agriculture. Furthermore, they hold the distinction of being the most commonly preserved vegetable. Tomatoes can be enjoyed in various forms either in their natural state or after undergoing various processing techniques. These include the creation of tomato paste, tomato ketchup, soups, juices, diced versions, Sause, and purees among others. Tomatoes are packed with essential nutrients, fibre and powerful antioxidants such as lycopene and beta carotene. These antioxidants are helped to prevent the cancer. Additionally tomatoes have substantial quantities of vitamin A, C and important minerals like phosphorous and iron [2].
In Sri Lanka tomato production plays a vital role in meeting domestic demand and generating income for farmers. However, the country’s variable climate and increasing pressure on land resources have led to the adoption of protected cultivation practices such as green house and Protected house systems to enhance tomato production and protect against adverse weather conditions. One of the key challenges faced by tomato growers in protected house is managing plant growth and optimizing yields. Excessive vegetative growth in these controlled environments can lead to reduced light penetration, increased disease susceptibility and decreased fruit quality [3]. Although tomatoes are sensitive to both frost and high temperatures they are grown in various climates. They thrive in temperature between 20- 27 °C but fruit setting becomes a problem when temperatures go above 30 °C or drop below 10 °C. The temperature inside a protected house in low country Sri Lanka can vary depending on the season, location, design of tunnel, ventilation system etc. The average temperature inside a protected house can range from 28 °C to 36 °C [4].
Growing tomatoes in protected houses such as green house or poly tunnels can occur several challenges when faced with high heat conditions. High temperatures can negatively impact on tomato plants in various ways making it crucial for growers to address these issues effectively. Excessive heat can lead to physiological stress in tomato plants resulting in reduced photosynthesis, slowed growth and decreased fruit set. This not only affect the overall yield but also the quality of tomatoes produced. Increased temperature and humidity inside protected house can create favourable conditions for pest and disease also. To enhance growth, yield and fruit quality, shading can be used to reduce the light and temperature. Shade nets are increasingly used in enclosed spaces to reduce the negative effects of high temperatures on tomato plants. These semi-permeable screens, often made of materials like High Density Poly Ethylene which are placed above the plants to provide some shade. However, it also has challenges including reduced photosynthesis, increased humidity, cost and complex management. Farmers should consider these factors and adapt their practices to their specific conditions and goals when deciding whether to use shade net technology in tomato production. The use of shade nets in enclosed spaces in crucial for managing high temperatures and changing the ratio of Red (R) to Far Red (FR) light, which leads to taller plants. Shade nets acts as a barrier that reduces the intensity of sunlight entering enclosed spaces stated that red light interception caused low ratio of red and far-red light which results in increase in plant height [5&6].
This decrease in light intensity lowers the photo synthetically active radiation (PAR) reaching the plants. As a result, plants perceive a change in the R:FR light ratio because the shade net filters out some red light while allowing more far red light to penetrate[7]. This altered R:FR light ratio triggers various plant response such as increase gibberellin biosynthesis and it lead to increase stem elongation, known as shade avoidance syndrome[8]. When plants detect more FR light they interpret it as a sign of competition from nearby plants promoting them to grow taller to compete for sunlight [9]. This adaptive growth response helps plants reach available light and maximize photosynthesis.
Plant growth regulators find extensive use in modern agriculture for enhancing plant growth, crop yield, and quality of products. The effects whether beneficial of detrimental of theses regulators on plant growth, development and metabolic processes have been well- documented [10]. The term “growth retardants” encompasses all substances that inhibit cell division and elongation in shoot tissues, thereby regulating plant height without inducing structural changes [11]. Paclobutrazol (PBZ) is a triazole derivative that inhibits sterol and gibberellin biosynthesis. This compound significantly alters plant growth and development by modifying photosynthetic rates and phytohormone levels. PBZ inhibits ent-kaurene oxidase.it is an enzyme in the GA3 biosynthesis pathway catalysing the conversion of ent-kaurene to ent-kaurenoic acid [12]. PBZ application reduces plant height, enhance stem diameter, leaf number and modifies root architecture. PBZ is leading to increase yields and reduced lodging incidents [13].
However, the effects of PBZ on tomato plants may vary depending on the dosage, method and time of application. The method of application can be either soil drenching or foliar spraying. Soil drenching being more effective and persistent than foliar spraying but it can be lethal at some time. The time of application can be either at transplanting, growing or flowering [14]. There is limited information on the effects of foliar application of paclobutrazol (PBZ) on the growth and yield of tomato plants grown under 50% shade condition in protected house in low country Sri Lanka. Most of the previous studies have focused on soil application of PBZ or different light regimes. The optimal dose, method and time of foliar application of PBZ for tomato plants grown under shade condition in protected house are not well established. This study is important to explore the potential benefits of foliar application of PBZ on growth and yield of tomato plants grown under shade condition in protected house. This could help to improve the productivity and quality of tomato crops in low country in Sri Lanka where high temperature and low light intensity are major constraints for tomato production. The study could also provide useful information for the optimal use of PBZ as a plant growth regulator and a stress protectant for tomato plants.
Objectives of the Study
• To develop a protocol for tomato cultivation under 50% shade conditions, aiming to minimize adverse effect of high temperature in protected house in low country of Sri Lanka.
• To compare the effect of PBZ on growth and reproductive parameters under 50% shade condition.
• To find the optimum dose of Paclobutrazol to achieve maximum growth and reproductive parameters of tomato under 50 % shade condition.
Materials and Methods
The experiment was conducted under controlled environmental conditions with 50% shade condition in protected house at the faculty of Agriculture, University of Ruhuna, Mapalana, Kamburupitiya located in low country wet zone (WL2a). The tomato plants (variety- Platinum F1) were grown in soilless media (coir + partially burn paddy husk in 3 :1 ratio) with five replicates in the Randomized Complete Block Design (RCBD). Six treatment concentration (PBZ) were used (T1- 0 ppm/control, T2-25 ppm, T3-50 ppm, T4-100 ppm, T5-200 ppm, T6-400 ppm) and apply them with 14 days’ interval up to drench the plant using spray bottle. For the experiment a 50% black colour shade net was laid 8 ft above ground level inside the protected house. All the recommended agricultural practices were followed while raising the plants. Alberts’s solution was applied as the fertilizer in 2g/l-250 ml/plant, 500 ml/plant and 2.4 g/l-500ml/plant in 1-3 WAP,4-7 WAP, and 7-12 WAP respectively. Growth (Plant height increment, Stem diameter, Internodal length, number of leaves/plants, Leaf area and chlorophyll content) and reproductive parameters (number of flowers/plants, number of fruits/plants, weight of fruit/ plant, and the diameter of fruit) were measured with 14 days’ interval. Data were statistically analyzed by the means of one-way ANOVA using SAS 9.1.3. statistical software. Mean comparison was done by using Dunnett’s test at 5% probability level.
Results and Discussion
Effect of PBZ on Vegetative Parameters of Tomato
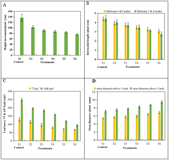
The plant height increment (p < 0.0001), Internodal lengths in between 4-5 node (p < 0.0001) and 7-8 node (p < 0.001), leaf area (p < 0.0001) and stem diameter (p<0.0001) were significantly different with the control (T1). However, the number of leaves per plant remained unaffected (p > 0.05).
The control (T1) exhibited the greatest height increment reaching approximately 137 cm, which was significantly higher than that of all PBZ treated plants. In contrast, PBZ treatments (T2-T6) progressively reduced plant height increment, suggesting a dose dependent inhibitory effect of PBZ on stem elongation. The highest concentration of PBZ (400 ppm - T6) resulted in the lowest height increment (76.4 cm) (Figure 01) (Figure 03-A). Similarly, A significant difference in internodal length was observed between the control (T1) and all PBZ-treated plants (T2–T6) (p < 0.0001) for the 4th –5th internode and (p<0.001) for the 7th–8th internode. In both internode ranges, the application of PBZ consistently resulted in reduced internode length compared to the control.
The longest internode length was recorded in the control (4.4 cm), while the shortest lengths were observed in T6 (3.07 cm and 2.8 cm for the 4th –5th and 7th –8th internodes, respectively) (Figure 03-B). This indicates a clear growth-inhibitory effect of PBZ on internode elongation in tomato plants. Moreover, a concentration-dependent trend was evident, with increasing PBZ levels leading to progressively shorter internodes. As per, they found that plants cultivated in shaded conditions demonstrated superior growth in terms of plant height compared to those grown in open fields [15]. reported an increase in plant height and leaf area when plants were subjected to shade [16]. also reported that the interception of red light led to a reduced red-to-far-red light ratio, resulting in an elevation in plant height [6].
The use of PBZ caused to a reduction in plant height resulting in a significant dwarfism which represents a crucial morphological outcome. The application of PBZ notably decreased the elongation of the uppermost internodes contrary to the suggestion by, which proposed a decrease in their quantity [17]. The decreased length of internodes directly contributed to the reduction in overall plant height documented that the reduction in shoot growth in response to PBZ treatment is primarily attributed to a decrease in internode length [18]. The effective dose varies among species and cultivars. Moreover,found a reduction in internode length in tomatoes in response to PBZ treatment [19]. Webster noted that the application of PBZ at a rate of 400 ppm resulted to a greater decrease in internode length compared to the application of 200 ppm PBZ.
Figure 1: Variation of Plant Height as Affected by Different Concentration of PBZ (T1-No PBZ/Control, T2-25 ppm, T3- 50 ppm, T4-100 ppm, T5-200 ppm, T6- 400 Ppm)
There was no significant difference (p > 0.05) in number of leaves. The highest number of leaves were recorded from T2 (32) while the T4 was recorded the lowest mean number of leaves per plant (27). Despite the fact that, the number of leaves were not significant, the application of PBZ resulted in a consistent decline in leaf area with increasing concentrations, indicating a dose-dependent inhibitory effect on leaf expansion in tomato plants. According to Figure 03-C, a statistically significant difference in leaf area was observed in treatments when compared to the control (T1) in both the 7th and 14th leaves (p < 0.0001). The control group (T1) consistently exhibited the highest leaf area, while PBZ-treated plants (T2–T6) showed a progressive reduction in leaf size. In the 7th leaf stage, the maximum leaf area was recorded in the control (129 cm²), whereas the minimum was observed in T6 (66.84 cm²).
A similar trend was evident at the 14th leaf stage as well, where T1 recorded the largest leaf area (248.1 cm²), while T6 exhibited the lowest (94.5 cm²) (Figure 02). These findings suggest that PBZ suppresses leaf growth, likely through physiological mechanisms such as reduced cell expansion and/or inhibited cell division. The reduction in leaf area was more pronounced at higher PBZ concentrations (T4, T5, and T6), confirming the compound's concentration-dependent effect on leaf development (Figure 02). Triazole treatments led to a significant reduction in leaf area, possibly attributed to a decrease in leaf size, as reported in studies by observed a reduction in leaf area in Manihot esculenta following triazole treatments, aligning with the findings indicating a consistent impact on leaf area across different plant species [20]. The observed reduction in leaf area is indicative of the suppressive effect of triazole treatments on overall leaf size.
Figure 2: Variation in Leaf Area as Affected by Different Concentration of PBZ (T1-No PBZ/Control, T2-25 ppm, T3- 50 ppm, T4-100 ppm, T5-200 ppm, T6-400 ppm)
There was a significant difference was observed in T3- T6 with control (T1) (P< 0.0001). The highest stem diameter values were recorded in T6 for both 2.5 cm and 7.5 cm from the base of the plant. At 2.5 cm above the base, T6 was showed 6.86 mm, indicating a substantial enhancement compared to the T1 (control). Similarly, at the point of above 3 inches, T6 exhibits a significantly highest stem diameter (9.50 mm) (Figure 03-D). These findings suggest that the application of PBZ particularly in T6, had a notable positive effect on stem diameter leading to enhanced plant structural development.
Conversely the lowest stem diameter values were observed in the T1 (control) for both places. At 2.5 cm above the base, T1 was recorded a stem diameter of 5.38 mm, while at 7.50 cm, it was recorded 7.19 mm. This indicates that the untreated plants have comparatively smaller stem diameters, highlighting the potential impact of PBZ on promoting thicker stem development. the results illustrate a clear trend of increasing stem diameter with higher concentrations of PBZ, as evidenced by the highest values in T6 and the lowest values in the control (T1). reported the application of PBZ treatment to plants caused to significant changes in stem anatomy, characterized by an increase in cortex thickness, larger vascular bundle size, and a greater pith diameter, thereby contributing to overall thicker stems [21].

Figure 3: Variation in Plant Height Increment (cm) (A), Internodal Length (cm) (B), Leaf Area (cm2) (C) and Stem Diameter (mm) (D)
Effect of PBZ on Reproductive Parameters of Tomato
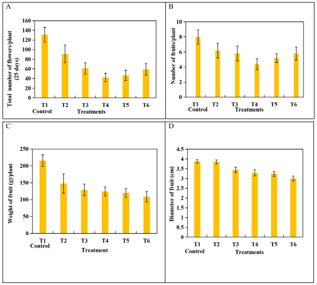
In terms of reproductive parameters, the number of flowers/plant (p < 0.001), number of fruits/plant (p = 0.002), weight (g)/fruit (p = 0.003), and diameter of fruit (cm) (p < 0.001) were significantly influenced by foliar application of PBZ. The results revealed a significant difference in the average number of flowers per plant among the treatments compared to the control (T1) (p < 0.001). Treatment T2 (91.20 flowers/plant) did not differ significantly from the control; however, treatments T3, T4, T5, and T6 showed statistically significant reductions in flower number compared to T1 (p < 0.05). The highest number of flowers per plant was observed in the control (131), whereas the lowest was recorded in T4 (42 flowers/plant) (Figure 04-A). These findings suggest that higher concentrations of PBZ negatively affect floral development in tomato plants. Reported that, increasing PBZ rate positively correlated with truss and flower numbers per plant in both applications [22]. PBZ may boost GA3 and cytokinin biosynthesis, as seen in increased endogenous cytokinin levels in apple trees. Similarly, found PBZ increased flower numbers in tomatoes, in contrary, reported a decrease of number of flowers in Hambule pepper found that, at lower concentrations, PBZ might inhibit certain physiological processes in plants, such as cell division or elongation, leading to a reduction in the number of flowers [14, 23&24]. This initial inhibition could be due to the disruption of normal hormonal balance or interference with specific pathways involved in flower development. As the concentration of PBZ increases, it may start to have stimulatory effects on certain aspects of plant growth. This could involve a more complex interplay of hormonal regulation, where higher concentrations of PBZ may trigger specific responses that promote flower development or enhance the overall growth of the plant.
The number of fruits/plants was significantly affected by PBZ treatments, with T3 to T6 showing a significant reduction compared to the control (T1) (P = 0.002). The highest mean number of fruits was recorded in T2 (14.3 fruits/plant), while T4 exhibited the lowest (8.8 fruits/plant). Treatments T5 and T6 both recorded the same mean number of fruits per plant (9.6) (Figure 04-B). A study conducted by found that PBZ application on tomatoes had varied effects based on its application method [23]. Foliar application reduced fruit yield, while drench application increased it, possibly by altering root-to-shoot ratio. Fruit yield per plant correlated positively with fruit number but negatively with mean fruit weight, indicating PBZ increased yield by boosting fruit number and reducing individual fruit size. Other studies by and noted PBZ's tendency to decrease fruit size, leading to more unmarketable yield [26]. reported earlier harvest maturity with PBZ, though total yield showed no significant difference from control plants [25&26].
The T3, T4, T5, and T6 exhibited a significantly lower mean fruit weight per plant compared to the control (T1). The highest mean fruit weight was recorded in the control (215.48 g/plant), while the lowest was observed in T6 (400 ppm), with an average of 108.81 g/plant (Figure 04-C). These results indicate a clear downward trend in fruit weight per plant with increasing concentrations of PBZ, suggesting a dose-dependent negative effect on fruit biomass accumulation. These results agreed with, and findings [23, 25&26]. They have documented a notable increase in overall tomato fruit yield in response to PBZ application. PBZ appears to enhance tomato yield by improving transplant quality, increasing branch count, promoting early flowering and fruiting, prolonging the retention of photo synthetically active leaves, and extending the duration of fruit production. The observed rise in yield per plant, fruit per truss, and overall plant yield with PBZ treatment may be attributed to its impact on assimilate partitioning in favour of reproductive organs and an increase in the root-to-shoot ratio. found that foliar PBZ application significantly reduced tomato fruit yield, whereas drench application significantly increased it, highlighting the method's influence on PBZ's effect, potentially through an elevated root-to-shoot ratio [23]. The positive association between fruit yield per plant and fruit number per truss or plant, along with the negative correlation with mean fruit weight, suggests that PBZ enhances fruit yield by increasing the number of fruits while reducing individual fruit size.
The foliar application of PBZ resulted in a notable reduction in fruit diameter (cm) across treatments. The control (T1) recorded the largest mean diameter (3.88 cm), while PBZ-treated plants (T2 to T6) showed a progressive decline. Statistical analysis revealed that treatments T3 to T6 were significantly different from the control/T1 (P < 0.0001), indicating that higher PBZ concentrations adversely affect fruit size (Figure 04-D) showed that one of the effects of PBZ is that it can reduce the fruit diameter of tomato plants by inhibiting gibberellin synthesis and increasing cytokinin levels [14]. Gibberellin is a hormone that stimulates stem elongation and fruit development while cytokinin is a hormone that promotes cell division and differentiation. By reducing the gibberellin levels PBZ can cause the cells in the fruit to divide more rapidly and increase the fruit size when applied to tomato plants higher concentrations of PBZ may further limit the elongation of cells and consequently the expansion of fruits. This can result in smaller fruit diameter as the growth of the fruits is restricted [27].

Figure 4: Variation in Total Number of Flowers/Plant (A), Number of Fruits (B), Weight of Fruit (g) (C), Diameter of Fruit (cm) (D)
Conclusion
The study was conducted with the aim of developing a cultivation protocol for tomato (Solanum lycopersicum) under 50% shade conditions in protected environments in the low country region in Sri Lanka, to mitigate the adverse effects of high temperatures. Tomato plants grown under these shaded conditions experienced reduced heat stress, and the application of PBZ effectively controlled vegetative growth by reducing plant height. Foliar application of PBZ significantly reduced plant height, internodal length, and leaf area, while increasing stem diameter compared to untreated controls. Additionally, PBZ influenced reproductive parameters including flowering, fruit set, fruit weight, and fruit diameter. The application of 400 ppm PBZ resulted in the greatest reduction in plant height (44.10%) relative to the control, whereas 25 ppm PBZ reduced plant height by 25.40% without significantly affecting reproductive parameters. Overall, the results suggest that foliar application of 25 ppm PBZ at 14-day intervals is optimal for managing plant height while maintaining maximum yield under shaded cultivation conditions.
References
- Hernández. F, Ricardo L.O, Jarquín D.M.S., (2017). Genetic diversity within wild species of Solanum, Revista Chapingo Serie Horticultura, 24(2), 85-96.
- Swamy,K.R.,(2023).Origin, distribution, taxonomy, botanical description, genetic diversity and breeding of tomato (Solanum lycopersicum L.), International Journal of Development Research, 13(04), pp. 62364–62387.
- Zhang, S., Gu, X., Shao, J., Hu, Z., Yang, W., Wang, L., ... & Zhu, L. (2021). Auxin metabolism is involved in fruit set and early fruit development in the parthenocarpic tomato “R35-P”. Frontiers in Plant Science, 12, 671713.
- Temperature Monitoring Controlling System for Protected house – A C C I M T (06/10/2023).
- Lopez, R. G., & Runkle, E. S. (2005). Environmental physiology of growth and flowering of orchids. HortScience, 40(7), 1969-1973.
- Murakami, K., Cui, H., Kiyota, M., Aiga, I., & Yamane, T. (1996, May). Control of plant growth by covering materials for greenhouses which alter the spectral distribution of transmitted light. In II Workshop on Environmental Regulation of Plant Morphogenesis 435 (pp. 123-130).
- Casal, J. J. (2012). Shade avoidance. The Arabidopsis book/ American Society of Plant Biologists, 10, e0157.
- Ballaré, C. L., & Pierik, R. (2017). The shade avoidance syndrome: multiple signals and ecological consequences. Plant, cell & environment, 40(11), 2530-2543.
- Smith, H. (2000). Phytochromes and light signal perception by plants—an emerging synthesis. Nature, 407(6804), 585-591.
- Ashraf, M., Akram, N. A., Al-Qurainy, F., & Foolad, M. R. (2011). Drought tolerance: roles of organic osmolytes, growth regulators, and mineral nutrients. Advances in agronomy, 111, 249-296.
- PGRSA., (2007). Plant growth regulation handbook of the Plant Growth Regulation Society of America (4th ed.). Athens:The Plant Growth Regulation Society of America.
- Khan, M. S. H., Wagatsuma, T., Akhter, A., & Tawaraya,K. (2009). Sterol biosynthesis inhibition by paclobutrazol induces greater aluminum (Al) sensitivity in Al-tolerant rice. Am. J. Plant Physiol, 4, 89-99.
- Syahputra, B. S. A., Sinniah, U. R., Ismail, M. R., & Swamy,M. K. (2016). Optimization of paclobutrazol concentration and application time for increased lodging resistance and yield in field-grown rice. The Philippine Agriculture Science (PAS), 9(33).
- Desta, B., & Amare, G. (2021). Paclobutrazol as a plant growth regulator. Chemical and Biological Technologies in Agriculture, 8(1), 1
- Thangam, M., & Thamburaj, S. (2008). Comparative performance of tomato varieties and hybrids under shade and open conditions. Indian Journal of Horticulture, 65(4), 429-433.
- Paez, A., Paz, V., & López, J. C. (2000). Crecimiento y respuestas fisiológicas de plantas de tomate cv. Río Grande en la época mayo-julio. Efecto del sombreado. Rev. Fac. Agron. (LUZ), 17, 173-184.
- Tesfahun, W. (2018). A review on: Response of crops to paclobutrazol application. Cogent Food & Agriculture, 4(1), 1525169.
- Davis, T. D., Curry, E. A., & Steffens, G. L. (1991). Chemical regulation of vegetative growth. Critical reviews in plant sciences, 10(2), 151-188.
- Webster, A. D., & Quinlan, J. D. (1984). Chemical control of tree growth of plum (Prunus domestica L.). I. Preliminary studies with the growth retardant paclobutrazol (PP333). Journal of horticultural science, 59(3), 367-375.
- Gomathinayagam, M., Jaleel, C. A., Lakshmanan, G. A., & Panneerselvam, R. (2007). Changes in carbohydrate metabolism by triazole growth regulators in cassava (Manihot esculenta Crantz); effects on tuber production and quality. Comptes Rendus. Biologies, 330(9), 644-655.
- Tekalign, T., & Hammes, P. S. (2005). Growth and biomass production in potato grown in the hot tropics as influenced by paclobutrazol. Plant Growth Regulation, 45(1), 37-46.
- Zhu, L. H., van de Peppel, A., Li, X. Y., & Welander, M. (2004). Changes of leaf water potential and endogenous cytokinins in young apple trees treated with or without paclobutrazol under drought conditions. Scientia Horticulturae, 99(2), 133-141.
- Berova, M., & Zlatev, Z. (2000). Physiological response and yield of paclobutrazol treated tomato plants (Lycopersicon esculentum Mill.). Plant Growth Regulation, 30(2), 117-123.
- Park, H. E., & Lee, J. M. (1989). The effects of growth regulator treatments on growth and other characteristics of peppers (Capsicum spp.).
- Orzolek, M. D. (1986). Use of growth retardants for tomato transplant production. Applied agricultural research, 1(3), 168-171.
- Souza-Machado, V.,Ali, A., Pitblado, R.and May, P., (1996). Enhancement of tomato seedling quality involving triazole seed priming/seedling nutrient-loading and the subsequent effect on harvest yield and quality. Report, Ontario Tomato seedling growers ‘Marketing Board, Canada.
- Souza-Machado V, Pitblado R, Ali A, May P, Bieche, B.J., (1999). Paclobutrazol in tomato (Lycopersicon esculentum) for improved tolerance to early transplanting and earlier harvest maturity. Acta Horticulture.;487:139–43
