Research Article - (2025) Volume 8, Issue 4
Dirac’s Legacy. A New Quantum-Mechanical Constant of the Universe: Hx
Received Date: Sep 19, 2025 / Accepted Date: Nov 10, 2025 / Published Date: Nov 26, 2025
Copyright: ©2025 Peter Gara. This is an open-access article distributed under the terms of the Creative Commons Attribution License, which permits unrestricted use, distribution, and reproduction in any medium, provided the original author and source are credited.
Citation: Gara, P. (2025). Diracâ??s Legacy. A New Quantum-Mechanical Constant of The Universe: HX. Adv Theo Comp Phy, 8(4), 01-19.
Abstract
"Testing the Large-Scale limits of quantum mechanics". The European Union has launched a call for proposals under the above title, to which a large number of research centres participated between 2018 - 2022, with many valuable results, 134 peer-reviewed papers, coordinated by Universitá degli Studi di Trieste, Italy. The term "large-scale" offered a very wide range of possibilities. Almost all theoretical/practical research looking for answers using quantum mechanics is looking down the dimensional scale, towards more and more 'elementary' components. Perhaps there is an answer to be sought up the dimensional scale as well. The interpretation of the present publication, following Dirac's guidance, shows the universe from a new perspective with the help of quantum mechanics.
Keywords
Quantum Mechanics, Universe, Dimensional Scale
Introduction
The unified theory of general relativity and quantum mechanics has been and is still being worked on by countless researchers. In this paper, we have chosen a different path, in which special relativity provides an appropriate basis. Between the two approaches, there is a proven link between special relativity and quantum mechanics. Relativity theory and quantum mechanics are successfully related in the work of Dirac [1]. From the point of view of relativistic quantum mechanics description and physical worldview, it is the weak gravitational field that can be successfully described. For the present paper, it is important to point out that, starting from the mathematical-physical foundations originally formulated by Dirac and later developed further, the possibility of quantization for weak gravitational fields has been demonstrated. One important and fundamental reference can be mentioned, which is attributed to Bronstein. His original paper is one of the first to formulate a proven link between relativistic quantum mechanics and weak gravitational fields [2]. This was successfully demonstrated by modern research, and the 'gravitomagnetic potential' was deduced from special relativity alone [3].
In most cases, the approaches are formulated in the mathematical "language" of the general theory(s) of gravity. Let us try to speak a "different language": the original mathematical tools used by relativistic quantum mechanics. The present paper focuses on the ‘now- classical’ Dirac formulation and continues it from a new physical point of view. It is very important to state now that the mathematical description of relativistic quantum mechanics established by Dirac does not have a distinguished scale. If we ask the question where a weak gravitational field exists, the answer is simple: the set of solar system-like systems, the stars, as we know them (in other words, the world as we know it, the Universe) is almost entirely characterised by a weak gravitational field. This justifies the question of whether it is possible to extend the physical-mathematical description of quantum mechanics to the Universe (the whole of it, as defined by the weak gravitational field). This extension would be justified if we could apply to solar system-like systems a physical model where masses (stars, planets) could be considered as mass points and also have a charge (and also be considered as indistinguishable mass points and have quantized orbits in solar system-like systems). The first two criteria are easily met, at least in thought. "Considered as mass points" is trivial, and "having charge" appears in many works. For other important aspects, see later.
Relativistic Quantum Mechanics and Gravitational Potential
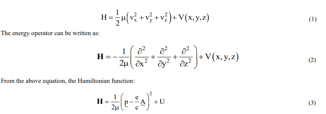
The simplest way to describe the physical model of an atom with a single electron is to use the mathematical tools of quantum mechanics Let's start with this. Consider an e-charged particle of mass μ moving in a system with central mass M. Assume that the electromagnetics effects and the gravitational effects act independently of each other, simultaneously. The energy is the sum of the kinetic energy of the μ-mass particle and the potential energy (V):

Assume that the centre of mass μ moves in the weak gravitational field of the central mass M. Here
is the momentum vector (the vector potential
is zero in our case). In the applicable gravitational equations, we assume a (weak) static gravitational field (the tensor component gik is timeindependent, there is no energy flux, and there is a simple linear relation between g44 and the potential energy). In special relativity, the energy-momentum tensor must lead to a solution such that, far from a static M mass point (star), it is equivalent to the Newtonian gravitational potential. The Newtonian gravitational potential is denoted U2. Considering the above, the following Hamiltonian function can be written for weak gravitational fields. Here we differ from the usual quantum mechanical approach in the first time. The only deviation from the original approach is the equation U = eU1 + U2:

In the equation above, p is a (differential)operator. The following are the steps of the derivation of the Dirac equation according to Bethe and Salpeter p. 47-52 [4]. To carry out the square root in quantum mechanics, operators similar to the Pauli spin operators can be introduced. Following the linearization performed by Dirac:

which can be written as follows

Formally, the equation above differs from the usual Dirac equation in the U2 term, where U = eU1 + eU2 (The consequences of this difference are discussed in detail below). The rest of the solution is partly explained in [1].
Derivation of the Radial Part of the Relativistic Dirac Equation
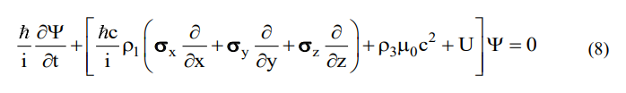
The state function Ψ depends on the variables x, y, z, t, and the variables s=±1/2 and r=±1/2, so the state function can be written as follows:

Expressed in terms of the eigenfunctions, we obtain the following (here we have assumed that spin and motion are independent, so the eigenfunctions can be separated into coordinate-dependent and spin-dependent parts, and the same is true for the eigenfunctions ξ, η acting on the r-degree of freedom):

In fact, the four coupled partial differential equations in (10) can be transformed into two coupled partial differential equations, since Ψ1 and Ψ2 as Ψ3 and Ψ4 are interchangeable. The stationary solutions of the above equation are sought in the following form:

The corresponding derivations can be found in many quantum mechanics literature [5-9]. Taking the above into account, we have to solve the following eigenvalue equation:

Ψ can be written in the following form

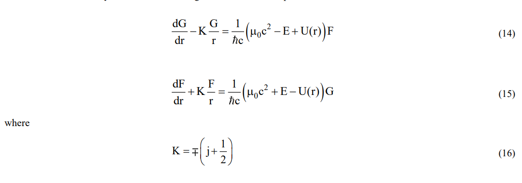
The corresponding mathematical procedures lead to a system of equations consisting of two ordinary differential equations, the solution of which can be basically carried out according to the literature on quantum mechanics:

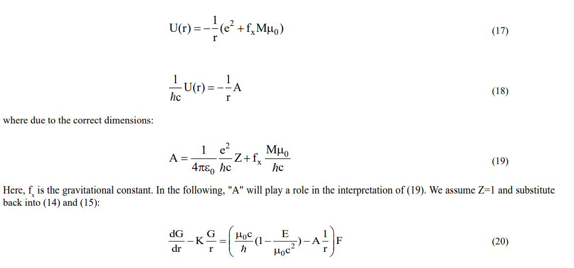
The derivation presented so far is fully consistent with the details of the literature cited above. Details of the differences in U(r) are given in the next section. The solution of the radial equations is available in many books on quantum mechanics. The only important purpose of the detailed description of the solution presented here is to point out the point where the original quantum mechanical interpretation can be changed to a more general interpretation of "large-scale systems". We now extend the interpretation of U(r) to include the gravitational potential in the potential energy:












The determinant value is expressed as:

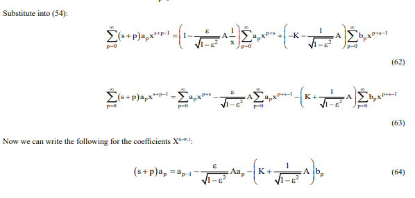
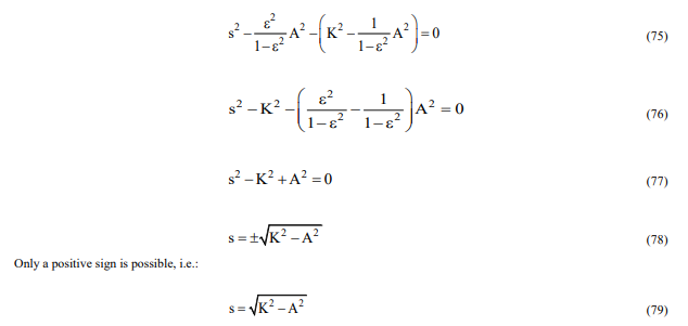
It is, in fact, partly because of this short relation (79) that the above derivation is presented in such detail. It is from this result that we can now derive the solar system constant, Hx.
Approximation of Hx Values
The Value of Hx from Relativistic Quantum Mechanics
So far, at least according to the mathematical formulae, there is no deviation from the usual quantum mechanical derivations. Let us take a closer look at equation (79) above. From the previous (16) and (19), it can be seen that

Furthermore, the correlation under the root (79) must be positive. At the scale of the atomic dimensions, after the substitutions, the value of A is 1/137.037 (the usual notation in quantum mechanics is α, a dimensionless number). Since j=0 is the mathematically smallest possible value in (16), this gives K=1/2, and A=1/2 follows. Let us examine the substitutions in solar system-like systems. We have data for one such system, these are the following known values: f =6,672*10-11 [m3/kg/s2] is the gravitational constant, M=M =1,9891*1030 [kg] is the mass of the Sun, c=2,997925*108 [m/s] is the speed of light. The value of µ0 may be questionable - the smaller mass, since we have a one-mass model (Z=1), can be interpreted as the total mass of all possible masses orbiting the Sun, simplified: the total mass of the planets. This value is: µ0 ≅ 2,668992*1027 [kg]. We assume that whatever the value of the charge (e), in our case, its multiplication is negligible.
Thus, h is replaced by Hx for the solar system:

Substituting the above, the possible minimum value of the constant for the solar system is:

The Value of Hx from the Schrödinger Equation
The value of the Hx coefficient can be approximated using another quantum mechanical model. Using the mathematical model of Schrödinger's equation of quantum mechanics, the radial part of the wave function, here denoted Hx instead of â?ÂÂ, is:


A Short Detour - Resonances of the Sun, and Other Stars
The resonances of the Sun - its natural frequency - if this physical property can be considered as a single characteristic, is the subject of numerous studies. In any case, it is barely sixty years since the so-called 300 s periodic oscillation became known. Since then, a vast literature has investigated numerous modes of oscillation (p, g, ...), and the causes of many of them also seem to be known. In any case, we can say that the highest amplitude is the first known ‘300 s’, i.e, ‘fiveminute’, complex resonance - perhaps we are not making too great of a mistake in taking this value as the "natural frequency" of the Sun. This is perhaps also because the other, numerous modes of oscillation are even orders of magnitude smaller than this amplitude. First reported by Leighton R.B.et al. , and based on this by Christensen-Dalsgaard, J. [10,11]:
„…observations of oscillations of the solar surface were made by Leighton et al. (1962). They detected roughly periodic oscillations in local Doppler velocity with periods of around 300 s and a lifetime of at most a few periods. …. A confirmation of the initial detection of the oscillations was made by Evans and Michard (1962)…”
Similarly, according to Guglielmi A. V. et al. [12]
„..In the present paper we will focus on the oscillations of the photosphere with a period of 5 min, well known in helioseismology …”
In addition, it may be useful to consider a number of relevant contributions: Ulrich R.K. Anderson, E. R et al., Douglas Gough, D., all report on the resonances of the Sun. According to the summary paper published by Garcia et al., in our galaxy alone, there may be hundreds of millions of sun-type stars oscillating with quite similar p-mode resonance close to the above 300 s [13-16].
Hx Based on Measured Natural Frequency of the Sun
Based on the original definitions of quantum mechanics, the following relations can be written for a point of mass:

This value of Hx of 4.4 exceeds the minimum values of Hxmin1, Hxmin2 in (81), (89) according to points 4.1 and 4.2.
Summary of Chapters 1. - 4.
The key statements of the model of chapters 1. – 4. are the following:
• Solar system-like systems can be described by the physical models and mathematical tools of relativistic quantum mechanics. The basic relativistic equations by analogy are valid in a weak gravitational field, the gravitational potential and the electric potential exist independently and simultaneously.
• An approximate value for Hx for the solar system can be determined from calculations and measurements.
Quantum Mechanical Model of Solar System-Like Systems
Almost every physical, quantum mechanical, and astronomical work since about the beginning of the 20th century mentions how the atomic structures are surprisingly similar, in many ways, to the 'solar system-like' structures. The ratio of central mass to orbiting masses, the ratio of distances between the central large mass and the orbiting smaller masses, etc. Then, almost all works state that the physical laws describing 'solar system' motions (such as the Newtonian model and general relativity) are of course, quite different from the relations describing atomic structures (relativistic quantum mechanics). Let us continue with this analogy. What would follow if we were to say that the solar system and its components are like many electrons orbiting a nucleus. Many works on quantum mechanics (and astronomy, cosmology) deal with the idea that quantum mechanical relations, 'laws', cannot be extended to the 'macro-world'. The question may be what is the 'macro-world', where does it begin - how many atoms are the boundary, maybe a glass of milk, a big house, or a city, a continent, or let's be brave: the Earth as a whole, maybe the whole solar system, but let's go on: our Galaxy, or the Known Universe. In what follows, there is no need to 'extend' quantum mechanics - rather, let's take a close look at the system under consideration, setting up the mathematical model, clarifying the boundary conditions, and applying all this to approximate reality as closely as possible. Let's simply look at exactly what systems its laws apply to and under what conditions. In order to deal with solar system-like systems by quantum mechanics, i.e, for the analogy to work correctly, it is necessary that each element of the system be charged, identical particles, indistinguishable, with mass, spin, magnetic moment, the system being quantized. If all this is fulfilled, it would follow that the equations of motion of the atomic system can be applied to the solar system. An important premise of the work presented here is that solar system-like systems (possibly with individual actors Sun, Mercury, Venus, Earth, etc.) have charge. Measurements and models support the claim that they have a charge [18,19]. Part of the model is that the central M mass has an opposite sign of charge. This 'elementary charge', which is a property of the constituent particles of the solar system, needs only to be stated here to exist [20].
The next question to be answered is whether we can consider members of solar-system-like systems as mass points. The answer is certainly yes, if we think on a very 'large scale' and try to observe them from a terribly distant point. Even detection would be difficult, and from very far away, they could well be considered mass points of negligible size. This model is already quite similar to a legitimate application of the quantum mechanical approach. Solar system-like systems meet the requirements listed above. Each member of a solar system-like system has, beyond any doubt, mass, magnetic moment, and spin. Any source in the astronomical literature can support this. Immediately, questions and perhaps doubts may arise concerning some of the above points. Let us consider them in turn:
The Requirement of Indistinguishability
It is very easy to imagine that, viewed from a distance and sampled at very large intervals, all the motions in our solar system are merged, and the position and velocity of each mass cannot be measured separately. In other words, the basic conditions of quantum mechanics are met. If we look at several such systems from the outside, from a distance, simultaneously, sampled at very large intervals (by very large intervals we mean, for example, thousands, hundreds of thousands, millions, etc. of Earth years) the motion of the systems cannot be identified individually, we can only state laws about them as a whole, and these are, according to the conceptual framework of quantum mechanics: we have to talk about 'identical' particles, anointed cloud-like formations in space (and time), i.e. residence probabilities. Indistinguishability is apparently not immediately fulfilled, for example, when we are standing on the Earth and see how different, say, Jupiter is. But quantum mechanics does not 'stand on the electron' either. It examines the atom-electron with an 'instrument' (gigantic in size compared to individual atoms) built from atom-electrons. It determines probability distributions, and it sees an electron cloud. If we move away from the solar system, not so far, just a few hundred thousand light years, and extend the sampling frequency of the 'measurement' a little (not every minute, not every year, but much less frequently, with much larger time steps, even at intervals of several hundred thousand years), we immediately see an untraceable, indistinguishable 'planetary cloud'. The time scale of sampling must be much larger than the orbital frequency of the 'planetary cloud'. Like electrons. So the indistinguishability condition is already valid.
The Requirement of Charge
'Charge' is the only one of the features of the elements of a solar system-like system that is not immediately perceptible, not immediately visible, or a trivial characteristic. It can only be stated - Solar System-like systems have charge. This is supported by the measurements and facts presented in the cited literature. So then: suppose the Earth is a 'big lumpy electron'. Ignore the fact that the Earth has countless complex features. What is 'missing', as far as we know, is the charge, or rather the property called charge, which is intrinsic to the (small) electron. That is, the Earth as a whole must have a charge to be treated as an 'electron'. More specifically, the elements of solar system-like systems must have a property called 'charge'. If it exists, then from this point of view, it is legitimate to treat, calculate, and interpret the whole system using a quantum mechanical model. Completely independently of the model discussed here, the charge of the individual solar system elements is known in the literature. For the moment, we refer only to the fact that the desired charge exists.
Charge within the Solar System – Charge of the Sun
Sufficient data are available on the Sun's charge. Studies of the solar corona have known theoretically for about a hundred years that the Sun (and stars in general) have a charge. In his article, Neslusan, referring to previous literature, also gives the magnitude of the charge as a function of solar (stellar) mass Qr = 77.043*Mr , where Qr is the global electrostatic charge of the star within a sphere of radius r, and Mr is the mass within a sphere of radius r. The formula is set up for an ideal star at rest - it can be accepted as an approximation. In any case, there is no doubt that the Sun (and other stars) have a charge.
Charge within the Solar System – Charge of the Earth and the Planets
There are many measurements of the electrical properties of the individual actors and masses (mass points, planets) in the Solar System. The ionospheres of planets with atmospheres (e.g., Venus, Earth, etc.) have a property described as a 'global electric circuit' [21,22]. There are many measurements of global electric circuits on Earth and Mars [23,24]. The global electric circuit as a property can be extended to planets with dusty surfaces. The link with cosmic rays can be supported by measurements [25]. Of course, it may be a legitimate question whether this property can be considered as a 'charge' to the system 'from the outside, at a distance', using our modelling approach. The answer here is that yes, it is considered to be a charge. The cases outside the solar system are dealt with in the next chapter, but it should be noted that Aplin's book referred to has a whole chapter on the possible ionization of exoplanets' possible atmospheres. Our argument is strongly supported by the fact that the charge of the Sun is positive, while the charge of the Earth is negative. That is, they attract each other. The magnitude of this force, which may be very small, is not the primary issue for our model - the question is not how large the charge is, but whether it exists. The charge of the other planets can only be assumed to be negative for now. Convincing data on all this could be collected by measurements.
Charge Outside the Solar System – Planetary Nebulae
Planetary nebulae (PN) are perhaps the best suited to support the quantum mechanical analogy and model presented above from the point of view of measurements and observations. All that is currently known and worth knowing about planetary nebulae can be found in Kwok in his thorough summary book. We can rely on this in the following [26]. Among the PN properties covered in the book, there are two fundamental links to our quantum mechanical model: the ionization of PN systems, in our quantum mechanical terminology, the charge of the systems, and the morphology of PN systems. The most important facts that make PNs suitable for comparison and investigation in terms of quantum mechanics analogy and modelling are. According to classical (static) models of PNs, planetary nebulae are composed of two main components: the central star and the surrounding ionized gas nebula (see Kwok). Most PNs are in a fully ionized state. Of course, the material nebula surrounding the PN star has a much more complex composition than the simplified model above. If we consider the matter around the PN central star (or binary stars) as a whole: the matter cloud has a charge. With this property, PNs are measurement-proven evidence that stars and their surrounding matter in the system have a 'charge'. This was the initial condition for using the quantum mechanics approach. That this is no exception among stars is confirmed by the following: nearly 95% of the stars in our Galaxy evolve as white dwarfs (WDs). Among these stars, a significant number (about 60%) evolve as Asymptotic Giant Branch (AGB) stars, evolving fast enough to ionize the surrounding envelope and be observed as PNs. Another fundamental aspect that is important for us, and more precisely, the available measurement dataset, is the morphology of PNs. Several attempts have been made to classify the morphology of PNs. Among these classifications, the works of (Stanghellini, Manchado et al, Soker, Huarte-Espinoza, and Kwok are notable [27-37]. According to the above-simplified classifications the main morphologies, including frequency, are round (26%), elliptical (61%), bipolar-quadrupolar (13%), and quadrupolar (13%) PN systems [32]. There are several physical-mathematical models in the literature to explain the diverse morphology of PN systems. There are some very successful models, with many important results being provided by the ISW (Interacting Stellar Winds) models of Kwok et al. and their modified and improved versions. The already cited Kwok et al. book, while offering a multifaceted answer to the morphological manifold, also poses a chapter-long question for us. The last of these questions, in summary, is: "...The morphological problem: what is the origin of this morphological diversity observed in planetary nebulae? The forms of PN appear symmetrical, but they take many different shapes..." There is no definitive, fully developed, unambiguous explanation as to why the PN manifold is so diverse and why it has such a variety of geometric shapes. The most striking is that the early diversity of morphology in the formation of PNs is already present during the preplanetary life stage (PPN - Protoplanetary Nebulae). Since the PPN shows a similar morphological diversity as the mature PN, this suggests that a shape-determining mechanism must be at work early in the evolutionary phase. The quantum mechanical model can provide a new perspective on morphological diversity. The conceptual framework, physical models, and mathematics of relativistic quantum mechanics have been applied to quantum mechanical modelling [38]. However, the models and calculations based on non-relativistic quantum mechanics are sufficiently accurate for speeds much lower than the speed of light (c) and provide results that hardly differ from those of relativistic quantum mechanics - for example, the solutions of the radial probability density distributions of the hydrogen atom using the modified Dirac equation hardly differ from the results based on the Schrödinger equation. This implies that the nature of the radial probability density distributions in three-dimensional (3D) representations can be well approximated by nonrelativistic models. We compared these non-relativistic three-dimensional probability density distributions, which are much easier to compute and represent, with the morphological diversity of planetary nebulae. Each quantum mechanical 3D state was matched to a morphological PN shape. The 3D probability density distributions show a surprisingly good similarity with the observed morphological shapes of PN.
Charge Outside the Solar System – Compact Charged Stars
The fact that stars are charged can also be confirmed by the stars classified as "compact charged stars". It suffices to mention a few selected examples from the literature [39-43]. Ray and colleagues in their 2003 paper report the following [41]:
„…We conclude that in order to see any appreciable effect on the phenomenology of compact stars, electrical fields have to be huge (> 1021 V/m), which implies that the total electric charge is Q > 1020 Coulomb…”
Jasim and colleagues in 2021 also provide numerical evidence for the possible magnitude of the charge [42]:
„…It is 1020 Coulomb for each these stars..”
Estimated, Computable Charges of the Sun and Planets
Values of charges within the solar system which can be approximated based on the analogy. If we accept the comparable relationships based on the quantum mechanical analogy, then according to Bohr's magneton formula:

where Hx is the new constant derived above, ex is the unknown charge being sought, Mx is the mass value according to the analogy, c is the speed of light, and µx is the magnetic moment. Magnetic moments are in many cases known from astronomical data, so we can summarize the values that can be calculated in this way in the following table:
|
Name |
Mass Mx [kg] |
Magnetic moment µx [Am2] |
Calculated charge ex [C] |
|
Sun |
1,989E+30 |
3,000E+29 |
1,385E+11 |
|
Mercury |
3,302E+23 |
3,800E+19 |
4,364E+02 |
|
Venus |
4,869E+24 |
6,500E+19 |
1,101E+04 |
|
Earth |
5,974E+24 |
8,000E+22 |
1,662E+07 |
|
Mars |
6,419E+23 |
(0,000E+00) |
(0,000E+00) |
|
Jupiter |
1,899E+27 |
1,627E+27 |
1,075E+14 |
|
Saturn |
5,684E+26 |
4,650E+25 |
9,192E+11 |
In the case of the Sun, the value of 1.385*1011 [C] should be evaluated based on astronomical data. A basis for comparison can be the estimated charge of compact stars according to the scientific literature, which is approximately 1020 [C]; compared to this, a value nine orders of magnitude smaller is possible.
In the case of the Earth, the value of 1.662*107 [C] should be evaluated based on available data. According to the scientific literature, the estimated charge of the Earth is 5*105 [C], compared to which the value that is two orders of magnitude higher seems too high. The reasons for the discrepancy could include the uncertainty of the Sun's estimated charge and the uncertainty of the Earth's total charge.
The data for the other members of the solar system cannot be verified. In the case of Mars, it is known that it may have had a magnetic moment of approximately 1020 in the past, which would correspond to a charge of 2.232*103 [C]. It is interesting for us to compare the estimated charge values with the forces between the Sun and the planet, and to compare these with the forces according to gravitational effects.
The force acting on the planet from the Sun's charge

where G=6,674*10-11 [Nm2/kg2]
|
Name |
Mass
[kg] |
qx – Charge
[C] |
rx - Sun- distance [m] |
Estimated force Fx [N] |
Sun’s gravitational force FG [N] |
|
Sun |
1,989E+30 |
1,385E+11 |
|
|
|
|
Mercury |
3,302E+23 |
4,364E+02 |
5,791E+10 |
1,619E+02 |
1,307E+22 |
|
Venus |
4,869E+24 |
1,101E+04 |
1,082E+11 |
1,170E+03 |
5,520E+22 |
|
Earth |
5,974E+24 |
1,662E+07 |
1,496E+11 |
9,242E+05 |
3,544E+22 |
|
Mars |
6,419E+23 |
(0,000E+00) |
2,279E+11 |
(5,347E+01) |
1,640E+21 |
|
Jupiter |
1,899E+27 |
1,075E+14 |
7,783E+11 |
2,207E+11 |
4,161E+23 |
|
Saturn |
5,684E+26 |
9,192E+11 |
1,427E+12 |
5,617E+08 |
3,705E+22 |
According to the data in the table above, the forces resulting from (presumed) charges are many orders of magnitude smaller than gravitational effects (in the case of Earth, this is 16 orders of magnitude!). All this corresponds to observed reality – there are no unknown forces being measured anywhere.
The only planet-planet effect that may be worth examining in terms of the charge "C" and the gravitational "G" effect is Mercury – could the (presumed) charge of any planet have a significant effect on Mercury?
|
Name |
qx - charge
[C] |
rx – planet- Mercury- distance [m] |
Force „C” acting on Mercury Fx [N] |
Force G” acting on Mercury FG [N] |
|
Sun |
1,385E+11 |
|
|
|
|
Mercury |
4,364E+02 |
|
|
|
|
Venus |
1,101E+04 |
5,030E+10 |
1,706E-05 |
4,241E+16 |
|
Earth |
1,662E+07 |
7,700E+10 |
1,100E-02 |
2,221E+16 |
|
Mars |
(0,000E+00) |
1,100E+11 |
7,237E-07 |
1,169E+15 |
|
Jupiter |
1,075E+14 |
7,210E+11 |
8,107E+02 |
8,051E+16 |
|
Saturn |
9,192E+11 |
1,400E+12 |
1,839E+00 |
6,391E+15 |
Even Jupiter's (assumed) significant charge has 14 orders of magnitude less effect on Mercury than the effect of its mass. This also agrees with the measurements. The values of the calculated charges assumed in this way are not conclusive data. At the same time, they do not refute the validity of the analogy.
Requirement of Quantization
So far, there has been no discussion of whether quantized orbits exist in the Solar System or in Solar System-like systems. We know one such system quite well, our own solar system, for which we have known for a few hundred years that masses do not orbit just anywhere.
The regularity of the radial distribution of the planets has been known for centuries. Many theoretical approximations have attempted to explain it. The fundamental reasons for the regularity of the planetary distribution, known as the ’Titius-Bode Law’, are not clearly known. The fact that within the solar system, within the sphere bounded by the Oort cloud, the masses (planets, minor planetary belt, etc.) (which can be understood as mass points) form a kind of geometrically well-defined system is beyond dispute. The question for centuries has been whether this is just a coincidence, and what makes it so. Everyone is familiar with the geometric series of Titius (1766) and Bode (1772). Nieto's thorough and intriguing summary (1992) of possible physical models can certainly provide possible, not excludable, explanations - he presents a myriad of existing models [44].
At the same time, it may be possible to find a modeling state in which solar system-like systems can be discussed using quantum mechanical tools. Graner and Dubrulle, in their double publication (1993) and show that all previous interpretations of the above geometric regularity are based on a kind of scale invariance [45,46]. Numerous such theoretical models can be constructed. Their second publication offers the possibility to "build your own law". As they show, the diversity of theories can be explained by "scale invariance". The contradictions and possibilities of other models are outlined in [47]. Among the possibilities, the work of Nottale (1996 - 1997) who suggests the possibility of quantizing the solar system and even the universe on the basis of scale relativity, stands out [48,49].
Of the myriad theoretical possibilities, none contradicts the assumption suggested by the quantum mechanical model presented in this chapter that the radial probability density distribution can be explained. Concerning the quantum mechanical approach, special mention should be made of the work of Jehle (1938) [50]. Jehle shows the quantum mechanical interpretability of stellar systems based on Schrödinger's wave functions of quantum mechanics. He also attempts to derive the radial distribution of masses for the solar system. He concludes that Planck's h has "nothing to do" with his theory ("bemerken wir...dass...diese Theorie nichts mit Planck-schen Wirkungsquantum zu tun hat..."). This statement is given by the relativistic quantum mechanical derivations presented in this article without any prior assumption, by itself, supported by mathematical means (based on Hx values). In his derivations of the theory, Jehle proves that in any given system of stars, a kind of indeterminacy relation (Δx Δv ≥ σ) holds, where σ is interpreted as σ ≈ MSternsystem, (where MSternsystem, in this case, is the total mass of the solar system, which is roughly 2*1033. Based on his derivations, he believes that the magnitude of the new factor is at least σ≈ M/8π, which approximates the relations obtained for the minimum value of Hx derived here). At the end of the paper, he refers to the fact that Dirac's interpretation of relativistic quantum mechanics is a deeper interpretation of quantum mechanics "...die Tiefere Bedeutung der Wellenmechanik...". In this paper, this is the starting point for the models presented.
The radial distribution of planets in the Solar System can be modelled using quantum mechanics as a radial probability density function. However, a selection rule is needed, supported by appropriate physical arguments. To compare the model numerically with the planetary distribution, a "selection rule" (a special "Pauli principle") corresponding to the chapters of would be needed to model the interpretation of the radial probability distributions of solar systemlike systems [51]. Noting all this, the correspondence between the model and the real planetary distribution is hopeful.
The rotation and magnetic axes of planets in the Solar System are another possible argument. In quantum mechanical atomic systems, the number and properties of the electrons on each electron shell are governed by special laws (Pauli's principle). The innermost shell can have two electrons, whose spins must be opposite. Within the solar system, Mercury and Venus are the two inner planets. Their rotation (spin) is opposite. Venus is the only planet with a retrograde rotation. This is surprising, even according to astronomical sources, and there is no satisfactory explanation. The explanation is simple by analogy: this is the only possible spin state of the second planet. In any case, it is striking that, of the two inner planets (Mercury and Venus), Venus has the opposite spin as the only one in the solar system. In addition, no two planets have the same spin and magnetic dipole moment vectors [51]. Within the Solar System, the inclination of the rotation axis of the planets concerning the ecliptic is diverse - there is currently no satisfactory explanation for this diversity. If the quantum mechanical analogy is valid, then the expectation for planets, based on Pauli's law, would be that no two planets can be in the same ‘state’. This can be decided partly by the spin states (different angles of rotation) and partly by the magnetic moment states. If we look at the planets of the Solar System with the data currently known, the law seems to hold [52-56].
Summary the Natural Measures and Scales
The fact that space (distance) and time are closely related basic physical properties does not need to be proved. Let us start, perhaps, with the scale of space and time in the universe. The following idea may sound a bit ‘philosophical’, but the statement that follows is entirely rational, and can be based on measurements, facts, and figures known to physics, and physicists (who are, beyond certain limits, I think, philosophers), and hopefully philosophers (who certainly appreciate the definitions of space and time described here) will all agree on the following, which certainly follows from the line of thought that has been followed so far:
• Space (the size scale) has no immanent (intrinsic) scale
• Time has no immanent (intrinsic) scale
If we can agree on this, if we can start from this, let us see what can follow from this. Much work is done and has been done on the properties of space and time. Definitions, extension, infinity - all recurring questions that are asked again and again by the current state of physical knowledge and answered according to the current state of knowledge. What is not often read is: ‘The Scale of the Size’, or ‘The Scale of the known Universe’. And of course, the Scale of Time [57]. Attempts to ‘extend’ quantum mechanics to the ‘macro-world’ have met with little success. I think the scale was the problem - quantum mechanics is valid, but not in ‘a slightly larger’ macro-world, but in a world that fully satisfies the basic assumptions of the original quantum mechanics. This correspondence is achieved on a 'solar system-like' scale, on a 'galactic scale'. The quantum mechanical model based on the modified Dirac equation has no scale. That is, it is valid in all cases that satisfy the initial assumptions. For example, in weak gravitational fields, in solar system-like systems.
The most important claim is that solar system-like systems can be described by the physical models and mathematical tools of relativistic quantum mechanics. The basic relativistic equations based on the quantum mechanical analogy are valid in weak gravitational fields, with the gravitational potential and the electric potential existing independently and simultaneously. The quantum mechanical analogy, i.e, the model described here, does not contradict existing physical-mathematical models. It simply approaches the problem from a different direction.
References
- Dirac, P. A. M. (1948). The principles of quantum mechanics (3rd ed.). Oxford University Press.
- Bronstein, M. (2012). Quantum theory of weak gravitational fields. General Relativity and Gravitation, 44, 267–283.
- Vieira, R. S., & Brentan, H. B. (2018). Covariant theory of gravitation in the framework of special relativity. European Physical Journal Plus, 133
- Bethe, H. A., & Salpeter, E. E. (2013). Quantum mechanics of one-and two-electron atoms. Springer Science & Business Media.
- Aitchison, I. J. R. (1972). Relativistic Quantum Mechanics Macmillan.
- Bjorken, J. D., & Drell, S. D. (1964). Relativistic quantum theory. McGraw-Hill.
- Bohm, A. (1979). Quantum mechanics. Springer.
- Hameka, H. F. (1981). Quantum mechanics. Wiley.
- Kilmister, C. W. (1973). General theory of relativity. Pergamon Press.
- Leighton, R. B., Noyes, R. W., & Simon, G. W. (1962). Velocity Fields in the Solar Atmosphere. I. Preliminary Report. Astrophysical Journal, vol. 135, p. 474, 135, 474.
- Christensen-Dalsgaard, J. (2002). Helioseismology. arXiv:astro-ph/0207403.
- Guglielmi, A. V., & Potapov, A. S. (2018). Do 5-minute oscillations of the Sun affect the magnetosphere and lithosphere of theEarth?. arXiv preprint arXiv:1808.05367.
- Ulrich, R. K. (1970). The five-minute oscillations on the solar surface. Astrophysical Journal, 162, 993–1002.
- Anderson, E. R., Duvall, T. L., Jr., & Jefferies, S. M. (1990). Modeling of solar oscillation power spectra. Astrophysical Journal, 364, 699–705.
- Aerts, C. (2020). Probing the interior physics of stars through asteroseismology. arXiv:1912.12300.
- Garcia, R. A., & Ballot, J. (2019). Asteroseismology of solar-type stars. Living Reviews in Solar Physics, 16.
- Penrose, R. (2008). Causality, quantum theory and cosmology. In S. Majid (Ed.), On space and time. Cambridge University Press.
- Bailey, V. A. (1960). Existence of net electric charges on stars. Nature, 186, 508–510.
- Neslusan, L. (2001). On the global electrostatic charge of stars. Astronomy & Astrophysics, 372, 913–915.
- Dolezalek, H. (1988). Discussion on the Earth net electric charge. Meteorology and Atmospheric Physics.
- Aplin, K. L., Harrison, R. G., & Rycroft, M. J. (2008). Investigating Earth’s atmospheric electricity: A role model for planetary studies. Space Science Reviews, 137, 11–27.
- Aplin, K. (2013). Electrifying atmospheres: charging, ionisation and lightning in the Solar System and beyond. Springer Science & Business Media.
- Rycroft, M. J., Nicoll, K. A., Aplin, K. L., & Harrison, R. G. (2012). Recent advances in global electric circuit coupling between space environment and the troposphere. Journal of Atmospheric and Solar-Terrestrial Physics, 90–91, 198–211.
- Evtushenko, A. A., Ilin, N. V., & Kuterin, F. A. (2015). On the existence of a global electric circuit in the atmosphere of Mars. Moscow University Physics Bulletin, 70(1), 57–61.
- Singh, A. K., Siingh, D., Singh, R. P., & Mishra, S. (2011). Electrodynamical coupling of Earth’s atmosphere and ionosphere: An overview. International Journal of Geophysics, 2011, Article 971302.
- Kwok, S. (2000). The origin and evolution of planetary nebulae. The origin and evolution of planetary nebulae/Sun Kwok. Cambridge; New York: Cambridge University Press.
- Kwok, S. (2001). Cosmic butterflies: the colorful mysteries of planetary nebulae. Cambridge University Press.
- Kwok, S., & Su, K. Y. L. (2005). Discovery of multiple coaxial rings in the quadrupolar planetary nebula NGC 6881. Astrophysical Journal, 635(1), L49–L52.
- Kwok, S. (2005). Planetary nebulae: New challenges in the 21st century. Journal of the Korean Astronomical Society, 39, 271–278.
- Kwok, S. (2010). Morphological structures of planetary nebulae. Publications of the Astronomical Society of Australia, 27(2), 174–179.
- Manchado, A., Stanghellini, L., & Guerrero, M. A. (1996). Quadrupolar planetary nebulae: A new morphological class. Astrophysical Journal, 466, 95–98.
- Manchado, A. (1997). On the morphology and internal kinematics of PNe. In Planetary Nebulae (IAU Symposium 180, pp. 184189).
- Manchado, A., Villaver, E., Stanghellini, L., & Guerrero, M. A. (2000). The morphological and structural classification of planetary nebulae. In J. H. Kastner, N. Soker, & S. Rappaport (Eds.), Asymmetric planetary nebulae II: From origins to microstructures (Vol. 199, pp. 17–23). ASP.
- Manchado, A., et al. (2011). Morphological classification of post-AGB stars. ASP Conference Series.
- Soker, N. (2003). Shaping planetary nebulae and related objects. arXiv:astro-ph/0309228.
- Stanghellini, L., Corradi, R. L., & Schwarz, H. E. (1993). The correlations between planetary nebula morphology and central starevolution. Astronomy and Astrophysics, Vol. 276, NO. 2/SEPII, P. 463, 1993, 276, 463.
- Stanghellini, L., Villaver, E., Manchado, A., & Guerrero, M. A. (2002). The correlations between planetary nebula morphology andcentral star evolution: Analysis of the northern galactic sample. Astrophysical Journal, 576, 285–293.
- Gara, P. (2015). Quantum mechanical model of planetary nebulae and star systems. Physics Essays, 28(1), 106–114.
- Takisa, P. M., Maharaj, S. D., & Leeuw, L. L. (2019). Effect of electric charge on conformal compact stars. European Physical Journal C, 79, 8
- Usov, V. V., Harko, T., & Cheng, K. S. (2005). Structure of the electrospheres of bare strange stars. Astrophysical Journal, 620, 915–921.
- Ray, S., Espindola, A. L., Malheiro, M., Lemos, J. P. S., & Zanchin, V. T. (2003). Electrically charged compact stars and formation of charged black holes. arXiv:astro-ph/0307262.
- Jasim, M. K., Maurya, S. K., Ray, S., Shee, D., Deb, D., & Rahaman, F. (2021). Charged strange stellar model described by Tolman V metric. Results in Physics, 20, 103648.
- Siffert, B. B., de Mello Neto, J. R. T., & Calvao, M. O. (2007). Compact charged stars. Brazilian Journal of Physics, 37(2B), 609–616.
- Nieto, M. M. (1972). The Titius-Bode law of planetary distances: Its history and theory. Pergamon Press.
- Dubrulle, B., & Graner, F. (1994). Titius-Bode laws in the solar system. 2: Build your own law from disk models. Astronomy and Astrophysics (ISSN 0004-6361), vol. 282, no. 1, p. 269-276, 282, 269-276.
- Graner, F., & Dubrulle, B. (1994). Titius-Bode laws in the solar system. 1: Scale invariance explains everything. Astronomy and Astrophysics (ISSN 0004-6361), vol. 282, no. 1, p. 262-268, 282, 262-268.
- Hayes, W., & Tremaine, S. (1998). Fitting selected random planetary systems to Titius-Bode laws. Icarus, 135, 549–557.
- Nottale, L., Schumacher, G., & Gay, J. (1997). Scale relativity and quantization of the solar system. Astronomy and Astrophysics, v. 322, p. 1018-1025, 322, 1018-1025.
- Nottale, L. (1997). Scale-relativity and quantization of the universe. Astronomy & Astrophysics, 327, 867–889.
- Jehle, H. (1938). Wellenmechanische Betrachtungen zur Theorie der Sternsysteme. Zeitschrift für Astrophysik, Vol. 15, p. 182, 15, 182.
- Gara, P. (2020). Teensy weensy universe: Quantum mechanical model of the universe as we know it. Nova Science Publishers.
- Beatty, J. K., O’Leary, B., & Chaikin, A. (Eds.). (1981). The new solar system. Cambridge University Press.
- Ness, N. M. (2010). Space exploration of planetary magnetism. Space Science Reviews, 152, 5–22.
- Stevenson, D. J. (2010). Planetary magnetic fields: Achievements and prospects. Space Science Reviews, 152, 651–664.
- Priest, E. R. (Ed.). (1985). Solar system magnetic fields. D. Reidel Publishing.
- Russell, C. T., & Dougherty, M. K. (2010). Magnetic fields of the outer planets. Space Science Reviews, 152, 251–269.
- Gara, P. (2023). The scales of time. UnivRCity Press.
