Research Article - (2025) Volume 5, Issue 3
Coulomb's law for Single-Frequency Quaternion Charge
Received Date: Aug 25, 2025 / Accepted Date: Sep 15, 2025 / Published Date: Sep 30, 2025
Copyright: ©©2025 Vadim Sovetov. This is an open-access article distributed under the terms of the Creative Commons Attribution License, which permits unrestricted use, distribution, and reproduction in any medium, provided the original author and source are credited.
Citation: Sovetov, V. (2025). Coulomb's law for Single-Frequency Quaternion Charge. J Sen Net Data Comm, 5(3), 01-10.
Abstract
The law of attraction and repulsion of electric charges was established experimentally by Charles Coulomb in 1785. At that time, the electron was considered as a particle that has a charge and the ability to charge bodies. Bodies with a charge created an electrical tension around themselves, which corresponded to the force of attraction of opposite charges and repulsion of like charges.
In 1925, Erwin Schrödinger formulated a postulate equation that reflected the dual nature of the electron, as a particle and as a wave. In this equation, the interaction of electrons was described by a wave function in 3D space. The physical meaning of the wave function was explained by the probability of finding an electron in the corresponding region of space.
In this article, Coulomb's law is obtained by representing the electron by a quaternion. A quaternion is a hypercomplex number and forms a 4D space in which one coordinate axis is scalar and the other three are imaginary. Using the quaternion representation of the electron in previous works, Maxwell's equation and the wave equation were analytically obtained. It is shown that with this representation of the electron, the Cauchy-Riemann conditions must be satisfied, which correspond to the law of conservation of energy. In this work, Coulomb's law is also obtained analytically, and the appearance of the forces of attraction and repulsion of electrons is explained by the law of conservation of energy. An electron, by virtue of the law of conservation of energy, can occupy in 3D space only certain, and not probabilistic, values corresponding to its total potential and kinetic energy.
According to the law of conservation of energy, when another electron appears, an interaction occurs between them, which restores the electrical neutrality of space. Therefore, the law of conservation of energy also explains the presence of the observer effect in quantum theory.
Keywords
Maxwell’s Equations, Coulomb’s Law, Schrödinger Equation, Quaternion, Electrodynamic, Circulation
Introduction
It is well known that the attraction and repulsion of electric charges is described by the experimental law of Charles Coulomb (1785) [1]. According to this law, opposite charges attract each other, while like charges repel each other. Coulomb considered two physical charges in the form of small copper balls, which he charged to a certain value. Coulomb measured the force of interaction between charges using a torsion balance by calculating the torque. The force of interaction between electric charges is directed along a straight line connecting the charges and is calculated as the product of the moduli (magnitudes) of two charges, divided by the square of the distance between them. The result obtained is multiplied by Coulomb's constant:

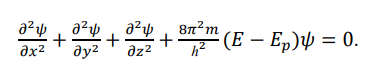
The interaction of charges refers to electromagnetic interactions. Later it was found that the electromagnetic interaction calculated using Coulomb's formula does not fit into the quantum paradigm and a quantum theory of gravity is currently being developed. In 1925 Erwin Schrödinger formulated an equation that reflected the dual nature of the electron as a particle and as a wave [2]. The movement of an electron in an atom under the influence of the electrostatic field of the nucleus is described by a wave function in 3D space ψ(x,y,z). In a stationary state of the particle the equation has the form:

In the stationary Schrödinger equation, the equality of the wave energy to the total and potential energies is written in 3D space. The wave energy is calculated as the Laplacian of the wave function, and the potential and total energies are represented by the terms E and Ep. Note that the Schrödinger equation is obtained through logical reasoning, i.e. it is not derived, but postulated. The wave function is viewed as the probability density for detecting an electron in 3D space. The mathematical apparatus of hypercomplex numbers allows us to strictly justify the duality of the electron and write down the corresponding equations that correspond to the conditions of conservation of energy when the Cauchy-Riemann conditions (CRC) are met. Using the hypercomplex representation of electromagnetic interactions, a method for increasing the throughput of an information transmission line with a three-frequency carrier using a MIMO scheme with a single antenna has been developed [3]. Methods for analog and discrete Fourier transform of a single-frequency quaternion and a three-frequency quaternion have been developed [4]. Methods for increasing throughput using a seven-frequency octonion have been developed [5]. Maxwell's equations were obtained analytically [6]. It is shown that these equations satisfy the CRC [7]. Using the obtained Maxwell equation and the CRC, an equation was derived for a wave that propagates in the form of circulation of magnetic and electrical intensities [8]. The purpose of the article is to show, using the quaternion representation of charge, that the electromagnetic interaction between charges in Coulomb's law is based on the law of conservation of energy, and the quantum manifestations shown in the Schrödinger equation are related to the fact that a charge can occupy in space only those positions in which this energy is the same.
Materials and Methods for Solving the Problem
In electrodynamics, an electron is considered as a particle and is depicted on a plane or in 3D space as a point with coordinates x, y, z. Also, in 3D space, charged bodies of various shapes are considered and the charge of the body is calculated based on its shape and charge density. It is known that the electron manifests itself as a particle and as a wave, therefore it is necessary to describe it not in real space, but in hypercomplex space. An electron, as a particle, cannot be in free space, it must be in some body. The magnitude of the charge in free space is calculated from the electrical intensity [6,7]. The smallest hypercomplex number is the quaternion, which is formed by doubling complex numbers and is represented in 4D space. In algebraic form, a quaternion is written as [3]

where s, x, y, z – real numbers, i, j, k, – imaginary units.
The imaginary units i, j, k are orthogonal and represent spatial coordinates. The scalar part s in (1) is also orthogonal to all imaginary units. To get rid of imaginary units, we represent the quaternion (1) as a vector

The first element of the vector will represent the value of the real part (1), and the other three values will represent the imaginary parts corresponding to i, j, k. The type of vector elements (2) is determined by their spatial arrangement in the vector.
The quaternion function is also a quaternion, which we write as a sum of functions p (s,x,y,z), u(s,x,y,z), v(s,x,y,z), w(s,x,y,z), as

We can also represent quaternion (2) as a 4x4 matrix [3]:

Matrix (4) is decomposed into basis matrices:

For the quaternion (4) a similar table of multiplication of basis matrices (5) is valid, as for imaginary units:

Table 1: Multiplication operations of quaternion basis matrices.
Note that the basis matrices do not intersect when superimposed. Therefore, the basis matrices (5) also correspond to the spatial coordinate axes in 4D space. Using the basis matrices (5), we write the quaternion (2) in the matrix representation (4) as follows:

With a quaternion in matrix and vector representation we can perform valid mathematical operations in real space as well as in space with imaginary units. The result of mathematical operations in matrix representation can be transformed into a quaternion with imaginary units (3). As an example, consider the use of quaternion (4) as a differential operator for the equation of dynamics in state space [3]:

where A – is the state transition matrix (STM) in the matrix representation (6), and the variables x, y, z correspond to the angular frequencies ωi, ωj, ωk, the indices of which show the corresponding imaginary coordinate axes of the 4D space, x(t) is a time-varying quaternion in vector representation, x(t) is the time derivative of the vector.
As can be seen, equation (7) is a linear matrix differential equation changing over time with constant STM. As a result of multiplying the input vector, the output vector is obtained in the form of a derivative of the input vector with respect to time. For constant values of angular frequencies ωi, ωj, ωk the STM has the simplest form:


is the period. It is also known that π is the ratio of the circumference of a circle to its diameter. Hence, the value ω shows how much the gradient of the trajectory of motion will change in a short period of time when moving in a circle. Accordingly, matrix (8) transforms rectilinear motion into circular motion. The solution to equation (7) will be a matrix exponential in 3D [3]:


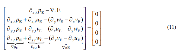
E. As is known, an orthogonal matrix does not change the modulus of a vector when multiplied. In this case, matrices (9) and (10) form a surface in the form of a sphere on which the trajectories of motion are constructed [3]. The electromagnetic interaction of a quaternion is described by Maxwell's equation, obtained analytically [6]. Since Coulomb's law describes the interaction of charges through an electric field, we use Maxwell's equation for electrical intensity:

where pE, uE, vE, wE are the functions of electric intensity in quaternion representation, pE is the scalar part of the quaternion p, E = [uE vE wE ]T is the pure quaternion of the electric intensity vector E.
Based on the CRC, which sets the requirements of the law of conservation of energy, each element of the vector (11) must be equal to 0. From (11) two equations are obtained [6]:

![]()
the density of electric charges in a given volume, and (13) shows that the circulation of the field strength E in each plane is formed from the current perpendicular to the axis created by the charge and the current created by self-induction.
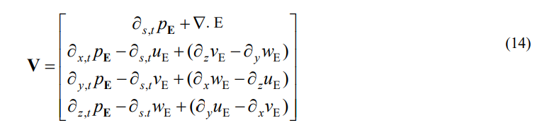
If Maxwell's equation was obtained from the CRC, for which the derivative of a quaternion from a quaternion was used, then for the wave equation the derivative of a quaternion with respect to a quaternion was used. As a result, the following expression is obtained [8]:

Expression (14) does not represent the CRC, so the elements of the vector are not equal to 0. Vector (14) consists of elements that form and emit an electromagnetic wave and the electromagnetic wave itself propagating in space. Compared to (11), the scalar parts are not subtracted but added. In the vector parts, the sign in the circulations was preserved, but the sign in the first sum changed to negative. This means that the direction of the gradient has changed and, consequently, the direction of the circulation currents.
Expression (14) can be represented as a scalar and vector equation [8]:

Thus, in contrast to the experimental Coulomb law and Maxwell's equations obtained from the experimental laws of Faraday and Ampere, as well as the Schrödinger equation in the form of a postulate, the presented Maxwell equations obtained using hypercomplex mathematics, analytically, satisfy the requirements of conservation of energy, i.e. the Cauchy-Riemann conditions, describe the behavior of an electron as a particle and as a wave in 4D space. The obtained wave equations show that waves propagate in the form of circulation created by an electromagnetic pulse of physical devices such as an antenna or a physical charged body.
Next, using these equations, we obtain Coulomb's law analytically.
Coulombs Law Model for a Single-Frequency Quaternion
Model of an Electron as a Single-Frequency Quaternion
First of all, let us emphasize once again the fact that an electron is a particle that can be found in a charged body. Coulomb, in order to establish his law, conducted experiments with charged bodies in the form of small balls. There are no electrons in free space. However, as Gauss showed, the charge density of an electron can be calculated from the strength of the electric field created by the electron as a scalar product (12) and (15). According to the CRC, these quantities are equal, therefore we can consider the electron as a charged body in physical real space, and in wave (imaginary) space, as a charge density created by electrical tension. Therefore, to describe the electron, we will consider the 4D hypercomplex space of the quaternion (1), which has the minimum dimension among hypercomplex numbers [6].
Let us represent two elementary charges, which are not any functions of other charges, as two quaternion vectors (2):

The first elements s of 4D vectors (17) correspond to the magnitude of the charges and are located on the scalar coordinate axis, which is not visible in 3D space. They can take positive or negative values. The three remaining elements x, y, z of the vectors (17) correspond to the imaginary parts of the quaternion and represent the wave functions of the electric field strength E with frequencies ωi, ωj, ωk in 3D imaginary space. In general, vectors (17) represent charges in the form of particles in real space and waves in imaginary space.
Since for a single-frequency quaternion the frequencies ωi, ωj, ωk of the three axes in 3D frequency space are equal, we write the quaternion charges (17) of a single-frequency quaternion as

The signs of the elements can be any, since the norm of a vector does not change depending on the sign. The fundamental matrices of the single-frequency quaternion (10) for different frequencies ω1 and ω2 will have the form:

Let us consider the dynamic model (7) in the 4D state space for two single-frequency quaternion charges:

According to (10), the solution of equation (20), taking into account the recording of fundamental matrices in the form (19), will have the form:

From (21) it is clear that, as in Coulomb's law, the interaction of two charges is equal to the product of their values. However, when charges are represented by a quaternion, this interaction changes in time according to a harmonic law.
By multiplying the terms in (21) and reducing similar terms, we obtain the following expression for the fundamental matrix of two charges with different frequencies:

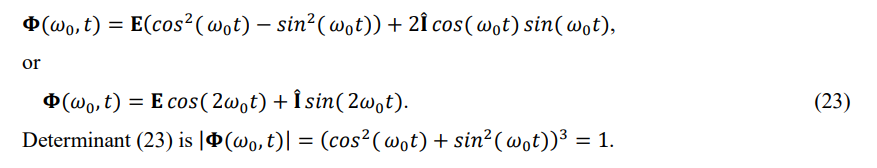
Expression (22) corresponds to single-frequency matrices (19), only the frequencies are added together. The determinant (22) is equal to

At equal wave frequencies ω1 = ω2 = ω0

As is known, when calculating the energy impulse or the force of interaction of charges by taking the derivative of (22) or (23) with respect to time, we obtain that the forces of interaction depend on the frequency and increase due to the summation of frequencies.
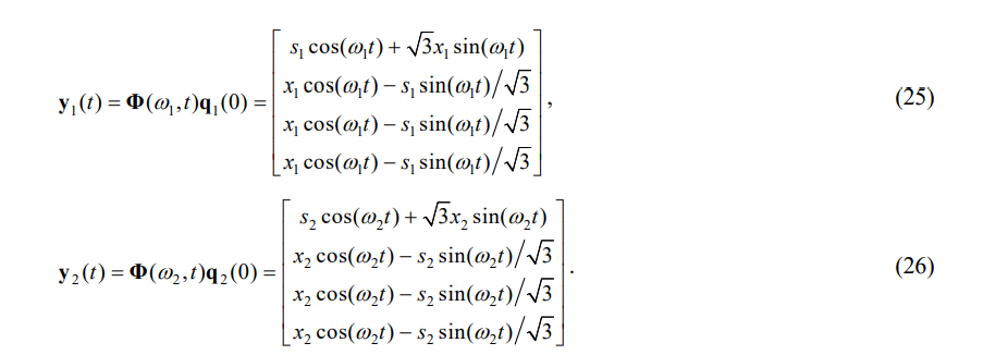
Let us denote the initial states (18) as q1 (0) and q2 (0):

We multiply the fundamental matrices (19) by the vectors (24), and as a result we obtain the values of the output vectors:

The graphs of the vector elements y1 (t) are shown in Figure 1 for a positive charge [1 1 1 1]. The red solid line shows the scalar part of the charge, and the blue, green and purple colors show the imaginary parts of the charge.

Figure 1: Values of the vector elements y1 (t) for a positive charge [1 1 1 1] with frequency ω1The vector element y2 (t) graphs are shown in Figure 2 for negative charge [-1 -1 -1 -1].

Figure 2: Values of the vector elements y2(t) for a negative charge [-1 -1 -1 -1] with frequency ω2 = 2ω1
From Figures 1 and 2 it can be seen that all three imaginary parts for a single-frequency quaternion charge are the same and are shifted from the real parts by π/2. Therefore, the imaginary parts are orthogonal to the real part. The imaginary parts of vectors (25), (26) are located on the imaginary axes i, j, k, forming 3 planes XY, XZ, YZ in 3D and, accordingly, are orthogonal to each other. The scalar part of the quaternion charge represents its potential energy, and the imaginary part represents its kinetic energy. According to formula (22), the graphs for the total frequency will be similar and of the same power, only with a frequency of ω1 + ω2.
The graphs show that there is a constant exchange of energy. The energies are equal in maximum value. For vectors (25), (26) the power of the scalar part is 2, and the total power of the 3 imaginary parts is also 2. At points of zero potential energy, we have maximum kinetic energy and vice versa. Overall, the total energy will be constant. It should be noted that the Schrödinger equation essentially describes a similar process of exchange of potential and kinetic energy [2].
Let's consider the movement of electrons in 4D space. For a single-frequency quaternion in 4D, 16 combinations of vectors (24) are possible at the initial moment of time t=0 with the same amplitude a [3]:

Figure 3 shows the initial state vectors from table (27) for positive values of the scalar part (red). Figure 4 shows the corresponding vectors for negative values of the scalar part (blue color).
Figure 3: Initial state vectors in the form of a quaternion Figure 4: Initial state vectors in quaternion form
for a negative value of the first element for a a positive value of the first element
Since 4D space cannot be clearly depicted on a plane, Figures 3 and 4 show the values of charges in 3D real space for the last 3 symbols of the initial state vectors (24) on the imaginary axes i, j, k, which correspond to the real coordinate axes x, y, z of three-dimensional space in matrix representation. Imaginary units form orthogonal vectors, which, in turn, are orthogonal to the real part of the hypercomplex number. Since the value of the real part is not a vector, i.e. the charge of an electron does not depend on direction, then in 3D space its value is depicted as a point mass, the magnitude of which is proportional to the diameter of the sphere. Thus, we get 16 charges of a single-frequency quaternion located in a 4D volume.
According to (25) and (26), the values of the quaternion charge change according to a harmonic law. Therefore, an electron, when depicted in 3D as a point charge on imaginary axes, moves in 3D energy wave space along a trajectory that does not change its energy. Figure 5 shows the trajectory of a single-frequency electron from the initial state [1 1 1 -1] (red sphere with a black dashed surface).
Figure 5: Trajectory of charge movement from the initial state [1 1 1 -1]
As can be seen from Figures 3 and 4 and Figure 5, the scalar part of the quaternion also changes its magnitude and sign in accordance with changes in the wave functions. The values of positive and negative charges for Coulomb's law are defined as the average values of the charges as they change over time. The minimum value of a point charge means the maximum value of the rate of change of wave functions. Thus, the electron changes its potential and kinetic energy. In this case, the total energy of the electron remains constant. In the absence of other charges, an electron neither gains nor gives off energy and is therefore electrically neutral. Consequently, there are no attractive or centrifugal forces. Note that such a neutral state is possible only in oscillatory processes for the scalar and imaginary parts.
Figure 6 shows all possible trajectories of an electron from all possible initial states for a single-frequency quaternion shown in table (27). The rotation frequency will be determined by the frequencies ω1, ω2 for individual electrons or ω1 + ω2 for their sum

Figure 6: All possible Trajectories of charge motion of a Single-Frequency Quaternion
As can be seen from table (27) and from figures 3, 4, 6, the number of initial states for a single-frequency quaternion is limited by the requirements of the same values of the imaginary parts (24) and the equality of the energy of the scalar part and imaginary parts, according to the CRC. Consequently, a quaternion electron can occupy only certain places in the 4D energy space and move into them by quantum jumps. Moreover, the location of the quaternion charge cannot be random, as in the Schrödinger equation, but corresponds to the law of conservation of energy. Each positive value of the initial state vector corresponds to a negative vector located on the line connecting these states, passing through the zero of the origin.
Thus, the scalar part of the electron in 4D space is displayed on the scalar axis, but for clarity its value can be displayed in 3D imaginary (wave) space with spatial coordinates i, j, k or in a matrix representation on the real axes x, y, z. Since the magnitude of a scalar in real space in 3D is equal to the norm of an imaginary vector, the magnitude of a charge represented as a point mass with coordinates x, y, z will be equal to the norm of the corresponding vector. Displaying the scalar charge value in 3D space as a point mass allows us to more clearly see the dynamics of changes in the electron charge value over time and in wave space. When the scalar and imaginary parts of an electron change according to the corresponding harmonic law, it will be electrically neutral and will not change the properties of space. When receiving additional energy or losing energy, the quaternion electron abruptly changes its position in accordance with the law of conservation of energy, i.e. the Cauchy-Riemann conditions.
Interaction of Two Quaternion Charges
As can be seen from Figures 3 and 4, a quaternion scalar can take two values – positive and negative. In Figures 3 and 4 they are marked in red and blue, respectively. From Figure 6 it is clear that in the same place in 3D space a scalar can take both a positive and a negative value. In Coulomb's experiment, two opposite charges or two charges with the same signs located on a plane are considered. If we draw a real coordinate axis between the charges on the plane with the values of the charges, then between the plus and minus we get 0. Similarly, single opposite quaternion charges in the neutral state during their rotation are located in 3D wave space on lines passing through the zero point of the coordinate system, as shown in Figures 5 and 6. Therefore, the initial states (27) of the opposite quaternion charges of a single-frequency quaternion must have the form:

Positive charges in (28) take the first 8 values from table (27) from left to right, and the corresponding negative charges take the next 8 values from right to left.
Figure 5 shows a positive charge [1 1 1 -1] as the initial state, which corresponds to a negative charge [-1 -1 -1 1]. Figure 6 shows all possible states for a single-frequency quaternion charge. In this case, the positive and negative quaternion charges are on the same trajectory. Thus, the charge of a single-frequency quaternion can rotate in an orbit in 4D space while preserving its energy. In this case, the opposite values of the initial state vector are located at opposite ends of the line in 3D space passing through the origin of the space coordinates. Let us note once again that it is not the electron that rotates in the imaginary wave space, but the magnitude of the electron charge in the form of a point mass. The charge of the electron is located on the real axis, which is not visible in 3D. According to Maxwell's equation for the quaternion (12), the magnitude of the electron charge in the form of a point mass is calculated as the scalar product of the intensities on the coordinate axes of the 3D wave space with the Hamiltonian operator [6].
Let us consider the motion of two charges of a single-frequency quaternion with different frequency values. According to expression (21), the fundamental matrix is calculated as the product of the fundamental matrices of single charges with different frequencies, which corresponds to Coulomb's law. As a result of calculating the product, we obtained formula (22), in which the frequencies are added together. As can be seen from formula (22) for two frequencies and formula (19) for one frequency, the shape of the orbits of motion in the neutral state does not change, but only the frequency changes equal to the sum of the two frequencies. If the frequencies are equal ω1 = ω2 = ω0, expression (22) will take the form (23).
Let us denote the sum frequency in (22) as ω3 = ω1 + ω2. In general, the fundamental matrix of the quaternion (22) to the power n for the sum frequency is represented as [7]

Let us write the electrical intensity as the product of the initial state vector q and the fundamental matrix (29):

where q =[qs qx qy qz ]T - the magnitude of the charge, qs is the scalar part of the charge, q=[qx qy qz]T is the imaginary part in the form of a pure quaternion.
Let us consider as initial states opposite charges with the same amplitude and different signs. Then, the product (30) of the initial state vectors (27) will have the form:

The multiplication of charges in the Coulomb formula in the quaternion representation corresponds to the multiplication of the exponentials of charges (9) for a three-frequency quaternion and (10) for a single-frequency quaternion. The exponential of charges transforms their motion into a cyclic one while conserving energy. Since Coulomb considered charged balls in his experiment, this means that the electron was closed in the space of the ball and, accordingly, represented an exponential mapping (10). Therefore, such a particle can be imagined as a rotor that creates a displacement current and a wave [8].
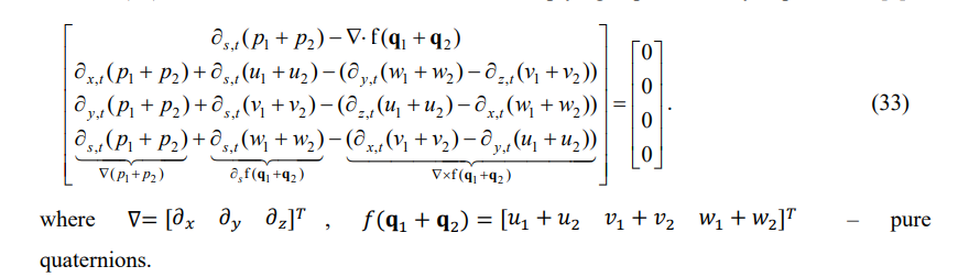
Let us consider Maxwell's equations (11, 12, 13) for a single-frequency quaternion and the implementation of the CRC for it. Let us represent expression (11) in vector form, as a product QT (p1 + p2 ), where the matrix Q is the matrix of the time derivative of the 1 2 quaternion function with respect to the conjugate quaternion changing in time, and the vectors p1 and p2 are quaternions represented as functions of simple quaternions:p1= f (q1 ) =[ p1 u1 v1 w1 ]T and p2= f (q2 ) [ p2 u2 v2 w2 ]T .
As a result of multiplication, we get:

Let us group the obtained result (32) in accordance with the formulas for multiplying a quaternion by a quaternion [6]:

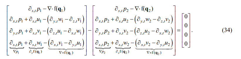
In the spherical wave formed by circulation in three planes XZ, XY and YZ, it is possible to separate the influence of two charges in expression (33) if the second quaternion has a charge equal in magnitude to the first quaternion. In a special case with opposite signs and the same frequencies, we obtain the CRC in the form:
This case corresponds to Coulomb's Law.

In expressions (30) and (31) the frequency ω3 = ω1 + ω2. Therefore, when calculating the energy of the pulse or the charge density of the electrons, as well as the gradient of the wave circulation, they will be equal to the sum of the energies or densities of two electrons, since when taking derivatives, a factor ω3 = ω1 + ω2 appears. In this case, for the corresponding initial states given in table (27) and written in (31) for the fundamental matrix (30), the CRCs must also be satisfied. In Coulomb's experiment, uncharged metal balls are electrically neutral because the number of negatively charged electrons inside the balls is equal to the number of positively charged electrons (ions or atomic nuclei). Let us consider the case of attraction of balls of different polarities in accordance with equation (34).
In the initial state, when both balls are not charged, then, as already said, each ball is electrically neutral. If we charge a stationary ball, then, from the point of view of Maxwell's equation for two quaternions (33), the energy balance of the system of two balls is not satisfied and, consequently, the energy balance of the system of two balls is disturbed. When another charge appears in space, which means the physical movement of a charged ball in space, an electrical impulse is generated from this ball and a response electrical impulse from the moving ball in the form of electrical tension. It is clear that the charge of the moving ball ceases to be neutral. For like charges, these impulses will be directed in opposite directions, and for opposite charges, towards each other.
From electrostatics it is known that a moving ball is charged due to electrical induction. It is believed that there are free electrons in the metal balls, which are shifted towards the first charge with the opposite sign. Charges obtained by electrical induction are called induced charges. Let us consider the mechanism of electrical induction from the point of view of Maxwell’s equation and the wave equation for a quaternion [6,8]. Let us recall that circulations on a plane are formed due to the phase shift of magnetic and electrical intensities. So, in real space, magnetic and electrical intensities differ only in phase shift and, accordingly, location on different spatial axes. For Maxwell's equation (33) for two charges, the CRC must also be satisfied. The wave equations (14) for one charge show that electrical impulses form an electromagnetic wave in the form of a circulation of intensities [8]. In this case, the circulation (16) in the plane created by the pulse of electrical intensity density ∇pE and induced intensities ∂(s,t) E is opposite to the circulation of the wave ∇×E. Therefore, they compensate each other and the CRC is fulfilled.
Figure 7 shows the circulation of tensions in the XZ (green), XY (turquoise) and YZ (yellow) planes. These circulations are projections of a sphere and form a spherical electromagnetic wave. The wave is considered electromagnetic because during circulation the electric and magnetic intensities are perpendicular to each other in each of the three planes. In other words, in the matrix representation the values of the orthogonal axes are real, therefore in the two-dimensional real plane, equivalent to the complex plane, the electric and magnetic intensities differ only by the phase shift.
Figure 7: Formation of a spherical wave
Let's assume that the red, positively charged ball is stationary. Then, the spherical wave is created by the moving negative charge (blue ball). Therefore, near a positive charge, the density of the negative charge will be less by an amount equal to the area of the sphere 4πr2. The energy carried by an electromagnetic wave is equal to the sum of the potential energy of electrical intensity and the kinetic energy of magnetic intensity. According to the CRC, these energies are the same and equal, when normalized, to half the total energy. Therefore, we can consider separately both the electric intensity and the magnetic intensity with unit energy, or both together with half energies. Coulomb considered the electrical intensity in free space and used the electrical constant ε0 as a factor for attenuating the energy of an electric wave, or instead of the electrical intensity E, he considered the electrical flow, i.e. electrical induction D = ε0 E.
Thus, using the analytically obtained Maxwell equation for two quaternion charges (33) and the corresponding wave equation (14), we obtained Coulomb's law as a special case of Maxwell's equation for two quaternion charges with the same wave frequencies (34):

Coulomb's law (35) shows the force of interaction between charges at the moment of time when the distance between them is r. However, the process of interaction between charges should not stop, since one of the balls is mobile and can move. Indeed, the charge of the stationary ball decreased by the amount
and, consequently, the force of interaction decreased. At the same time, the CRCs remained violated, and the charges, under the influence of the remaining interaction force, only came closer together. This means that on the real axis of the 4D space of the quaternion, the charges have come closer to each other and, accordingly, to the origin of coordinates, i.e. to zero. The negative moving ball gives its negative charge through induction to the positive ball and thus compensates for its positive charge. Obviously, this process will continue until the balls become electrically neutral, i.e. with zero charge.
If the balls have different charge values, then when they are connected, they will become equally charged, i.e. electrically neutral, like one ball with a charge. However, since one ball is moving, it will push off from the stationary ball when subjected to a mechanical impulse. From the point of view of performing the CRC, the moving ball, under the action of a mechanical impulse, must move a distance at which the system of two balls will be electrically neutral. In other words, the balls should not influence each other. Thus, Coulomb's law, obtained analytically in accordance with Maxwell's equation and the wave equation for a quaternion charge, showed that the force of interaction between charges arises in accordance with the law of conservation of energy, i.e. the Cauchy-Riemann conditions for hypercomplex systems.
Conclusion
Representing an electron in 4D space as a quaternion allows us to study it as a particle and as a wave. Using Maxwell's equation and the wave equation for the quaternion, it is shown that the forces of interaction between electric charges arise when the Cauchy-Riemann conditions for hypercomplex functions, i.e. the law of conservation of energy, are violated. When this law is violated, electrons of different signs move towards each other until the excess charge is compensated and the Cauchy-Riemann conditions are met. Opposite charges from one ball are transferred to the other due to induction arising from the spherical wave and compensate for the charge of the ball. Electrons of the same sign repel each other until the interaction between them becomes insignificant. In both cases, space again becomes electrically neutral.
References
- Hayt, W., & Buck, J. (2012). Engineering electromagnetics.
- Fleisch, D., & Kinnaman, L. (2015). A student's guide to waves. Cambridge University Press.
- Sovetov, V. (2024). The MIMO data transfer line with three-frequency quaternion carrier. Journal of Sensor Networks and Data Communications, 4(2), 01-17.
- Sovetov, V. (2024). Three-Frequency Quaternion Fourier Transform. J Res Edu, 2(2), 01-13.
- Sovetov, V. (2024). The MIMO Data Transfer Line with Seven-Frequency Octonion Carrier. Eng OA, 2(3), 01-23.
- Sovetov, V. (2025). Maxwell’s quaternion equations. Space Science Journal, 2, 1-13.
- Sovetov V. (2025) Cauchy – Riemann conditions for the Maxwell’s equations of a single-frequency quaternion. Space Sci J, 2(1),01-09.
- Sovetov, V. (2025). Single-Frequency Quaternion Wave Equation. Journal of Engineering and Artificial Intelligence, 1(2).

