Research Article - (2025) Volume 2, Issue 4
Cosmological Application of Bohr Correspondence Principle
Received Date: Oct 20, 2025 / Accepted Date: Nov 10, 2025 / Published Date: Nov 19, 2025
Copyright: ©©2025 Ramon Isasi. This is an open-access article distributed under the terms of the Creative Commons Attribution License, which permits unrestricted use, distribution, and reproduction in any medium, provided the original author and source are credited.
Citation: Isasi Ramon (2025). Cosmological Application of Bohr Correspondence Principle. Space Sci J, 2(4), 01-14.
Abstract
In the present manuscript, we consider the origin of the cosmological space, and the Cosmological Constant as a consequence of the annihilation of the matter - antimatter at the very beginning of the big bang. Since the cosmological expansion creates the space, the cosmological vacuum is considered as a very hegemonic entity which is the locus where all the objects create the events. In our model, non-inflationary N units of masses in conjunct are required to produce an equilibrium between the gravitational phenomena of the matter in bulk and each coulombic interaction between protons and electrons within the nuclear and atomic contour in all astro- physical (e.g. stars) or cosmological entities (e.g. galaxies). The ”dark matter” is considered to be formed by highly excited H and HeI Rydberg’s atoms in equilibrium with the CMB radiation and the vacuum dynamical density is considered as “dark energy”.
Keywords
Term Cosmology For, Bohr Correspondence Principle, Cosmological Constant, Dark Matter, Dark Energy, Hubble Constant, CMB Radiation
Introduction
The empty space, understood as a “physical vacuum” within the microscopic contour of an isolated atom, as well as the macroscopic space, extends this later one to the limit known as the Universe are subjected to an equivalent physical formalism. This spatial equivalence is a generalized property, and is sustained despite of the marked contrast between both magnitudes.
The significative scale difference between both extremes gives rise to the following properties which have relativistic significance.
1. An observer in the macrospace of the Universe lacks of simultaneity between the phenomenon and the observation, but has the possibility of registering the past events i.e. he is able to see a wide interval in the Universe history.
2. On the other hand, the same observer, from his macroscopic referential framework, is placed outside of the microcosmos; so that the experiments that reveal the nature of an isolated atom (excluding the inherent quantum uncertainty) present a practically simultaneous interaction in an unlimited reproducible way and unequivocal exactitude.
3. In both experiments (macroscopic and microscopic) all the information to justify the indistinguishability of both contours and its equivalence, is provide by means of the comparison of atomic spectrum originated in the laboratory with respect to the spectrum registered by the same elements with cosmological redshifts.
4. Every and any massive units (e.i. atoms) within the Universe, causes the gravitational interaction (at the event horizon) with all the remainder massive unities. As the N unities of mass-energy are the total mass of the Universe gravitational field, the sum of these unities can be considered as a single mass unity.
5. Likewise, every and any single quantum unity (atom or wave) interacts quantically in reversible equilibrium within the Universe (at the event horizon) with any other quantum unity of the remainder Universe. As the N quantum unities mark the whole spatial contour, this whole structure can be considered as a single spatial unity.
6. The Universe is a closed system, which expands adiabatically. Correspondingly, any contour of macrospace (open system) interacts with the surrounding by means of absorption or emission of exactly measurable amounts of energy. The redshifted photons due to the cosmological expansion, and the eigenstates excitation interval of an atom, would have the same energy and space scale proportions, which links both systems. In Section 2.2 we analyze these implications.
Microspace Vacuum and Macrospace Vacuum
Relativistic Meaning of the Spectral Lines
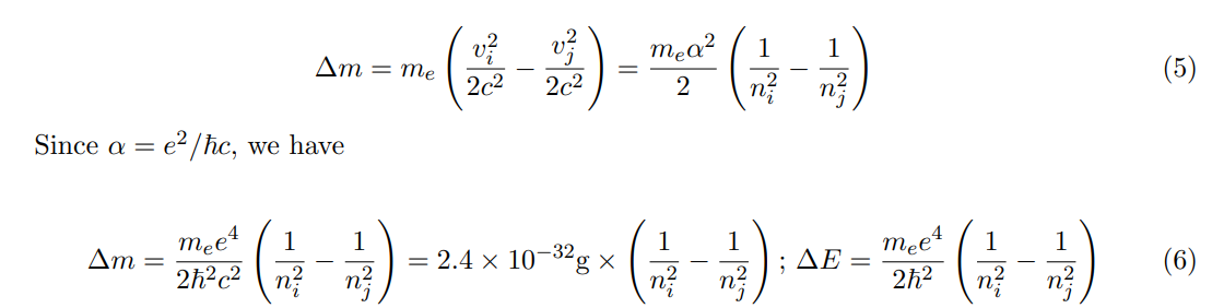
For an electron pertaining to an isolated hydrogen atom, when n = 1 and v = c/137 (v << c), the Lorentz (1904) relativistic expression may by stated in the following form

When this single electron evolves from a state (i) towards a state (j), there is within the empty contour of the atom a mass increase of
m

Taking into account δ = v2/c2 = α2/n2, being α the Sommerfeld constant, and as this relationship expresses the relativistic quantum ratio in electromagnetic emission (or absorption), we can insert it in (1) and (4)

As with the expansion, the kinetic energy K diminishes and the potential energy U increases, this means that the potential energy is equivalent to the space that has been created [1]. Likewise, the spectral process of emission or absorption is an interaction between a microbubble of energy (atom) and the macrospace. In this process, both entities always exchange simultaneously the same quantum unit of energy. The absorption lines expresses the mass-energy quantity proceeding from the exterior space, and the emission lines are equivalent to the mass-energy transferred to the macrospace when the electron falls down to an inferior quantum level.
This correlativity of mass-energy and space-time reciprocal exchange is the foundation for establishing the equivalence between both vacuum contours: the microspace “vacuum” mass-energy and the macrospace “vacuum” mass-energy (Section 2.2).
From the Equations (1) and (6) it is evident that as the atomic radius increases, the electron energy decreases and
m, which means the mass equivalent of the empty atomic space between ni and nj increases too.
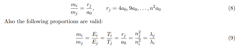
Likewise, according to Bohr’s formalism, the electron “velocity” is vi for ni = 1 and ri = a0 (Bohr radius). When the atom is excited or “expands”, v decreases inversely and linearly in terms of the Bohr’s radius: v = h(mena0).
As the velocity depression is also parametrized with respect to a scale unit (a0), it allows us to establish the following formalism:

Cosmological Expansion and the Hydrogen Atom Excitation
According to Eq.(7) it may be deduced that the relativistic mass of a photon emitted or absorbed for any transition is inversely proportional to the ratios of the corresponding stable orbits.
Consequently

This means, that the relativistic interactive photons mass-energy is directly proportional to the relativist temperature, and inversely proportional to the atomic radius. Even though it is certain that the expansion of the Universe operates in a continuous form, it is a particular congruence that the information of the event was provided by quantum transitions of atomic emissions systems. If for a practical convenience, we change the sign of these transitions, and instead of emission, it would correspond to the excitement of an electron of an isolated hydrogen atom. Here, its eigenvalues would have the same scale proportions in their spatial development as the cosmological values expressed as redshift or temperature of the CMB radiation.
This correspondence, is due to the equivalence between the energetic mechanism itself that originates the radiation (quantum states) associated to the size of the atoms, and the size of the Universe in expansion.
It is because of that

Where z is the measurement of the cosmological expansion; Rem and R0 are the respective Universes radii when light was emitted, compared with the present radius.
For a transition ni = 1 to nj = 2, the atomic radius is 4 times greater, λobs for n = 2 is 4 times larger too. If z = 3, it means that the Universe was 4 times smaller Rem = R0 /4, or what is the same, the wavelength emitted was a quarter of the observed λem = λobs/4.
As the monodimensional parameters of cosmological expansion have the same proportion as those of atomic excitation states, it means that the energetic implications of both vacuum contours are identical, despite of their scale magnitudes.
Thus, due to the cosmological expansion, the Lyman alpha line shift of the atomic hydrogen spectra, coincides with the ratio between the two atomic radii which generates this transition Eq. (10). E.g., for z = 3 the Lyman alpha line is shifted to a cosmological expansion with a factor 4. Likewise, when an isolated hydrogen atom originates a photon of λ = 1, 216ºA, the electron has a quantum transition from nj = 2 to ni = 1, due to a spatial transition of 4a0 → a0. Although we have adopted the intense Lyman alpha line, the same properties for any other electronic transition can be verified.
Underlying Astrophysical and Cosmological Implications from the Millikan Experiment
The Millikan experiment consist in the execution of several experiments sistematically integrated in only one instrument. To carry out this experiment in atmospheric pressure does not mean any failure, since it would be impossible to carry it out in the vacuum. In the same way, when the bouyance and the viscous force are substracted this leads to a vacuum formal situation.
O = Fgrav + Felect + Fvisc + Fbouy
The analysis of some unspecific details from this Millikan’s outstanding experiment (Millikan, 1911, 1913); (Townsend, 1897) reveals us implications as valuable as the direct observations of the phenomena. Then, in all cases the connection between the terrestrial gravitation, the electron’s charge unit and the Coulombic field was derived from:

This equation is an illustrative expression in the most simplified form of the experiment. As the mass of electrons in our terrestrial contour is irrelevant, the experimental stratagem was to bond the units of charges to a heavy body. By removing the application of the Stokes’ Law and using only the correction for the atmosphere bouyancy, the result is equivalent to the mass of a motionless droplet in the vacuum. Since the intensity of the electrical field EV exerted on the droplet is independent of its position, consequently this approach is depending solely on their effective mass.
The Eq.(11) expressed in its energetic form can be extrapolated in two opposite directions as far as the most extremes physical limits. On one side, the gravitational field can be as big as the Sun, or galaxy (Sect. 5.1), or the whole universe. This causes the total suppression of the droplet mass which was solely an experimental artifice, remaining to own electron mass and its units of charge. Otherwise, this can leads an electrostatic field as a big as the Coulombic field of two opposite units of charges in the distance of one atomic radius or lesser, as the relativistic distance of the classical electron radius.
Macrocosm and Microcosm Moments of Interaction
In view of these preliminary antecedents of equivalence - which link the gravitational field with the Coulombic field - it is possible to relate the atomic and subatomic universe, to the cosmological Universe. In order to accomplish this, we will connect both scales through their corresponding moments of interaction (Law of the Lever). Then, the moment between the microscopic and macroscopic magnitudes can be made equal and be superimposed in the following way:
Energy A = Energy B
FG × Lmax = Fcoul × re (12)
The “classical electron radius” re, physically has an entirely relativistic signification of equivalence between mass, radial distance and the unit of charge. This constant re, is the radial separation between two electrical charges when the Coulombic potential of energy is equivalent to the electron relativistic mass m c2 = e2/r . The gravitational interaction between a proton and an electron in the domain of re is FG e = Gmp me /(2π2r2). As in this conditions Fcoul = e2/r2 = me c2/r we can substitute it in the Eq. (12) and resolve for L max.

Being: Lmax Universe critical radius; electron charge e = 4.8 × 10−10cm3/2g1/2s−1; electron mass m = 9.11 × 10−28g; proton mass mp = 1.673 × 10−24g; gravitational constant G = 6.67 × 10−8cm3g−1s−2; classical radius r = 2.82 × 10−13 cm.
It is evident the critical radius Lmax established in this way is a constant, because it was originated by means of constants. Nevertheless, as Lmax is a superior limit, it is accomplished when the expansive energy is the same as the potential energy. As the generalized state of expansion continues, this limit in the present has not been reached (see Figure. 1).
Critical Number of Protons
A microspace contour, and all the whole Universe contour are complementary when these opposite extremes are represented by means of a limited energy bubble with a well-defined critical radius in its spherical surface. This makes it possible to determine another critical parameter, when says applying the Principle of Correspondence (Bohr 1929) on Eq (13). Its result lead to the obtainment of the number

The critical baryon density is:

The Principle of Correspondence is clearly expressed in the Eq.(17) when microphysics scale gets connected with cosmological scale through the Nb constant
The ratio of interaction between two units of charges, with respect to the intensity of its gravitational field is 7.13 × 1039 times greater. It signifies that 7.13 × 1039 units of mass are required to produce a gravitational field of the same intensity as a single pair of units of charge. These assertion and principles can be applied to other very extensives or massive forms: galaxies formation, the structure of the Sun and stars.
The Hubble Constant
Kinematics Implications of H0
Theorically, the Hubble constant is defined as a parameter established by the speed of the cosmological expansion within a scale unit (Misner et al; 1972).

Starting from this constant, the following parameters can be deduced: a) Linear recession law: v = dl/dt = l° = R° l/R being l, the mean distance between two referential physical points (i.e. galaxies). b) Hubble time tH = l/v = H−1 where t is the time from the present referential position, extrapolated to zero distance between galaxies moving at the recession rate observed today. c) Hubble length LH = c/H, where LH is the top distance, which is attained by use of the linear recession law when v is extrapolated to c.
The Origin of H0
One second of parallax, given by the diameter of the terrestrial orbit around the Sun, is an anthropic scale unit, and physically unmeaning by itself. The origin of H0 must be marked by a physic unit of scale transcendent and significant as the radius of the gravitational collapse, it may allow us the acquisitions of physical implications which are comparative to the atomic referential radius as unit of scale (i.e. a0 or re).
When the Universe radius was 6.37 × 1024cm = 2.064 Mps = RG with a Planck’s blackbody distribution curve corresponding to a temperature of ∼ 5, 250ºK, there still existed a fraction of photons in a thermic state equivalent to ∼ 166, 000ºK, whose number was the same as the whole population of baryons (Sect. 5.3).
Starting from these conditions, the collapse of gravitation is produced; all the matter and radiation which up to that epoch was in an undiferenciated state of plasm, undergoes a 3-d granular packing condensation. The development of these clumps is a fundamental point of reference: the history of the cosmological expansion begins with the withdrawal of these formations, in order to mark the initial time of H−1.
Since kilometer and megaparsec are units of distance, the dimensions km s−1. Mps−1 means second−1; then, as the cosmological space progresses, the Hubble expansion rate will decrease continuously, until it reaches the present time value of H0 = 75.4 Km s−1 Mps−1 = 156 Km s−1 (2.064 Mps)−1 (Table 1).
At the present the observational determination of H0 shows acceptable precise values and by means of different methods converges within H = 73.8(±3.1) Km•s−1•Mps−1 (Riess, 2011); H0 = 73(±2)(±4) Km•s−1•Mps−1 (Freedman - Madore, 2010); H = 73.9 Km•s−1•Mps−1 0 0 (Bonamente, 2006); H0 = 76.5 Km•s−1•Mps−1 (Holanda, 2011); H0 = 74.3 Km•s−1•Mps−1(±2.1) (Freedman - Madore, 2012); H0 = 74.03 (±1.42) Km • s−1 • Mps−1 (Riess, 2019).
Non-Inflationary Origin and Evolution of the Repulsive Dark Energy
All the 3.12 × 1087 photons of the CMB radiation (Eq. 33) vibrate in all possible directions through a symmetric axis. But, as they have their origin in the annihilation of almost the same quantity of matter-antimatter, they are formed from Nγ/2 pairs of polarized waves. This polarization still remains after the inverse thermoionization (recombination) because the recombinant electron also collapses in atoms with two possible quantum states. Likewise, the electrons of the hydrogen atoms and He too, show two equal quantum states and emit polarized photons in both pairs.
Because the great supremacy of the Nγ/2 pairs of polarized waves, and despite of the perturbations provoked by the Nb baryons, this scheme remains invariant through all the cosmological evolution. Therefore, from the present conditions, if we fix an inverse sequential order towards a collapse on the space itself (gravitational implosion), it will show the following phases:
a- When the temperature is higher than 4, 000ºK the electrons and the hydrogen nucleus will still be at the plasma state. The Nγ photons of the CMB radiation keep their polarity, taking into account that they are 1/2Nγ(−) and 1/2Nγ(+).
b- For the electron’s threshold temperature T ∼ 6 × 109ºK and RU ∼ 2.6 × 1019 cm, 1/4 photons (-) and 1/4 photons (+) collapses as 1/4 electrons and 1/4 positrons.

d- Finally, this N/2 neutrons coalesces to give ∼ 1.2 × 1068 Planck’s “particles” when RU = 6.4 × 10−11 cm and T = 1.62 × 1032 ºK.
In a cyclic or periodic Universe (Eternal Return) the Planck state was not an initial ex-nihilo big bang starting point, instead, it was a crossing point for a new cycle. As at this point, there is not a preexistent surface, the Universe does not rebound on it, but it passes across itself, and expands toward any 3d points of space. Then, the former inward gravitational implosive falling energy was shifted to an opposite outward acceleration. This accelerative expansion, in fact, was simultaneously canceled by an equal attractive gravitational field (g = 0). Consequently, the origin of the cosmological non- inflationary expansion was produced mostly from matter-antimatter annihilation (dark energy).
Both opposite interactions were still unchanged until the gravitational baryonic collapse, which started at 2.064 Mps (Sect. 3.2).
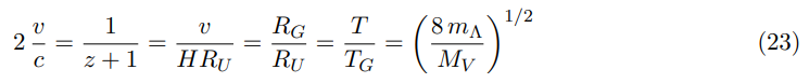
Dynamical Implications of H0
Taking into account the Cosmological Principle, and considering H0 for a simultaneous time (un observable) for any point in all the extension of the space, we may establish the dynamic state of the Universe from the radiative transition, to baryonic up to present time. Thus, for the extremes RG = 2.064 Mps (gravitational collapse) and ROU (present time radius) we have

Since H0 defines the present Hubble expansion rate, and H defines a value of the Hubble constant at different epoch, we may extend (21) in the following way:

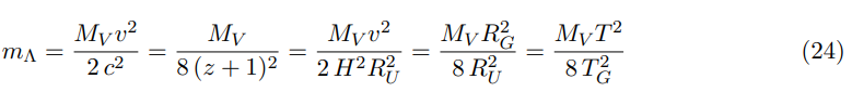
Mv = 2.64 × 1063g is the initial mass of the cosmological space (Sect. 3.3). Raising to square all this dimensionless terms and reordering, we find

These proportions express the dynamic state of the Universe unquestionably. The term MV v2/2 c2, the same as the other terms, represents the relativistic mΛ mass-energy equivalence of the space in expansion.
Despite of the different methods for the determination of the Hubble constant, and the implications of the Universe age, for us, H−1 as well as t0 , are not independent quantities, since we consider for H a clear point of arribal. Thus RG = 2.060 Mps (6.40 × 10≈cm) 0 0 G referential point, is coincident with the withdrawal of the protogalaxies after gravitational collapses (Sect. 4.2).
The Hubble time is an indicator of the cosmological age through the expansion rate in relation with the RG referential interval of distance. Hence, the present value of H−1 means the duration of the expansion from R until now. For this reason, the t 0 = age, determined on the basis of the antiquity of the oldest objects, plus its time of formation, is the same as t0
H−1, as likewise H t
1
The Extension of the Cosmological Space
Energy Constraint
All terms of the Eq.(24) determine the main implication of the Hubble parameter, because it establishes the dynamic index (scale factor) of the relativistic kinetic energy of the global expansion, prevailing for any point in space in a simultaneous time (Cosmological Principle).
In the initial evolutive process, because of EΛ > EG and mV = mde > mM, the Universe was hegemoneously expansive. Up to the RG ∼ 2.064Mps, the gravitation collapses, and as it implies a force exerted, this makes a continuous decrease of mΛ = MV v2/2 c2. Thus, the space expansion range can be established by means of the ratio between the expansive energy and the restrained force (Planck, 1926).
Slightly modifying the mechanical equivalent of heat, we have:
Expansive energy = FgravLmax (25)
As FgravLmax is the potential energy U, it determines that the expansive energy (kinetic K) be depressed continuously up to the equilibrium limit given by the virial 2K = U, which constraints the Universe extension (Lmax).

Being Nb = 5 × 1079; m0U = 8.35 × 1055 g and MV : mass of the vacuum 2.64 × 1063g (Sect. 3.3),
K = mΛ = MV v2/2 c2 (dynamic mass of the vacuum) and U = mM = 2 Gm0U 2/c2RU (gravitational mass).
Considering RG as the starting point, for any historic value of RU, the results are always L = 1.23 × 1028cm = 1.32 × 1010ly.
Physical Meaning of the Cosmological Term
The cosmological constant Λ, was designed exclusively for static model of universe. Its origin, was from an arbitrary ad-hoc constant of integration, and its negative sign, gives it the meaning of a repulsive “antigravity”. Because of its static non-expansive nature, its implementation is ineffective for any previous stage in the evolution of the universe. Moreover, this repulsive term acts only on the space itself, but not acting on the matter. For this properties, it does not gravitates. As a consequence of its static origin, the Eq.(26) is

This means definitely, that the origin of the cosmological constant proceed from the referential energy of the vacuum mΛ.
Photons Number Density of the CMB Radiation
The energy spectrum of the CMB radiation registered at present, whose mean wavelength is 0.105

Dynamic Repulsive Density of the Empty Space
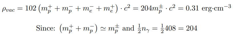
Because of its expansive origin (from annihilation of matter-antimatter particles) the cosmological vacuum is a repulsive “antigravitational” entity. Then, at the present temperature of the CMB radiation (2.73 â?¦K), the vacuum density of energy “Dark Energy” is equivalent to



Figure 1: The red line represent the dynamical density of the vacuum ρΛ. The blue line represent the density of the baryonic matter ρb. The numerical values are from Table 1
Structure Formation
Beginning of the Baryonic Epoch
A gaseous homogeneous system with a certain temperature can be gravitationally merged from a plasma state and forms a condensation of matter when the gravitational potential energy rises over the internal thermic energy EG > ET (Jeans, 1902). Specifically, a proof particle confined in a gravitational field shows the formation of clumps of radius R when:
Gravitational Potential Energy > Expansive Energy
Attractive Force × R > Expansive Energy (38)
At this epoch, despite of the dominant expansion of the cosmological space, the first structures can be formed by means of the attractive potential. This is because the hegemonic cosmological constant is only related with the space itself, but does not acts on the attractive gravitational effect associated with the matter. Therefore, the initial gravitational interaction makes the beginning of the baryonic era (Sect. 5.3).
The transition from an universe dominated by radiation to an universe dominated by matter occurs after ρm « ρCMB radiation. At this epoch, the universe was ∼2,000 times smaller than the present. Reached these conditions, one can say that it was the beginning of the gravitational era and the end of the era of radiation. For this transition we adopts a temperature of 5,200ºK, which correspond to the beginning of the baryonic epoch and the called “recombination” (negative thermoionization) of the hydrogen and HeI atoms.
As the photons even by far, they are the least massives of all components, but because of their great number, they represent together with the electrons the extremes entities which mark the limiting temperature for the formation of these clumps.
Consequently, both for the electrons and the photons, the expansive energy is

For an electron, the translation energy for degree of freedom on the zero point is 3kT/2. Like- wise, for the same electron, the attractive force within a clump contour is

being ML: clump mass and RL: clump radius. Combining Eq. (39) and (40) in (38) we have

Although the formalism of the big bang has the significance of the realization of a generalized expansion process, once the lumps are formed they will not dissipate, but opposite occurs: within their contour they can collapse to produce minor structures (stars) as well as they can associate among themselves to form new conjuncts (cumulus). In both cases, when these new structures originate, and due to the simultaneous effect produced by the progressive expansion, the rarefying increases in the surrounding, which makes the process not fully efficient, and a significative mass remains in a dark (baryonic) form.
Numerical Calculation
For the formation of a clump of gas (protogalaxy) in a fluid with a mass density of ρ = 7.74 × 10−20 g•cm−3, the mean kinetic energy of a proof plasma particle (i.e. an electron) corresponds to the thermic state determined by a Planck’s distribution curve. As in the fluid, the number of photons is about 108 : 1 times the number of nucleus and electrons, when the temperature is ∼5,250ºK, yet there exist as many photons in a thermic state correspondig to 167,000ºK as the whole population of free electrons. That is the reason why the gravitational fusion or gravitational collapse (Sect. 5.3) starts just when the Universe has a radius of 2.064 Mps (6.40 × 1024cm) and EG« ET.
Using Eq.(42) we may obtain the lumps radius in the fluid fluctuation. The result is RL = 1.37 × 1021cm.
The mass of this lump may be calculated by equating and reordering Eq.(40) and Eq.(42)

The mass of this protogalaxy coincides with the massives old galaxies observed at the present time (Marchesini, 2010) (Wiklind, 2007). Owing to the physical constraint imposed by the Eq.(42) and the restriction of space within its general contour (2.064 Mps) the three dimensional (3-d) close packing makes an individual size considerably inferior (1/40) than the present one. Since the galaxies do not increase their extension in synchrony with the generalized cosmological expansion of the space, they will reach their normal size when the dynamic equilibrium is accomplished after the stars formation, up to the present time.
Adjusting the Eq.(14) we can get the mean present radius of the spherical halo of a galaxy

The Start of the Baryonic Age. Energy and Temperature
The temperature for the fixed number of N particles in a certain volume is a measure of their (kinetic) energy. That is the reason why the energy for a certain quantity is always an extensive property. On the other hand, the absolute temperature for degree of freedom, similarly pressure and density are intensive properties and independent of the mass. Thus, the Boltzmann constant k, for a Kelvin degree determines the mass or energy of 1ºK for one freedom degree (particle or photon). If m = kT/c2, and T = 1ºK, result m = 1.533 × 10−37 g (fd)−1.
This means that the average of energy for each freedom degree, multiplied by the total number of photons or particle, will allow us to establish the energy of whole system. Then, N elements are required for producing an equivalent behavior between the gravitational potential of the matter in bulk and the coulombic potential of the individual atoms.
For the present universe with a present Hubble constant H0 = 75.4 Km s−1 Mps−1, the mean mass of all the photons was equal to the critical gravitational mass when T = 167, 000ºK and RU = 6.4 × 1024 cm.

The discordance between the initial baryonic radius RG = 2.0 × 1023cm for T = 167, 000ºK and RG = 6.37 × 1024cm = 2.064 Mps for TG = 5, 250ºK takes place, because in the plasma there is a great excess of photons with respect to the number of baryons (∼ 108 : 1) and this determine that the baryonic age was produced considerably later. Finally, it must be added that the process of galaxies formation is not fully efficient (just 0.003 to 1) and most of the cosmic material is gas and dark matter.
Time Temperature Relationship
Expansive Ideal Gas of Photons
Since the whole cosmological space is a black body contour full of radiation and a very repulsive- expansive bubble of energy, the ideal gas equation as a kinetic expression is a suitable tool to resolve this problem directly.
![]()
As the relation volume to radius is

Time - Temperature from Microphysics
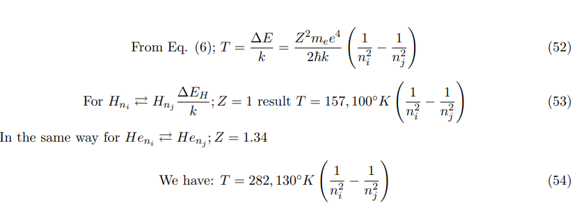
Finally, we will make use of parameters proceeding from microphysics solely, in particular, the Coulombic total energy of the electrons in the Rydberg states for the H - HeI cosmological atoms. The binding energy of these electrons are:
H1 : 13.6eV (157, 900ºK)
HeI : 24.6eV (285, 600ºK)
1eV= 1.6×10−12 erg
The abundance by atom of H - He is: 16 H1:1 He4.
Thus, the effective value of Z2 is given by
Z2 eff (H1 + HeI) = 0.9375 × 12 + 0.0625 × 1.3412 = 1.050 (47)
The origin of the photons of CMB radiation and the cosmological expansion, was produced solely from matter antimatter annihilation (Dark Energy). In consequence, at the same rate as the empty cosmological space increases, the following intensive properties decrease synchronically in a regressive general development.
i. The matter-antimatter empty space density (the space itself).
ii. The nγ photon number density of the CMB radiation.
iii. The total energy density in the Rydberg H - He microstates.
For the last point, the balance begins from the gravitational collapse, and continues after the recombination in higher Rydberg microstates until the present time. Then, it can be said that the Rydberg H - He atoms behave as micro-barometers in thermodynamic equilibrium with the CMB radiation.
Thus, the average energy in the empty contour for these electrons can be expressed by the following constant. From Eq. 6:

This constant is totally independent from any particular quantum levels in the history of the Rydberg (H - HeI) atoms evolution. Then, in all stages of the cosmological expansion, the ratio between the energy within the empty contour of Rydberg atoms with respect to the energy of a proton-antiproton, allows us to obtain η (baryon to photon ratio). The last assertion is consequence of the origin of the empty space and the CMB radiation, since both entities proceeds from the annihilation of protons-antiprotons.

From this equation, it is clear that the photons number Nγ of the CMB radiation is a result of the ratio in the Coulombic interaction between the electron-proton and the electron-electron, with respect to the gravitational interaction of its masses. This ratio, is invariant from any quantum state and the number of interactive particles. It should be noted, that Nγ is deduced entirely from physical constants, which are not subject to any direct cosmological observation. The same equation (50) can be expressed in a mathematically simpler way:

Cosmological H and HeI Highly Excited Rydberg Atoms
Thermic Equilibrium Between the CMB Radiation and the Rydberg Atoms
The cosmological space, acts as an entity since it expands by itself as an active element (dark energy). This phenomenon becomes clear by stretching the Nγ photons of the CMB radiation which permeates the whole cosmological space in a homogeneous form.
In the halos of galaxies, the intergalactic medium and the medium between clusters and in- terclusters, the undetectable dark matter is formed by highly excited Rydberg hydrogen atoms at n = 80 − 90; Z = 1, and by helium Rydberg atoms Z = 1.34, at n = 110 − 120 which are in perfect thermic equilibrium with the CMB radiation. These Rydberg atoms can be detected by its gravitational effect as dark matter.

As a representative example, in the Milky Way halo, there are 3,200 photons of the CMB radiation for one hydrogen Rydberg atom and 12,800 CMB radiation photons for one Rydberg He atom.

Table 2: According To Equations (53) And (54) We Have Some Illustrative Result For H And He Rydberg Atoms. Λcmb Radiadion Is Obteined By Use Of The Eq. (31). Λcmb = 0.28804ºK • Cm
Conclusions
In natural science, particularly in any branch of the physics, it is extremely hard to construct a scientific framework on basis of generalized hypothetical and enigmatic unknown forms of matter- energy. Hence, it is very unusual, as in the cosmological inflationary “standard model”, it is considered as a natural fact, that ∼95% of the matter-energy (near the whole) is in unknown hidden form [1-18].
Cosmology requires particles, radiation, space and energy; likewise, atomic physics and astrophysics require the same components. Since atomic physics and astrophysics do not make use of any hidden form of matter-energy, the theoretical cosmology must be free of these artifices. Given these failures, another physics, independent of the dogmas by the hegemonic standard model, would be essential and imperative. In our model, we consider that 5% is visible matter, 30% are Rydberg H and He high excited atoms and 65% is made by the Vacuum Density of Energy called, in the Standard Model, “Dark Energy”.
References
- Asplund, M., Grevesse, N., Sauval, A. J., & Scott, P. (2009). The chemical composition of the sun. Annual Review of Astronomyand Astrophysics, 47, 481–522.
- Bohr, Niels; (1924). On the Spectral Series of the Elements. Cambridge University Press.
- Bonamente, M., Marshall, K. J., Joy, M. K., & LaRoque, S. J. (2006). Determination of the cosmic distance scale from Sunyaev–Zel’dovich effect and X-ray observations of galaxy clusters. The Astrophysical Journal, 647, 25–54.
- Freedman, W. L., & Madore, B. F. (2010). The Hubble constant. Annual Review of Astronomy and Astrophysics, 48, 673–710.
- Freedman, W. L., Madore, B. F., Scowcroft, V., et al. (2012). Carnegie Hubble Program: A mid-infrared calibration of the Hubbleconstant. The Astrophysical Journal, 758, 24.
- Holanda, R. F. L., Cunha, J. V., & Lima, J. A. S. (2012). Alternative methods for testing the cosmic distance duality relation. GeneralRelativity and Gravitation, 44, 501–508.
- Jeans, J. H. (1902). The stability of a spherical nebula. Philosophical Transactions of the Royal Society of London A: Mathematical, Physical and Engineering Sciences, 199, 1–53.
- Marchesini, D., Whitaker, K. E., et al. (2010). The evolution of massive galaxies to z = 2.5 from GOODS NICMOS survey. The Astrophysical Journal, 725, 1277–1295.
- Millikan, R. A. (1911). The isolation of an ion, a precision measurement of its charge, and the correction of Stokes’s law. Physical Review, 32, 349–397.
- Millikan, R. A. (1913). On the elementary electrical charge and the Avogadro constant. Physical Review, 2, 109–143.
- Misner, C. W., Thorne, K. S., & Wheeler, J. A. (1973). Gravitation. San Francisco, CA: W. H. Freeman.
- Lorentz, H. A. (1904). Electromagnetic phenomena in a system moving with any velocity less than that of light. Proceedings of theRoyal Netherlands Academy of Arts and Sciences, 6, 809–831.
- Planck, M. (1926). Treatise on Thermodynamics (O. W. Richardson, Trans.). New York, NY: Dover Publications.
- Riess, A. G., et al. (2011). A 3% solution: Determination of the Hubble constant with the Hubble Space Telescope and Wide FielCamera 3. The Astrophysical Journal, 730, 119.
- Riess, A. G., et al. (2019). Large Magellanic Cloud Cepheid standards provide a 1% foundation for the determination of the Hubble constant and stronger evidence for physics beyond ΛCDM. arXiv preprint arXiv:1903.07603 (v2).
- Townsend, J. S. (1897). The conductivity produced in gases by the motion of negatively charged ions. Proceedings of the Cambridge Philosophical Society, 9, 244–258.
- Wiklind, T., Dickinson, M., et al. (2008). High-redshift galaxies in the GOODS NICMOS survey. The Astrophysical Journal, 676,781–806.

