Short Communication - (2025) Volume 3, Issue 3
Correcting the Serious Errors in Maxwell’s Electromagnetic Theory Based on the Action-at-a-Distance Principle or the Action/Reaction Principle
Received Date: Jun 13, 2025 / Accepted Date: Jul 21, 2025 / Published Date: Jul 25, 2025
Copyright: ©2025 Shuang-Ren Zhao. This is an open-access article distributed under the terms of the Creative Commons Attribution License, which permits unrestricted use, distribution, and reproduction in any medium, provided the original author and source are credited.
Citation: Zhao, S. R. (2024). Correcting the Serious Errors in Maxwellâ??s Electromagnetic Theory Based on the Action-at-a-distance Principle or the Action/Reaction Principle. OA J Applied Sci Technol, 3(3), 01-35.
Abstract
The Action-at-a-distance principle and the action/reaction principle are similar in content but were proposed by two different groups of researchers. The Action-at-a-distance group consists of physicists such as Schwarzschild, Dirac, Wheeler and Feynman, Stephenson, and Cramer. The action/reaction principle pertains to classical electromagnetic field researchers like Lorentz, Rumsey, Welch, the author (Zhao), Hoop, Petrusenko, among others. Both theories involve advanced waves. The Action-at-a-distance principle posits that advanced waves are physically real. The action/reaction principle does not explicitly state whether advanced waves are physically real but provides more details for electromagnetic field calculations. In 2017, the author realized that these two theories are interconnected and proposed the Mutual Energy Flow Theorem. The Mutual Energy Flow Theorem is built upon the Mutual Energy Theorem (or energy-type reciprocity theorem). Mutual energy flow consists of both retarded and advanced waves. The author discovered that mutual energy flow can be expressed using the action and reaction principles. Mutual energy flow possesses photon-like properties and can be considered as particles. The author found that action and reaction are mutual interactions, not self-interactions. Mutual interactions (mutual energy flow) transfer energy, which inherently requires that self- interactions (self-energy flow) do not transfer energy. On the other hand, according to the ether theory, the electromagnetic wave source radiates electromagnetic waves, which propagate through the ether. When the electromagnetic waves encounter a receiving device, such as a receiving antenna, a portion of the energy is transferred from the ether to the receiving antenna. Since the ether fills the entire universe, electromagnetic waves can continue to propagate indefinitely in regions without receiving antennas, the Earth, the Moon, or stars, potentially causing radiation to overflow the universe. This ether theory of electromagnetic waves allows radiation to overflow the universe. Conversely, if only action and reaction of equal magnitude and opposite direction are permitted, radiation overflow is disallowed, thereby preventing electromagnetic waves from overflowing the universe. Thus, the two electromagnetic wave theories—electromagnetic waves propagating in the ether and electromagnetic waves described by action and reaction—can be tested by whether radiation overflow the universe is permitted. The ether theory allows radiation to overflow the universe, whereas the action and reaction theory does not. The author supports the theory that radiation does not overflow the universe, which aligns with the action and reaction principle or the Action-at-a-distance theory. The author proposed a new axiom that radiation does not overflow the universe. First, the author relaxed Maxwell’s equations. Then, by adding the new axiom that radiation does not overflow the universe, a new electromagnetic theory was formed. The solutions to this electromagnetic theory deviate from those of Maxwell’s equations. A characteristic of these solutions is that electromagnetic waves are reactive power. Therefore, on average, the Poynting vector (self-energy flow) of electromagnetic waves does not transfer energy from the light source to distant locations. Instead, it is the mutual energy flow, composed of action and reaction, that transfers energy.
Keywords
Action, Reaction, Reactive Power, Electromagnetic Wave, Retarded Wave, Advanced Wave, Retarded Potential, Advanced Potential, Retarded Field, Maxwell, Mutual Energy, Reciprocity Theorem
Introduction
Action-at-a-Distance Principle
The Action-at-a-distance principle was proposed by Schwarzschild, Tetrode, and Fokker [1, 2, 3] in 1903. Later, this idea was developed by Dirac’s self-force problem [4] in 1938. Wheeler and Feynman introduced the absorber theory in 1945 [5, 6], which emphasized that currents produce both retarded and advanced waves. Stephenson provided valuable insights into the advanced wave theory [7]. The absorber theory’s concept was further developed by Cramer into the transactional interpretation of quantum mechanics in 1986 [8, 9].
Action/Reaction Principle
On the other hand, Lorentz first proposed the Lorentz reciprocity theorem in 1896 [10], involving two current elements as shown in Figure 1.

Figure 1: Assuming there are two current elements J1, J2 within region V, with the boundary of V being surface Γ. The subscript 1 corresponds to current element J1, and subscript 2 corresponds to current element J2. Both J1 and J2 generate retarded electromagnetic waves. The two current elements satisfy the Lorentz reciprocity theorem.

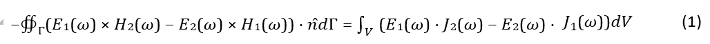
Where E is the electric field, H is the magnetic field, and J is the current. We assume two current elements J1, J2 within region V. The boundary of region V is the surface Γ. Subscript 1 corresponds to current element J1, and subscript 2 corresponds to current element J2. ω = 2πf , where f is the operating frequency of the system.
Rayleigh-Carson proposed the reciprocity theorem between 1924 and 1930,


Energy-Type Reciprocity Theorem
In 1960, Welch proposed the time-domain reciprocity theorem [12],


Figure 2: Assume two current elements J1, J2 exist in region V, with boundary Γ. J1 generates retarded electromagnetic waves, while J2 generates advanced waves. The two current elements satisfy Welch’s time-domain reciprocity theorem, Rumsey’s new reciprocity theorem, Zhao’s mutual energy theorem, and Hoop’s cross-correlation reciprocity theorem.
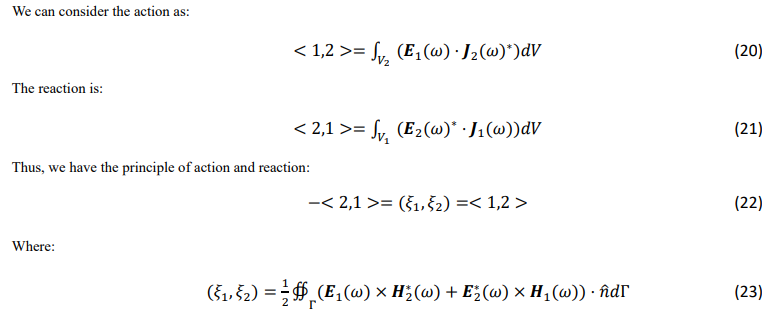
We know that the Fourier transform of Hoop’s reciprocity theorem (11) corresponds to Welch time-domain reciprocity theorem (8). The formal structure of Rumsey’s new reciprocity theorem is consistent with the mutual energy theorem. Welch’s time-domain reciprocity theorem is a special case of Hoop’s reciprocity theorem. Thus, Welch’s time-domain reciprocity theorem, Rumsey’s new reciprocity theorem, Zhao’s mutual energy theorem, and Hoop’s cross-correlation reciprocity theorem can all be considered as a single theorem, as illustrated in Figure 2.
We may refer to this theorem as the energy-type reciprocity theorem or the mutual energy theorem. The author discovered that Rumsey’s principle of action and reaction is actually more applicable to the energy-type reciprocity theorem or the mutual energy theorem [12, 16, 13, 17, 18]. The two terms in equation (8) can be defined as follows:

From the above equations, if we define <1,2> as action and <2,1> as reaction, we can state that action and reaction are equal in magnitude and opposite in sign, similar to Newton’s third law: action and reaction are equal in magnitude but opposite in direction. However, equation (6) seems to suggest that action equals reaction without indicating an opposite sign. Thus, equation (14) appears to be conceptually clearer and more correct. Additionally, in equations (7) and (14), one current J1 is a source, and the other current J2 is a sink. This differs from equation (1), where both J1 and J2 act as sources without a sink.
Significance of This Paper
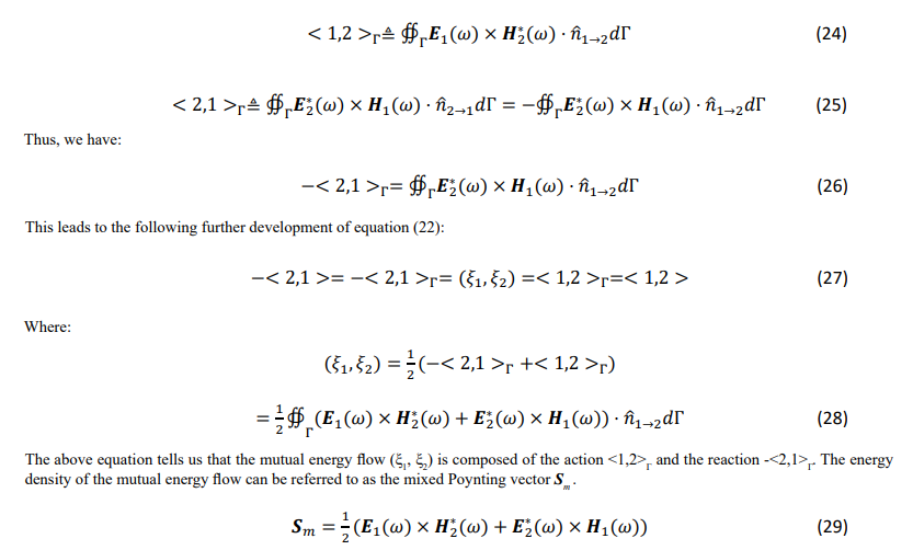
The author’s electromagnetic theory is based on the action-at-a-distance physical theory [1, 2, 3, 5, 6, 8, 9] and the theory of action and reaction in electromagnetism [10, 11, 12, 16, 13, 14, 15, 17, 18], and is a revision of Maxwell’s electromagnetic theory. This theory has been essentially completed, and the author has published a book on this subject [19]. This paper reviews the action-at-a-distance physical theory and the reciprocity theorem (mutual energy theorem) based on action and reaction, emphasizing how the combination and development of these two theories have led to the development and correction of Maxwell’s electromagnetic theory.
The action-at-a-distance physical theory clearly introduces the concept of advanced waves and considers them as a physically objective existence. Additionally, the concept that current generates half-retarded and half-advanced waves is also crucial. Cramer’s idea of the handshake between retarded and advanced waves is also very important. On the other hand, in classical electromagnetism, Lorentz’s reciprocity theorem [10] in 1896 developed the idea of action and reaction, where the action and reaction are equal [11] (1954). Welch’s time-domain reciprocity theorem further evolved, stating that the size of the reaction is equal to that of the action, but the reaction is the negative value of the action (1960). Welch’s time-domain reciprocity theorem also involved advanced waves. However, it seems that Welch did not link his reciprocity theorem with Wheeler-Feynman’s absorption theory. Later, the author proposed the mutual energy theorem (1987), and since the author’s mutual energy theorem is the Fourier transform of Welch’s reciprocity theorem, it was recognized that Welch’s reciprocity theorem is actually an energy theorem, marking a significant step forward. In fact, this theorem has been independently rediscovered several times as a reciprocity theorem [16, 17, 18].
In 2017, the author completed the study of the action-at-a-distance physical theory [1, 2, 3, 5, 6, 8, 9]. The belief that advanced waves are a physically objective existence was established in the author’s mind. Additionally, the author studied the theory of action and reaction [10, 11, 12, 16, 13, 14, 15, 17, 18], and based on these two foundations, the mutual energy flow theorem [20] was proposed. The author discovered that the mutual energy theorem (Welch’s time-domain reciprocity theorem) is not just an energy theorem, but it can further be developed as an law of energy conservation. The discovery that Maxwell’s electromagnetic theory does not support the mutual energy theorem as the law of energy conservation revealed a bug in Maxwell’s electromagnetic theory. The author then proposed a correction for this bug. The author realized that if mutual energy flow can transfer energy, self-energy flow, or self-interaction should not transfer energy. Otherwise, mutual energy flow transferring energy would form a mutual energy photon, while self-energy flow would still transfer energy, which could collapse into photons corresponding to self-energy flow. This would imply the existence of two different photons. However, only one photon has been observed, which means that the collapse location of self-energy flow should coincide with the destination of mutual energy flow, so that the two different photons can merge into one. But this is unimaginable. We cannot conceive of self-energy flow collapsing precisely at the destination of mutual energy flow. Therefore, the author proposed the concept of reverse collapse of self-energy flow. Reverse collapse is realized by time-reversed waves. Retarded waves have time-reversed retarded waves, and advanced waves have time-reversed advanced waves. Reverse collapse can cancel out self-energy flow, so that self-energy flow no longer transfers energy. Energy is only transferred by mutual energy flow. This eliminates the problem of self-energy flow collapsing to the destination of mutual energy flow. The concept of wave collapse in quantum mechanics can be well simulated by mutual energy flow and the reverse collapse of self-energy flow [20].
However, the concept of reverse collapse is not without issues. Reverse collapse is formed by time-reversed waves, which include both retarded time-reversed waves and advanced time-reversed waves. These two time-reversed waves might also form their mutual energy flow, that is, the mutual energy flow of time-reversed waves. This mutual energy flow of time-reversed waves obviously cancels out the mutual energy flow proposed by the author. Thus, the theory requires an additional clause: time-reversed waves do not generate mutual energy flow. But with this clause, the theory becomes less perfect.
Since then, the author began to study the energy flow between the primary and secondary coils of a transformer, the energy flow between dipole transmitting and receiving antennas, and the energy flow between two parallel plates of current [21, 22, 23, 24, 25, 26, 27, 28, 29, 30, 31, 32, 33, 34, 35, 36, 37, 38, 39, 40]. During this process (2022-2024), the author gradually replaced the concept of wave reverse collapse with the concept of reactive power waves. A reactive power wave equals a normal wave and a time-reversed wave. However, it is quite clever that the retarded reactive power wave and the advanced reactive power wave can precisely form a mutual energy flow, and this mutual energy flow is real power! Thus, the author concludes that in electromagnetic wave theory, the energy is transferred by mutual energy flow, not by self-energy flow corresponding to the Poynting vector. Retarded waves and advanced waves are both reactive power waves, and they only generate real power mutual energy flow without generating time-reversed mutual energy flow. Thus, the theoretical flaw that retarded and advanced waves might generate time-reversed mutual energy flow has been overcome.
Recently, the author discovered that mutual energy flow itself can also be divided into two parts: action and reaction, where the sum of the action and reaction equals the negative value of each other. In this way, action and reaction can propagate through space. Any cross- section between the source and the sink can divide the space into two parts, with one part providing action to the other part, and the other part providing reaction to the first part. This allows action and reaction to propagate through space.
Furthermore, the author discovered that the so-called principle of action and reaction is actually the law of energy conservation, which states that the input energy flow equals the output energy. Therefore, the mutual energy theorem is the law of energy conservation. The author found two experimental facts to support this theory: one is in the transformer environment, and the other is the radiation from atomic radiation and absorption by atomic absorption in radiation bodies. In the ideal transformer, the output power of the transformer equals its input power. For an atomic radiation body emitting a photon and an atomic absorption body absorbing a photon, energy is obviously conserved, and the emission and reception are of the energy of a single photon. Thus, the energy conservation law based on action and reaction can be established, and the mutual energy theorem (Welch’s time-domain reciprocity theorem) is the law of energy conservation. However, the author discovered that Maxwell’s electromagnetic theory does not support the mutual energy theorem as the law of energy conservation. This clearly shows that Maxwell’s electromagnetic theory has a bug.
The next step is to find out the problem in Maxwell’s electromagnetic theory. The author discovered that the magnetic field in Maxwell’s equations is not the true magnetic field, but the average magnetic field along a small loop. However, from this magnetic field, the true magnetic field can be obtained by correcting its phase. Thus, we see that the principles of action-at-a-distance and action-reaction are indeed the key to discovering the bug in Maxwell’s electromagnetic theory.
Action and Reaction Priniciple
Mutual Energy Flow Theorem
In 2017, the author proposed the mutual energy flow theorem [20]. If we use the symbols for action and reaction, the mutual energy flow theorem can be written as:

Γ is any surface that can separate the source current J1 and the sink current J2. This surface may include J1, or it could enclose the current element J2, or even an infinite plane separating the source and sink. The mutual energy flow is represented by sharp points at both ends and a broad middle, as shown in Figure 3.
Figure 3: Assuming there are two current elements J1 and J2 in region V, with boundary Γ. J1 generates a retarded electromagnetic wave, and J2 generates an advanced wave. The two current elements satisfy the mutual energy flow theorem. The mutual energy flow is generated at J1 and annihilated at J2. The mutual energy flow exhibits particle-like properties. The mutual energy flow of electromagnetic waves can be seen as photons. The green arrows in the figure represent the mutual energy flow.
The source emits a retarded wave, which radiates in all directions. The sink emits an advanced wave, also radiating in all directions. However, due to the guiding effect of the advanced wave on the retarded wave, and vice versa, these two waves interfere constructively along the line connecting the source and the sink, while canceling each other in other directions. As a result, the retarded wave is directed from the source to the sink, and the advanced wave is directed from the sink to the source. Furthermore, the retarded and advanced waves become synchronized, and their energy flows are directed from the source to the sinks. The equation above implies that:


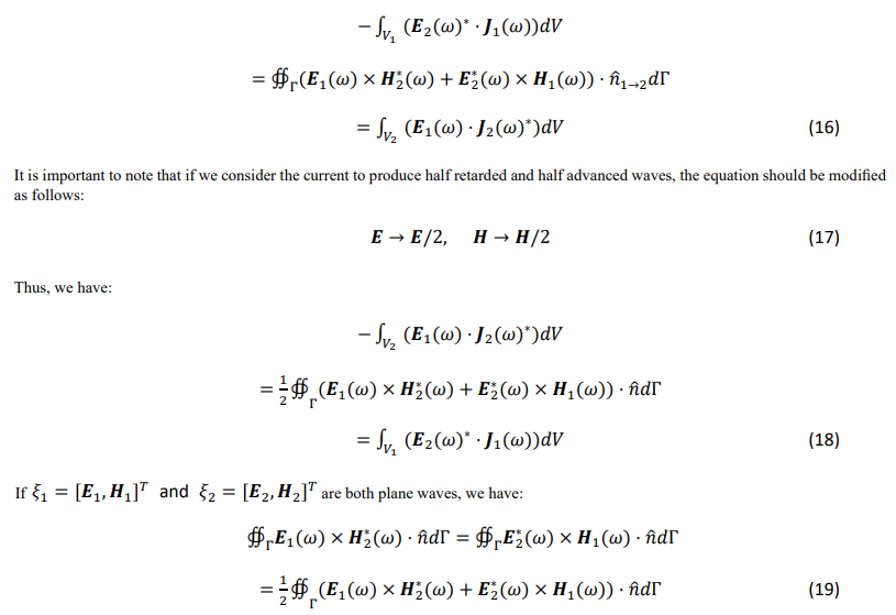
The action and reaction symbols proposed by Rumsey are used in Lorentz’s reciprocity theorem. In fact, these action and reaction symbols and ideas are more appropriate when applied to the energy form of the reciprocity theorem or the mutual energy theorem, i.e., the mutual energy flow theorem. This is because the mutual energy flow is generated at the current J1 and annihilated at the current J2. The mutual energy flow exhibits particle-like properties, and the author considers the mutual energy flow of electromagnetic waves as photons.
The current J1 exerts an action on J2, and J2 exerts a reaction on J1. The expression for the action and reaction is identical, as in equations (20) and (21). Furthermore, on the surface Γ:

The mixed Poynting vector Sm , compared with the Poynting vectors S11 = E1 × H1 and S22 = E2 × H2, has both creation and annihilation points, whereas the Poynting vector has only creation points with no annihilation. Therefore, the mixed Poynting vector, or the mutual energy flow density, better represents the energy density of particles. Consequently, mutual energy flow density provides a better interpretation of particles, and in the case of electromagnetic waves, this particle is a photon.
If we can divide space into two parts using any surface, as shown in Figure 4, where the left part has the current element J1 and the right part has the current element J2, we will find that the action and reaction occur on either side of the cross-section. Below, we analyze in the time domain, and thus:

Figure 4: In Each Surface which Separated the Source and Sink the Action and Reaction can be Found


This implies that at each moment, the left side of the cross-section exerts an action on the right side, and the right side exerts a reaction on the left side. The action and reaction are equal in magnitude and opposite in sign, and they occur instantaneously without the need for time integration.
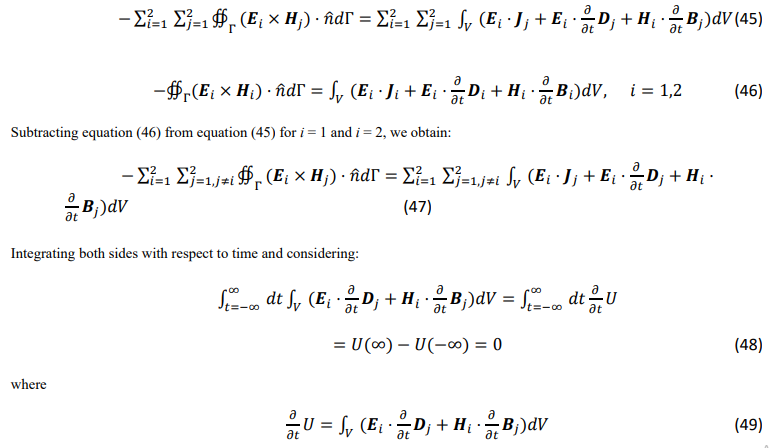
Wave Collapse

Figure 5: Assume there is a current element J1, which emits electromagnetic waves propagating in all directions. However, suddenly, a photon is received at an atom on the screen, which we describe as wave collapse onto this photon.
We know that quantum mechanics has the concept of wave collapse. When applied to light emitted from a source, wave collapse means that the light wave suddenly collapses onto a specific atom on the screen receiving the light wave, as illustrated in Figure 5. In quantum mechanics, light waves and electromagnetic waves satisfy Maxwell’s equations, while the electron wave satisfies the Schrödinger equation or Dirac equation. According to quantum mechanics, these waves must collapse and are probability waves. However, classical electromagnetic wave theory does not include the concept of wave collapse or probability waves. To unify the quantum mechanical concept of wave collapse with classical electromagnetic theory, the author proposed the concept of wave reverse collapse, as shown in Figure 6.

Figure 6: Assume there is a current element J1, which emits electromagnetic waves propagating in all directions. However, suddenly, the wave returns to the source J1.
This idea is based on the acceptance of Wheeler and Feynman’s, as well as Cramer’s, concept that a current generates equal parts retarded and advanced waves [5, 6, 8, 9]. The author further proposed the Mutual Energy Theorem [13, 14, 15] and the Mutual Energy Flow Theorem [20], stating that mutual energy flow consists of both retarded and advanced waves and is responsible for transferring electromagnetic wave energy. Since mutual energy flow is responsible for energy transfer, the energy carried by electromagnetic waves (self-energy flow) does not need to transfer energy. If self-energy flow also transfers energy, then two types of photons would exist: photons formed by mutual energy flow and photons formed by the collapse of self-energy flow. However, only one type of photon has been observed. Here, self-energy flow is defined as:

If self-energy flow also transfers energy, it must collapse at the destination of mutual energy flow so that both types of photons merge into a single type. However, the collapse of self-energy flow exactly at the destination of mutual energy flow is unimaginable. Therefore, the author proposed the concept of self-energy flow reverse collapse [20], as reverse collapse can cancel out the original self-energy flow, preventing self-energy flow from transferring energy.
Thus, "mutual energy flow" + "self-energy flow reverse collapse" can effectively model wave collapse. The author suggests that wave collapse is actually composed of wave reverse collapse and mutual energy flow. This provides a deeper understanding of wave collapse. The concept of wave collapse in quantum mechanics, which leads to the formation of a photon, can be replaced by "mutual energy flow" + "reverse collapse" forming a photon.
Additionally, the concept of reverse collapse implies that self-interaction is ineffective. Energy transfer is solely completed by mutual interaction, which is provided by action and reaction. The author believes that mutual energy flow is equivalent to photons. Therefore,
![]()
The above equation states that "self" interaction does not transfer energy. Only "mutual" interaction truly transfers energy.
It is worth noting that Wheeler and Feynman, in their absorber theory [5, 6], had already recognized this issue in classical electromagnetic theory. The absorber theory [5, 6] argues that classical electromagnetic fields have no independent degrees of freedom but serve only as records of interactions. They proposed that a current generates equal parts retarded and advanced waves. Consequently, the waves generated by the current do not radiate energy outward. In other words, the advanced wave replenishes the energy lost by the retarded wave. Wheeler and Feynman believed that Maxwell’s classical electromagnetic theory had fundamental issues, and thus, electromagnetic fields are not real but merely records of interactions. However, they also acknowledged that despite the problems with Maxwell’s electromagnetic theory, they had not found a better alternative, and solving electromagnetic problems still required Maxwell’s equations. Although the author does not support Wheeler and Feynman’s claim that the advanced wave replenishes the energy lost by the retarded wave, the author agrees with their idea that a current generates equal parts retarded and advanced waves. The author believes that the energy lost by the retarded wave cannot be compensated by the energy absorbed by the advanced wave. Instead, the energy lost by the retarded wave is sent back to the source J1 by a mysterious wave, and the negative energy lost by the advanced wave is also sent back to the sink J2 by another mysterious wave. This mysterious wave is the time-reversed wave. Thus, the author proposed the concept of time-reversed waves, whose role is wave reverse collapse. The schematic diagram below illustrates replacing wave collapse with wave reverse collapse and mutual energy flow, as shown in Figure 7.
Figure 7: Assume there is a current element J1, which emits electromagnetic waves propagating in all directions. However, suddenly, the wave returns to the source J1. Between the light source and the light sink, mutual energy flow is generated. This mutual energy flow originates at the source and annihilates at the sink. The combination of reverse collapse and mutual energy flow constitutes wave collapse.
The Mutual Energy Theorem as an Energy theorem
The Mutual Energy Theorem, also known as Welch’s time-domain reciprocity theorem [12] (1960), is closely related to energy conservation. It differs from the author’s proposed Mutual Energy Theorem [13, 14, 15] only by a Fourier transform. This theorem is fundamentally connected to energy.

The above equation is also Rumsey’s New Reciprocity Theorem (1963) [16]. Thus, these three reciprocity theorems and the Mutual Energy Theorem are interconnected through Fourier transforms, forming a unified physical theorem.
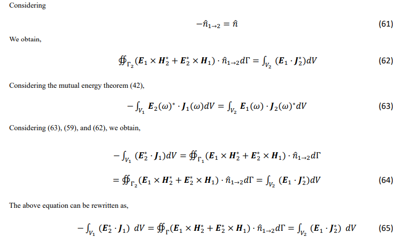
Conclusion 1: The Above Three Theorems are Sub-Theorems of the Poynting Theorem



The above equation is equivalent to (40), thus proving it. Hence, we have proven the mutual energy theorem from Poynting’s theorem. Therefore, the mutual energy theorem (Welch’s reciprocity theorem, Rumsey’s reciprocity theorem, Hoop’s reciprocity theorem) is indeed a sub-theorem of Poynting’s theorem and thus an energy theorem. In other words, all types of energy reciprocity theorems [12, 16, 17, 13, 18], which are mutual energy theorems, are indeed energy theorems because they can be considered sub-theorems of Poynting’s theorem.
Readers might ask, what is strange about the mutual energy theorem being an energy theorem, and why spend time proving it? In fact, until today, not all in the scientific community recognize the mutual energy theorem as an energy theorem, and many still consider it a reciprocity theorem only. This is because in the mutual energy theorem and Welch’s time-domain reciprocity theorem, there are two fields, ξ1 = [E1, H1] and ξ2 = [E2, H2], where one is a retarded wave and the other is a advanced wave. Most scientists and engineers currently do not accept advanced waves, considering advanced waves as a virtual physical quantity. When a physical quantity within a theoretical formula is considered virtual, the formula can only be regarded as a reciprocity theorem. Therefore, although our proof above is indeed correct, it is still difficult to convince many people. This is because the author supports the views of Wheeler-Feynman absorber theory [5, 6] and Cramer’s transactional interpretation of quantum mechanics [8, 9], which regard advanced waves as objectively real. Only when everyone unifies the view that advanced waves are objectively real can Welch’s time-domain reciprocity theorem and Zhao’s mutual energy theorem be properly regarded as energy theorems.
Proof of the Mutual Energy Flow Theorem
In 2017, the author proposed the mutual energy flow theorem [20]. For two current elements, one as a source and the other as a sink, the following mutual energy flow theorem exists, as shown in Figure 8,

Figure 8: There is a source J1, in red, and a sink J2, in blue. Any surface that can separate the two currents, Γ1, Γ, Γ2, will have the same magnitude of energy flow passing through it. This is the mutual energy flow theorem.

Note that the surface integral on the left side is generally not zero. It is only zero if the surface encloses all current elements J1 and J2. In the above equation, the surface Γ is the boundary of the volume V. This boundary can be chosen arbitrarily. If we place J2 outside the surface Γ, as shown in Figure 9, we obtain,




Figure 12: Simulation of Mutual Energy Flow. The Reddest Areas Indicate that Mutual Energy Flow has Particle-Like Properties.

Figure 13: Simulation of mutual energy flow. This figure uses the size of the arrows to represent the magnitude of the energy flow density, so the longest arrows indicate the strongest particle-like characteristics.
From the three figures above, it is clear that mutual energy flow is generated at the source and annihilated at the sink. Mutual energy flow can indeed explain the so-called wave-particle duality. Mutual energy flow is generated at the source and annihilated at the sink, but in the middle of the mutual energy flow, it behaves more like a wave. The behavior of mutual energy flow is completely different from that of the self-energy flow corresponding to the Poynting vector. Past classical electromagnetic theory only discussed the self-energy flow corresponding to the Poynting vector, which only produces and does not annihilate, and thus cannot explain particles.
The Mutual Energy Theorem can further be developed as the Law of Energy Conservation
Below, the author presents a proposition: Welch’s reciprocity theorem (mutual energy theorem) is the law of energy conservation. This assertion is even stronger than the previously mentioned statement that Welch’s time-domain reciprocity theorem is an energy theorem. Welch’s reciprocity theorem is not only an energy theorem, and thus can be called the mutual energy theorem, but it is also the law of energy conservation. Furthermore, considering the mutual energy flow theorem, Welch’s time-domain reciprocity theorem is a localized energy conservation law. Below, we prove this in the context of a transformer.
Under Transformer Conditions

We prove this under transformer conditions, as shown in Figure 14. The mutual energy theorem is the law of energy conservation. Under transformer conditions, we know that the input power of the transformer’s primary coil is equal to the output power of the transformer’s secondary coil, that is,


The above equation confirms that under transformer conditions, the mutual energy theorem (42) is the law of energy conservation. Note that we treat the input power of the primary coil being equal to the output power of the secondary coil in an ideal transformer as an experimental fact. That is, we have obtained experimental support that Welch’s reciprocity theorem and Zhao’s mutual energy theorem are energy conservation laws. Note that the transformer satisfies the quasi-static magnetic electromagnetic equations. Therefore, we have experimentally proven under quasi-static conditions that Welch’s reciprocity theorem and Zhao’s mutual energy theorem are energy conservation laws.
Between Light Source and Screen

Figure 15: Emission and reception system of light. There are two atoms: one is a radiating atom, and the other is an absorbing atom. The electron in the radiating atom is in a high energy level and jumps to a lower energy level, emitting a photon. An electron in the absorbing atom is in a low energy level and absorbs a photon’s energy, jumping to a higher energy level.
Assume there is a light source containing a luminous atom. An electron in this atom jumps from a high energy level to a lower energy level, producing a photon. This photon is received by a distant screen containing an atom. An electron in this atom absorbs the photon and jumps from a low energy level to a higher energy level. In this scenario, the motion of the electron in the radiating atom jumping from a high energy level to a lower energy level constitutes the current J1. In the absorbing atom, the electron jumping from a low energy level to a higher energy level constitutes the current J2. We know that the energy output by the first atom is equal to the energy received by the second atom, that is,

which is Zhao’s mutual energy theorem (40). It can be seen that Welch’s time-domain reciprocity theorem and Zhao’s mutual energy theorem also represent the law of energy conservation in the light source and screen system environment. Note that here we have obtained this energy conservation law in the light source and screen environment. Therefore, it can be considered an experimental fact. In other words, we have experimentally proven at higher frequencies, namely in the light wave band, that Welch’s time-domain reciprocity theorem and Zhao’s mutual energy theorem are energy conservation laws. This means that Welch’s time-domain reciprocity theorem and Zhao’s mutual energy theorem can be used to describe the emission and absorption of photons.
According to Maxwell’s Electromagnetic Theory
According to Maxwell’s electromagnetic theory, the mutual energy theorem is at most an energy theorem, and not the law of energy conservation. This is very puzzling.
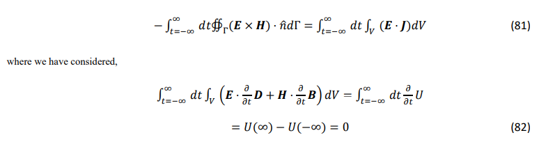
The author discovered that the mutual energy theorem under transformer conditions and in the light source-screen environment both represent the law of energy conservation. Therefore, it is concluded that the mutual energy theorem always represents the law of energy conservation under any conditions. Consequently, there is a desire to prove from Maxwell’s equations that the mutual energy theorem is the law of energy conservation. However, this attempt failed [20]. Below, we revisit this process. Previously, we have proven that the mutual energy theorem is an energy theorem. In this proof, The author used the method of subtracting equation (46) for i = 1 and i = 2 from equation (45). If we want to prove that the mutual energy theorem is the law of energy conservation, this method of proof becomes invalid. We need to find another path. We still start from Poynting’s theorem and perform a direct time integration on Poynting’s theorem (43),



This way, we can establish that the above equation is the law of energy conservation. Previously, in (51), we have already proven equation (90). Therefore, the key is to prove equations (89) and (88). However, equations (89) and (88) are exactly the time-integrated Poynting’s theorem,

We know from existing antenna radiation theories that both of these terms are not zero. Therefore, according to Maxwell’s electromagnetic theory, we cannot prove that the mutual energy theorem is the law of energy conservation!
The Author Believes the Mutual Energy Theorem Must Be the Law of Energy Conservation Equation
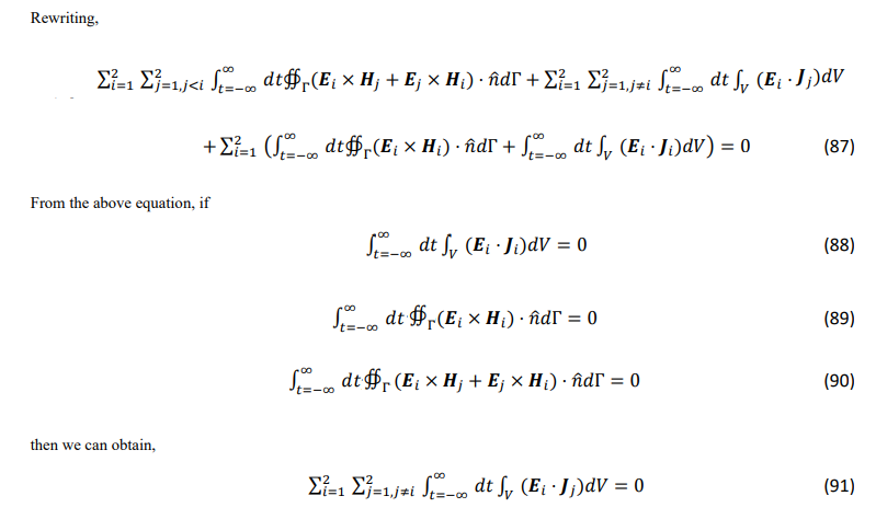
(52) can be extended to N,

Figure 16: There is a source current J1. Additionally, there is a sink current J2. Suppose the source J1 transfers energy to the ether, and the ether transfers energy to the current J2. A portion of the energy is transferred to J2, and the remaining energy continues to be transferred to distant locations.
Is the above equation the law of energy conservation? This involves our understanding of the vacuum. Suppose we imagine that there exists an ether in the vacuum. The radiation source transfers electromagnetic energy to the ether, and electromagnetic waves propagate through the ether. When electromagnetic waves reach the sink (receiving antenna), a portion of the energy is transferred to the receiving antenna, and the remaining energy continues to be carried away by the ether to infinity. If this is the case, there will always be some energy transferred to infinity without being received by any material or absorbing body. In such a scenario, equations (92) and (93) represent only energy theorems, not the law of energy conservation, because they do not account for all the energy transferred from the source to the sink, as shown in Figure 16.
Another scenario is that the energy carried by electromagnetic waves propagates outward and is eventually absorbed by dust, planets, and receiving antennas. We can increase N to include these materials, thereby making equations (92) and (93) the law of energy conservation. The author believes the latter scenario is plausible. The former scenario is not plausible. The latter scenario falls under the action-at-a-distance theory, which is the theory of action and reaction with equal magnitude and opposite signs. According to this theory, without absorbers, such as the Earth, Moon, stars, and sun doesn’t shine. This view was proposed by Tetrode [2] and further emphasized by Wheeler and Feynman in their absorber theory [5, 6]. The author supports this view. Therefore, equations (88) and (89) hold, and consequently, equations (92) and (93) represent the law of energy conservation.
The fact that equations (88) and (89) hold implies that Maxwell’s electromagnetic theory is incorrect. Maxwell’s electromagnetic theory has a flaw.
Why does the author believe that equations (65) and (93) are the law of energy conservation? Because the two scenarios mentioned earlier have demonstrated that it is an energy conservation law: one is the transformer environment, and the other is the light source and screen scenario. One scenario is under quasi-static conditions with relatively low frequencies, and the other is in the light wave band with very high frequencies. However, in intermediate frequencies (electromagnetic wave radiation), the energy conservation law does not hold, which is illogical. Therefore, there must be an error in Maxwell’s electromagnetic theory!
Authors Electromagnetic Theory
Since Maxwell's electromagnetic theory has errors, we can first abandon Maxwell's own electromagnetic theory to replace it. The author first modifies the axioms of electromagnetic theory and proposes new axioms:
1. Radiation does not overflow the universe. Equation (89) holds, that is,

electromagnetic theory and propose the author's
Note that the author recently discovered that equation (96) does not need to be realized through time reversal, i.e., reverse collapsing waves, but can be achieved through reactive power [21, 22, 23, 24, 25, 26]. Specifically, this is achieved by maintaining a 90-degree phase difference between the magnetic field Hi and the electric field Ei of the electromagnetic wave, where i = 1,2.
The reverse collapsing scheme actually has a problem: the reverse collapsing waves of the retarded wave and the reverse collapsing waves of the advanced wave may form a time-reversed retarded wave and a time-reversed advanced wave. These two waves may combine into a time-reversed mutual energy flow. The time-reversed mutual energy flow may cancel out the normal mutual energy flow composed of the retarded and advanced waves. Therefore, an additional artificial condition must be imposed to ensure that the time- reversed retarded and advanced waves do not produce a time-reversed mutual energy flow. However, this condition is artificial and it is difficult to find a mathematical and physical scheme to achieve it. The key is that the author later discovered that when the electric and magnetic fields maintain a 90-degree phase difference, the mutual energy flow can be properly realized. The author successfully achieved mutual energy flows from the primary to the secondary of a transformer and from a dipole transmitting antenna to a dipole receiving antenna [21, 22, 23, 24, 25, 26, 28, 29].
Because Maxwell’s electromagnetic theory does not satisfy the axiom that radiation does not overflow the universe, we cannot directly combine this axiom with Maxwell’s equations, as this would result in an overdetermined system. Just as a system of two linear equations already has two equations, adding a third equation would overdetermine the system. To incorporate this new condition into Maxwell’s electromagnetic system, we must first relax Maxwell’s equations. We know that the two curl equations of Maxwell’s equations are:



Modification of Maxwells Electromagnetic Theory
The author has obtained a set of electromagnetic equations (Equations 107, 94, 108), which are the axioms of the author’s electromagnetic theory. These equations differ from Maxwell’s equations and are intended to replace Maxwell’s equations to derive more accurate electromagnetic field equations. However, this set of equations is not as easy to solve as Maxwell’s equations. Currently, this set of equations can only be solved experimentally, by determining a solution and substituting it into these equations. If it satisfies the equations, it is a solution; if not, it is discarded. This is an experimental method of solving, which is still inefficient.
Therefore, we still proceed from Maxwell’s equations to obtain a set of solutions, and then appropriately modify these solutions to satisfy the author’s proposed equations (107, 94, 108).
How to derive the author’s solutions from the solutions of Maxwell’s equations? The author proposes the following two principles:
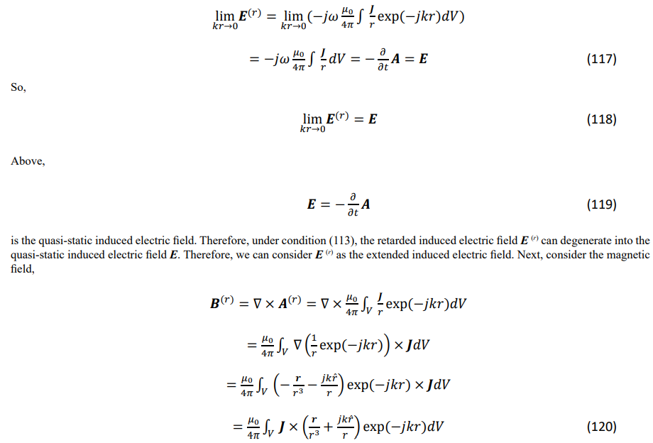
The Radiating Electromagnetic Field Should Degenerate into a Quasi-static Electromagnetic Field as kr → 0





Considering the Retarded of Fields Instead of the Retarded of Potentials
Maxwell’s electromagnetic theory first considers the retarded of potentials and then calculates the electric and magnetic fields from the retarded potentials. This theory is a theory based on retarded potentials. The author’s theory, in contrast, is not based on retarded potentials but on retarded fields. We observe that equation (124) is indeed a theory based on retarded fields. Conversely, equation (120) is derived from the theory based on retarded potentials.

Every Current Produces Half retarded Waves and Half advanced Waves
Following Wheeler and Feynman’s absorber theory, the author inherits the belief that every current simultaneously produces retarded waves and advanced waves. To ensure that retarded waves and advanced waves are produced simultaneously without canceling each other out at the current surface, we observe that in equations (126) and (124), the advanced and retarded waves are simply superimposed without cancellation as kr → 0. This kind of magnetic field satisfies this condition. In contrast, the magnetic fields in equations (120, 125) partially cancel out as kr → 0, thus not satisfying this condition.
Corrections to Maxwells Electromagnetic Theory



where σ is the area enclosed by the curve C and nÃÂ?? is the normal vector of the area element σ. We see that the curl is defined as some average value over the loop C. The original definition of the magnetic field is defined by the straight-line current element I2 dl2. These are different, and only by coincidence are they equal under the magnetic quasi-static condition. This is because under the magnetic quasi-static condition, the average magnetic field measured along the loop is the same as the magnetic field defined by the straight-line current element in equation (127). However, for electromagnetic waves, the average magnetic field measured along the loop is different from the magnetic field measured along the straight-line current element! In fact, Maxwell’s equations should be written as:

Here, the superscript (r) denotes retarded, (a) denotes advanced, the subscript n denotes near field, and f denotes far field. Thus, the corrections to the retarded and advanced waves are different: retarded waves are corrected with a (-j) factor, and advanced waves with a (j) factor. Moreover, only the far field requires correction. The near field does not require correction! The correction to the far field only involves adjusting the phase of the magnetic field.
New Definition of Magnetic Field
Since defining the magnetic field through the vector potential is incorrect, we should redefine the magnetic field. The first thought is to define the magnetic field according to Poynting’s theorem.
Defining the Magnetic Field via Poynting’s Theorem
For electromagnetic field problems where energy flow appears, such as energy flow from the primary to the secondary of a transformer or energy transmission from a dipole transmitting antenna to a dipole receiving antenna, it seems that we can use the Poynting vector to define the magnetic field. As long as we measure the value of the Poynting vector S and the value of the electric field E, we can consider the following equation,

Given that E and S are known, we can solve for the unknown H. However, often we do not know S and need to determine the Poynting vector based on the electric and magnetic fields, which means we usually need to calculate the Poynting vector from the electric and magnetic fields. Therefore, the above proposed method is not easy to implement. Nevertheless, this method still has educational significance.
Defining the Magnetic Field via Mutual Energy Flow
Density Since the Poynting vector approach is not feasible, can we consider using mutual energy flow energy flow density, that is, a mixed Poynting vector,


Examples of Defining the Magnetic Field via Mutual Energy Flow Density

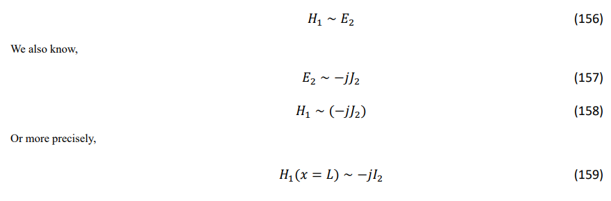
Figure 17: H1 is the magnetic field to be measured. This magnetic field is produced by current J1. Assume the electric field E1 is known as an electromagnetic wave. We use a current I2 to measure H1, assuming the direction of I2’s current is along -z. The direction of the electric field is along -z The direction of the magnetic field is along y.


Therefore, considering equations (154, 155), we conclude that the electric field and magnetic field of an electromagnetic wave always maintain the same phase difference of 90 degrees, that is, j.
This is different from the conclusion in Maxwell’s electromagnetic theory, where the electric and magnetic fields of electromagnetic waves are in phase. According to the author’s electromagnetic theory, the electric field and the average magnetic field H¯ over a small loop are in phase, not the true magnetic field H. The phase difference between the electric field E1 and the true magnetic field H1 is 90 degrees! Moreover, in Maxwell’s electromagnetic theory, the phase relationship between the electric and magnetic fields is not always consistent. Initially, the electromagnetic field is in the near field, where the phase difference between the electric and magnetic fields is 90 degrees. As the distance increases, the electromagnetic field transitions to the far field, where the electric and magnetic fields are in phase. The author found this perplexing while studying Maxwell’s electromagnetic theory: in the near field, the electric and magnetic fields have a 90-degree phase difference, but in the far field, they become in phase, which is very strange. Now, it is finally understood that the correct conclusion is that the electric and magnetic fields always maintain a 90-degree phase difference.
It is worth mentioning that even in Maxwell’s electromagnetic theory, the mutual energy theorem holds; however, the mutual energy theorem is not the law of energy conservation. Therefore, within Maxwell’s electromagnetic theory, we should still be able to define the magnetic field using the method in this section. However, doing so within Maxwell’s electromagnetic theory results in two different magnetic fields that contradict each other! Now, it is clear that the magnetic field in Maxwell’s equations is actually the average magnetic field over a loop. The magnetic field defined using mutual energy flow is the true magnetic field.
Measurement of the Magnetic Field
As for measuring the magnetic field, we can measure the magnitude and phase of J2 or I2. We are often concerned with measuring the phase of the magnetic field H1. Earlier, we have obtained that H1 and E2 are synchronized (equation 145), that is,

Thus, we can determine the phase of the measured magnetic field H1 by measuring the phase of the current I2. Note that in the author’s proposed magnetic field measurement method, the magnetic field is measured using a straight-line current rather than using a loop. In classical electromagnetic theory, it is often mentioned that the magnetic field is measured using a small loop. However, the small loop actually measures the average magnetic field H¯ over the loop. Under quasi-static conditions, the average magnetic field H¯ is equal to the magnetic field H. However, for electromagnetic waves, the average magnetic field measured over the loop is different from the true magnetic field H. According to the mutual energy flow density Sm, the magnetic field measurement method is implemented using a linear current element or a dipole antenna.
Summary and Outlook
This paper emphasizes the principle of action and reaction based on the reciprocity theorem in electromagnetic field theory, and the Action-at-a-distance principle in physical theory, ultimately merging them into a brand-new electromagnetic field theory proposed by the author [13, 14, 15, 20, 41, 42, 34, 35, 36, 37, 38, 39, 40, 21, 22, 23, 24, 25, 26, 27, 28, 29, 30, 31, 32, 33][19]. This new electromagnetic theory overcomes the serious errors of Maxwell’s electromagnetic theory and makes significant corrections to Maxwell’s electromagnetic theory.
It is worth mentioning that the principle of action and reaction, and the Action-at-a-distance principle discuss the same physical idea, namely that the source exerts an action on the sink, and the sink exerts an equal and opposite reaction on the source. This idea is completely different from the ether theory, where the source transfers electromagnetic wave energy to the ether, electromagnetic waves propagate through the ether, and upon reaching the sink (receiving antenna), a portion of the energy is transferred to the receiving antenna. Although the ether has been refuted, people still talk about electromagnetic waves propagating in the vacuum or in electromagnetic fields. In reality, the vacuum or fields play the same role as the ether. Before 2017, there were many debates between Maxwell’s ether theory and the Action-at-a-distance principle, but these debates remained at the philosophical level. No one provided a definitive test to determine which of these mutually canceling theories is correct.
The author proposed the mutual energy theorem in 1987 [13, 14, 15], which is the Fourier transform of Welch’s time-domain reciprocity theorem. Therefore, it might seem that the introduction of the mutual energy theorem does not have significant importance. However, the author realized that this theorem is an energy theorem, not just a reciprocity theorem, which was an advancement. The author faced strong criticism from peers for calling this theorem an energy theorem. These criticisms strengthened the author’s determination to clarify whether this theorem is indeed an energy theorem. Nearly 30 years passed before the author could return to this topic before 2017. The author quickly proved from Poynting’s theorem that Welch’s time-domain reciprocity theorem is a sub-theorem of Poynting’s theorem. Since the mutual energy theorem is the Fourier transform of Welch’s time-domain reciprocity theorem, it is also a sub-theorem of Poynting’s theorem. Everyone recognizes Poynting’s theorem as an energy theorem, so calling Welch’s time-domain reciprocity theorem an energy theorem seems reasonable. However, the problem lies in the fact that this theorem involves advanced waves. advanced waves are not widely accepted in the electromagnetic engineering community, which makes it problematic to refer to the mutual energy theorem or Welch’s time-domain reciprocity theorem as energy theorems.
The author spent time studying theories related to advanced waves, including the Action-at-a-distance principles of Schwarzschild, Tetrode, and Fokker [1, 2, 3], Wheeler and Feynman’s absorber theory [5, 6], Stephenson’s advanced wave theory [7], and Cramer’s transactional interpretation of quantum mechanics [8, 9]. These theories related to the Action-at-a-distance principle helped the author develop the belief that advanced waves are indeed physically real. Therefore, the author concluded that Welch’s time-domain reciprocity theorem and the mutual energy theorem proposed by the author (Zhao) are indeed energy theorems.
Building upon the mutual energy theorem, the author further established the mutual energy flow theorem around 2017. The author discovered that mutual energy flows have sharp ends and a thick middle, where the two ends resemble particles and the middle resembles waves. Mutual energy flow can be used to explain the wave-particle duality problem. The author believes that mutual energy flow essentially constitutes photons.
The author found that there are still significant differences between Maxwell’s classical electromagnetic theory and the concepts in quantum mechanics. The same electromagnetic waves that carry energy as waves in classical electromagnetic theory are probability waves in quantum mechanics. In classical electromagnetic theory, electromagnetic waves propagate indefinitely in the ether (or vacuum or electromagnetic fields). However, in quantum mechanics, these waves must collapse. The collapse of the wave constitutes a photon. The author believes that wave collapse is a qualitative theory, and there has not yet been a mathematical formula to describe the wave collapse process. However, the author discovered that wave reverse collapse combined with mutual energy flow can effectively explain wave collapse. Thus, the author introduced the concept of reverse collapse.
Reverse collapse can be described by time-reversed Maxwell’s equations, which is somewhat better than having no equations to describe wave collapse. However, there is still an issue: the time-reversed waves of the retarded and advanced waves may produce time-reversed mutual energy flows, which could potentially cancel out the normal mutual energy flows composed of retarded and advanced waves. Therefore, an artificial constraint must be added, requiring that the time-reversed retarded and advanced waves do not produce time- reversed mutual energy flows. This artificial constraint is difficult to provide a reasonable mathematical and physical explanation for. However, the key is that the author later introduced the concept of reactive power waves [21, 22, 23, 24, 25, 26], replacing time-reversed waves. The author believes that electromagnetic waves are reactive power, meaning that they do not transmit energy, and thus there is no need for wave collapse.
The concept that electromagnetic waves are reactive power contradicts Maxwell’s electromagnetic theory. Electromagnetic waves being reactive power means that electromagnetic waves do not overflow the universe because reactive power waves alternately transmit energy forward and backward, resulting in an average energy transmission of zero. The author believes that electromagnetic waves emitted by sources and sinks are reactive power waves, thereby satisfying the condition that electromagnetic waves do not overflow the universe.
The author discovered that the condition that radiation does not overflow the universe can be expressed by equations. This equation is the litmus test between Maxwell’s electromagnetic theory and the action and reaction, including the Action-at-a-distance principle. Maxwell’s electromagnetic theory does not satisfy the condition that radiation does not overflow the universe, whereas the author’s electromagnetic theory, based on the action and reaction and the Action-at-a-distance principle, does satisfy this condition.
The author elevated the condition that radiation does not overflow the universe to a new axiom of classical electromagnetic field theory. With an additional new axiom, Maxwell’s electromagnetic theory would certainly become overdetermined and thus have no solution. However, the author performed a relaxation process on Maxwell’s electromagnetic theory, specifically by performing a time integral on Poynting’s theorem, thereby effectively relaxing Maxwell’s equations. Due to this relaxation process, Maxwell’s equations release a degree of freedom, allowing us to incorporate the new axiom that radiation does not overflow the universe. This forms a new electromagnetic theory. This new electromagnetic theory produces electromagnetic fields that are naturally different from those in Maxwell’s electromagnetic theory. If the author’s new electromagnetic theory is correct, then the results of Maxwell’s electromagnetic theory must indeed be flawed.
Within Maxwell’s electromagnetic theory, the mutual energy theorem is merely a reciprocity theorem and at most an energy theorem. However, in the author’s electromagnetic theory, due to the new axiom that radiation does not overflow the universe, the mutual energy theorem becomes the law of energy conservation. Since the mutual energy theorem is expressed in language as action equal to reaction with opposite signs, the principle of action and reaction is thus referred to as the law of energy conservation. The author ultimately discovered that the definition of the magnetic field in Maxwell’s electromagnetic theory has limitations. Maxwell defined the magnetic field as the curl of the vector potential. This definition is only valid under quasi-static conditions. The author found that the curl of the vector potential actually represents the average magnetic field over a small loop, not the true magnetic field. However, by applying a phase correction to the far-field part of the average magnetic field, the true magnetic field can be obtained.
Thus, the two action theories finally converge into the author’s electromagnetic theory. The principle of action and reaction, along with the Action-at-a-distance principle, converge into the author’s electromagnetic theory, which is essentially a law of energy conservation. This law of energy conservation is also easy to understand. For an ideal transformer, it means that the input power of the transformer’s primary coil equals the output power of the transformer’s secondary coil. For a photon system, it means that the energy radiated by the emitting atom equals the energy absorbed by the absorbing atom, both corresponding to the energy of one photon. For transmitting and receiving antennas, the law of energy conservation means that the power emitted by the transmitting antenna equals the power received by the receiving antenna.
The error in Maxwell’s electromagnetic theory conceptually stems from the ether theory, which posited that the energy of electromagnetic waves emitted by transmitting antennas is first transferred to the ether, and electromagnetic waves propagate through the ether. Thus, when electromagnetic waves reach receiving antennas, only a portion of the energy is transferred to the receiving antennas, and the remaining energy continues to propagate through the ether, ultimately overflowing the universe. Therefore, the principle of action and reaction with equal magnitude and opposite signs cannot be satisfied.
It is worth mentioning that the error in Maxwell’s electromagnetic theory extends to quantum mechanics. The probability flow density in quantum mechanics and the Poynting vector in electromagnetic theory are both types of self-energy flows. The use of the Poynting vector to describe energy flow in Maxwell’s electromagnetic theory and the application of probability flow density in quantum mechanics are both self-energy flow theories. The probability density in quantum mechanics is consistent with the Poynting vector, making the same error. The probability flow density in quantum mechanics, as a self-energy flow, should be reactive power. If this probability flow density is reactive power, there would be no need to discuss wave collapse because, on average, the wave does not transmit energy and thus does not need to collapse. The author, imitating the corrections made to electromagnetic theory, also made corrections to quantum mechanics [19, 30]. First, the author established a quantity in the Schrödinger equation corresponding to the magnetic field in electromagnetic theory. The author then applied the same method of correction to this quantum mechanical magnetic field as was applied to Maxwell’s electromagnetic theory. After correction, the probability flow density became reactive power. Thus, the self-energy flow in quantum mechanics does not transmit energy on average, and there is no need to discuss wave collapse. This allows the establishment of mutual energy flows in quantum mechanics, which correspond to particles themselves in electromagnetic field conditions, these mutual energy flows are photons, corresponding to the wave of electrons, which are electrons.
Incidentally, the author states that mutual energy flows (corresponding to mutual energy flows in Maxwell’s equations and mutual energy flows in the Schrödinger equation) are particles. These mutual energy flows are generated at the source and annihilated at the sink. Therefore, mutual energy flows effectively describe the creation and annihilation of particles. This is something that self-energy flows, represented by the Poynting vector in classical electromagnetic theory and probability flow densities in quantum mechanics, cannot achieve. Self-energy flows only produce and do not annihilate. Mutual energy flows involve both production and annihilation. Speaking of production and annihilation inevitably brings up creation and annihilation operators in quantum mechanics. However, the creation and annihilation operators in quantum mechanics differ in meaning from the production and annihilation discussed here. The author discusses the motion process of a particle using mutual energy flows. A particle is created at the source, then flows through all surfaces that separate the source and sink via mutual energy flows, and finally annihilates at the sink. In quantum field theory, the creation and annihilation operators are mathematical recursion formulas. These recursion formulas add and remove entire particles. For example,when a positron and an electron collide, they annihilate to produce two photons. Here, one positron and one electron are annihilated, and two photons are produced. Before and after the process, energy and momentum conservation must be maintained. We can apply the annihilation operator to the positron and electron, causing them to disappear. However, we can also apply the creation operator to the vacuum to produce two photons. As long as the energy and momentum of the entire system remain conserved before and after the change, it is acceptable. In quantum mechanics, creation and annihilation involve entire particles, including their entire life cycle: creation, motion, and finally annihilation. The most important aspect is the creation or annihilation of such energy and momentum- bearing particles.
By the way, what are the solutions obtained from Maxwell’s equations and the Schrödinger equation? These solutions describe the motion processes of retarded and advanced waves. However, it is noteworthy that the waves obtained from Maxwell’s equations and the Schrödinger equation carry active power, which is incorrect. The correct retarded and advanced waves must be reactive power waves.
Therefore, the waves obtained from Maxwell’s equations and the Schrödinger equation are not entirely correct and require corrections. This correction involves adjusting the phase of the "magnetic field." As for what constitutes the magnetic field in the Schrödinger equation, refer to [19, 30]. Therefore, a deep understanding of the principle of action and reaction in electromagnetic theory, as well as the Action-at-a-distance principle in physical theory, aids in establishing the author’s entirely new electromagnetic theory.
References
- K. Schwarzschild. Nachr. ges. Wiss. Gottingen, pages 128,132, 1903.
- H. Tetrode. Zeitschrift fuer Physik, 10:137, 1922.
- A. D. Fokker. Zeitschrift fuer Physik, 58:386, 1929.
- P. A. M. Dirac. Proc. Roy. Soc. London Ale, 148, 1938.
- Wheeler, J. A., & Feynman, R. P. (1945). Interaction with the absorber as the mechanism of radiation. Reviews of modern physics, 17(2-3), 157.
- Wheeler, J. A., & Feynman, R. P. (1949). Classical electrodynamics in terms of direct interparticle action. Reviews of modern physics, 21(3), 425.
- Stephenson, L. M. (2000). The relevance of advanced potential solutions of maxwell's equations for special and general relativity.Physics Essays, 13(1), 138.
- Cramer, J. G. (1986). The transactional interpretation of quantum mechanics. Reviews of modern physics, 58(3), 647.
- Cramer, J. G. (1988). An overview of the transactional interpretation of quantum mechanics. International Journal ofTheoretical Physics, 27, 227-236.
- Lorentz, H. A. (1896). The theorem of Poynting concerning the energy in the electromagnetic field and two general propositionsconcerning the propagation of light. Amsterdammer Akademie der Wetenschappen, 4, 176.
- Rumsey, V. H. (1954). Reaction concept in electromagnetic theory. Physical Review, 94(6), 1483.
- Welch, W. (2003). Reciprocity theorems for electromagnetic fields whose time dependence is arbitrary. IRE Transactions on Antennas and Propagation, 8(1), 68-73.
- Shuang ren Zhao. The application of mutual energy theorem in expansion of radiation fields in spherical waves. ACTA ElectronicaSinica, P.R. of China, 15(3):88–93, 1987.
- Shuangren Zhao. The simplification of formulas of electromagnetic fields by using mutual energy formula. Journal of Electronics,P.R. of China, 11(1):73–77, January 1989.
- Shuangren Zhao. The application of mutual energy formula in expansion of plane waves. Journal of Electronics, P. R. China, 11(2):204–208, March 1989.
- Rumsey, V. (2003). A short way of solving advanced problems in electromagnetic fields and other linear systems. IEEE Transactions on antennas and Propagation, 11(1), 73-86.
- de Hoop, A. T. (1987). Timeâ?domain reciprocity theorems for electromagnetic fields in dispersive media. Radio science, 22(7), 1171-1178.
- Petrusenko, I. V., & Sirenko, Y. (2009). The lost “second Lorentz theorem” in the phasor domain. Telecommunications and Radio Engineering, 68(7).
- shuang-ren Zhao. Electromagnetic wave theory of photons: Photons are mutual energy flows composed of retarded and advancewaves. amazon, 2024.
- Zhao, S. R., Yang, K., Yang, K., Yang, X., & Yang, X. (2017). A new interpretation of quantum physics: Mutual energy flowinterpretation. American Journal of Modern Physics and Application, 4(3), 12-23.
- Zhao, S. R. (2023). Energy conservation law and energy flow theorem for transformer, antenna and photon. International Journalof Physics.
- Shuang ren Zhao. Energy flow and photons from primary coil to secondary coil of transformer. International Journal of Physics,11(1):24–39, 2023.
- Zhao, S. R. (2023). Calculate the energy flow of transformers, antenna systems, and photons by redefining the radiated electromagnetic field of plane-sheet current. International Journal of Physics, 11(3), 136-152.
- Zhao, S. R. (2023). Experiment to prove the existence of the advanced wave and experiment to prove the wrong definition of magnetic field in maxwell’s theory. International Journal of Physics, 11(2), 73-80.
- Shuang ren Zhao. Definition, measurement and calibration of magnetic field of electromagnetic wave – correct the defects of maxwell’s classical electromagnetic field theory. International Journal of Physics, 11(3):106–135, 2023.
- Zhao, S. R. (2023). Calculate the energy flow of transformers, antenna systems, and photons through a new interpretation of the classical electromagnetic fields. International Journal of Physics, 11(5), 261-273.
- Shuang ren Zhao. The radiation of infinite current sheets considering a half retarded and half advanced field rather than potential.Eng OA, 2(3):01–15, 2024.
- Zhao, S. R. (2023). Discussion on the correction of classical electromagnetic wave theory through transmission lines. International Journal of Physics, 12(1):1–18.
- Zhao, S. R. (2022). New law or boundary condition of electromagnetic wave theory: Radiation shall not overflow the universe. OAJ Applied Sci Technol, 2(1):01–46.
- Zhao, S. R. (2024). Particles are mutual energy flows and waves are reactive power without collapse. OA J Applied Sci Technol,2(2):01–22.
- Zhao, S. R. (2024). Prove that the half retarded and half advanced electromagnetic theory is equivalent to maxwell’s classicalelectromagnetic theory. Eng OA, 2(3):01–20.
- Zhao, S. R. (2023). Distinguish between the average magnetic field on a circular coil and the original definition of magnetic field,and correct the serious loopholes in classical electromagnetic theory. OA J Applied Sci Technol, 2(1):01–29.
- Zhao, S. R. (2024). Using the method of contradiction to prove that the definition of magnetic field in Maxwell's theory is incorrect.OA J Applied Sci Technol, 2(2):01–12.
- Zhao, S. R. (2021). Solve the Maxwell's equations and Shcrodinger equation but avoiding the Sommerfeld radiation condition.Theoretical Physics Letters, 10(5).
- Zhao, S. R. (2022). The theory of mutual energy flow proves that macroscopic electromagnetic waves are composed of photons.Iternational Journal of Physics, 10(5).
- Zhao, S. R. (2022). Mutual stress flow theorem of electromagnetic field and extension of newton’s third law. Theoretical Physics Letters, 10(7).
- Zhao, S. R. (2022). The Paradox that Induced Electric Field has Energy in Maxwell’s Theory of Classical Electromagnetic Field is Shown and Solved. International Journal of Physics, 10(4), 204-217.
- Zhao, S. R. (2022). The contradictions in poynting theorem and classical electromagnetic field theory. International Journal ofPhysics, 10(5), 242-251.
- Zhao, S. R. (2022). Energy flow and photons from primary coil to secondary coil of transformer.
- Zhao, S. R. (2022). Updating Maxwell's classical electromagnetic field theory with mutual energy theory of electromagnetic fields.
- Zhao, S. R. (2020). Photon can be described as the normalized mutual energy flow. Journal of Modern Physics, 11(5), 668-682.
- Zhao, S. R. (2021). Huygens principle based on mutual energy flow theorem and the comparison to the path integral. Physics Tomorrow Letters, 09-06.

