Research Article - (2025) Volume 8, Issue 4
Central Gravity Theory
Received Date: Sep 22, 2025 / Accepted Date: Nov 21, 2025 / Published Date: Nov 28, 2025
Copyright: ©2025 Liu Jinyong. This is an open-access article distributed under the terms of the Creative Commons Attribution License, which permits unrestricted use, distribution, and reproduction in any medium, provided the original author and source are credited.
Citation: Jinyong, L. (2025). Central Gravity Theory. Adv Theo Comp Phy, 8(4), 01-14.
Abstract
This study analyzes the application limitations of Newton’s law of gravitational force in the many-body problem and reveals the fundamental problems with the application of Newton’s gravitational formula in the current central configuration theory widely used in celestial mechanics. A new method suitable for the synthesis of gravitational vectors in many-body systems is proposed, and a new central gravity theory system is constructed accordingly. The proposed theory provides a concise framework for the dynamic modeling and analysis of complex celestial systems. Based on the many-body mechanical equation established by the central gravity formula, the analytical solution of the many-body problem was successfully solved, and an important theoretical breakthrough in this field was achieved in the field. It has been more than 300 years since Newton proposed the three-body and many-body problems. The central gravitational formula has undergone rigorous mathematical derivation and logical verification, and this formula now has theorem properties, marking the substantial progress of celestial mechanics. The theory of central gravity is expected to have a profound impact on the theoretical development of astrophysics.
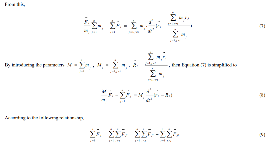
Keywords
Celestial Mechanics, Many-Body Problem, Central Gravity, Analytical Solution, Central Configuration
Introduction
In 1687, Isaac Newton proposed the law of gravitation for the first time in his systematic and seminal work “Mathematical Principles of Natural Philosophy.” Combining the three laws of motion, Newton constructed a complete theoretical system of classical mechanics. This system" laid a solid theoretical foundation for describing the motion of macroscopic objects and the dynamic behavior of astronomical bodies. In the field of celestial mechanics, the analytical solution of a two-body problem can be strictly derived based on Newton’s law of gravity. This type of solution shows a high degree of accuracy and consistency in orbit prediction and gravitational interaction analysis, which fully verifies the strong explanatory power and prediction ability of the theory within the scope of application.
However, in many-body systems involving the interaction of three or more particles, dynamical equations based on Newtonian gravity are often not solved using analytical methods. Therefore, researchers generally rely on numerical simulation methods to approximate the evolution of systems. Although these methods provide important insights into the evolution of chaotic orbits, orbital resonance mechanisms, and the long-term stability of star clusters and planetary systems, their reliability is limited by multiple factors. First, numerical computing is limited by available computing resources, and it is difficult to achieve extremely high accuracy and long-term scale simulation. Second, the high sensitivity of this system to the initial conditions leads to significant uncertainty in the results. Third, numerical errors inevitably accumulate in the integration process, and these errors affect the reliability of long-term evolution. More importantly, because most many-body systems do not have strict mathematical integrability, numerical simulations often lack clear analytical references, which results in the results being regarded as “black box” outputs.
In addition to the limitations of the calculation method itself, astronomical observations challenge the universality of Newton’s theory of gravity. The formation rates and the spatial configurations of large-scale structures of the universe, such as the distribution of galaxy clusters, the cosmic filament network, and the existence of large cavities, cannot be reproduced via the gravitational action of visible matter alone. In order to reconcile the deviation between the observed dynamic phenomena and theoretical expectations, modern cosmology has introduced non-baryon components such as dark matter and dark energy as supplementary hypotheses. Although these types of hypotheses bridge the gap between observations and models at the empirical level, they are based on inference and have not been supported by direct probe evidence. This situation not only reflects the issues with the modeling capabilities of the current gravitational theory in extremely complex systems but also highlights the need to develop a more universal dynamic framework based on first principles. It can be seen that although Newtonian gravity still has a high effectiveness for weak-field, low-velocity, and few- volume conditions, its theoretical application boundary has been limited in a many-body environment with strong nonlinearity and high-density coupling.
In the study of the behavior of particle systems with the general frame of reference, the authors identified a class of group dynamics patterns with collective motion characteristics, and the analytical solution path of the many-body problem was explored based on this. It was found that for the traditional gravitational framework, when the degree of freedom of the system increased, it was difficult to achieve the globally self-consistent expression of gravitational interaction, and it was difficult for existing theories to accurately describe the overall evolution law of many-body systems. This indicated that the gravitational calculation method relying on pair superposition had structural defects in high-dimensional coupling scenarios, and that it was urgent to establish a new gravitational description paradigm to break through the bottleneck of analytical solving. Based on this, this paper proposes the concept of “equivalent gravity” and further describes the derivation of a new gravitational model called the central gravity model. The model states that for any celestial system, the dynamic behavior of a single celestial body can be uniformly described by an equivalent gravitational field pointing to the center of mass of the system, thereby simplifying complex many-body interactions to equivalent single-body force field actions. Accordingly, in this work, the following is accomplished in turn: (1) The theoretical limitations of traditional gravity in many-body scenarios are systematically demonstrated; (2) The central gravity formula is established and strictly derived; (3) The analytical solution of the many- body problem is found in the framework of central gravity, and its theoretical validity and universality are verified.
The equation of motion of celestial bodies based on the central gravitational formula has an excellent mathematical structure. This mathematical structure significantly improves the solvability of the equation, and it can be used to obtain an analytical solution with a simple form and clear physical significance. The conclusions that are obtained are highly certain and theoretically self-consistent because the derivation process strictly follows the basic axiom system of classical mechanics and does not introduce additional empirical parameters or assumptions. The central gravitational theory achieves the promotion of Newtonian gravity in many-body systems in the form of a theorem, successfully overcomes the fundamental obstacles of traditional methods in analytical processing, and shows outstanding advantages in describing the collective motion of celestial systems. This theory not only provides new analytical tools for many-body problems but also provides a feasible path for the expansion of classical gravitational theory. This theory expansion is expected to promote the innovation of the research paradigm of celestial mechanics and inject new theoretical vitality into the development of basic physics.
Limitations of Newtons Gravity and Central Configuration Defects
In the study of classical many-body problems, a system of nonlinear differential equations is usually established by combining the gravitational formula with Newton’s laws of motion to seek a systematic solution. However, because the synthesis of gravitational vectors in the many-body case cannot be effectively simplified using classical analytical methods, the system is judged to be mathematically unintegrable. This paper argues that this fundamental limitation stems from the fact that Newtonian gravity does not satisfy the linear vector superposition principle in many-body systems. If a new gravitational synthesis mechanism can be introduced, it is possible to break through the limitations of the existing theoretical framework and provide a feasible path for the analytical solution of many-body systems.
The following sections discuss the systematic derivation of the theory and mathematical demonstration of the gravitational synthesis rule.
Considering the equation of motion for n celestial bodies with Newton’s gravitational force





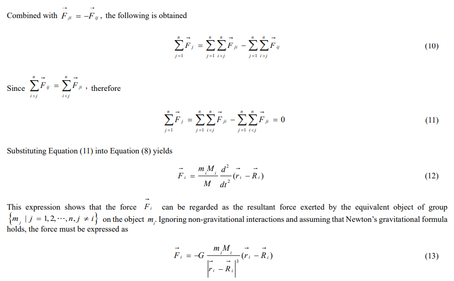
We have shown that this equation does not hold for the traditional vector addition rule, and it can even be regarded as a mathematical contradiction, which reflects the theoretical flaw of directly applying Newton’s gravitational formula to many-body systems. It is worth noting that the central configuration theory, which is an important theoretical system with a century-old history of research, has had a profound impact on the development of celestial mechanics. This theory was listed by the famous mathematician Steve Smale as one of the top ten mathematical problems of the 21st century, and it is based on the gravitational synthesis method used on the left side of the above equation. Therefore, if the classical vector operation rules are strictly followed, the foundation of the theory will be challenged, and many conclusions and specific examples may be invalid.
However, Equation (15) is based on the results of rigorous mathematical derivation based on Newton’s laws of motion and gravitation. If Newton’s system of mechanics itself is correct, and the law of gravity still applies in a many-body system, the physical interpretation of the equation must be revisited. In other words, it is necessary to introduce a new vector synthesis rule to ensure that the equation remains self-consistent for the modified theoretical framework. This paper proposes and formalizes the definition of this new gravitational synthesis rule.

According to this rule, Equation (15) is established. It can be proved that there is a unique central configuration solution for many-body systems with an arbitrary mass configuration and initial geometric configuration.
The concept of central gravity
Both Equation (2) and Equation (12) describe the gravitational force of a celestial body mi, and although these equations differ in mathematical form, this does not mean that there is a theoretical error. In fact, the two equations are physically consistent and can be verified using the same reference frame
<img src=" https://www.opastpublishers.com/scholarly-images/9976-6928426fa7ef8-central-gravity-theory.png" width="900" height="600">
The above derivation shows that in the center of mass inertial frame, Equation (12) can be reduced to Equation (2), thus confirming that the two equations are equivalent in this frame of reference.
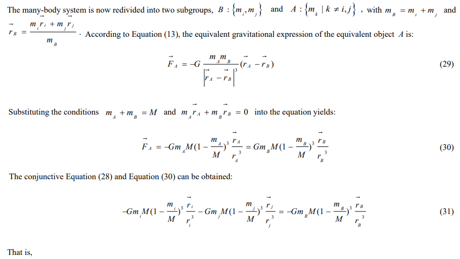
In view of the theoretical advantages of inertial frames in dynamic analysis, the expression of the gravitational resultant force of a celestial body mi in the center of mass inertial frame can be obtained by substituting Equation (19) into Equation (13)
<img src=" https://www.opastpublishers.com/scholarly-images/9976-692842becf786-central-gravity-theory.png" width="900" height="400">
This equation is the specific expression of the gravitational resultant force exerted by the other celestial bodies on the celestial body mi in the centroid coordinate system of the many-body system. The results show that the direction of the gravitational resultant force points to the center of mass of the system, which is equivalent to the gravitational force exerted by the center of mass of the system. Based on this, in this work, the gravitational effect derived from the centroid reference frame and directed to the center of mass of the system is defined as the central gravity.
The center of mass of a celestial system, also known as the gravitational center, represents the locus of maximum gravitational influence; this is a position that does not necessarily coincide with regions of peak mass density and may even reside in vacuum. Analogous to the equivalent electric dipole center in electromagnetism or the pressure center in fluid mechanics, the center of gravity denotes a functional rather than a material point. For instance, in a binary star system, the center of gravity lies in the matter-free space between the two stars, however, it governs the trajectories of surrounding test particles. In many-body configurations, this center dynamically adjusts in response to changes in mass distribution, exhibiting pronounced non-static feature.
Central gravitational sum rule




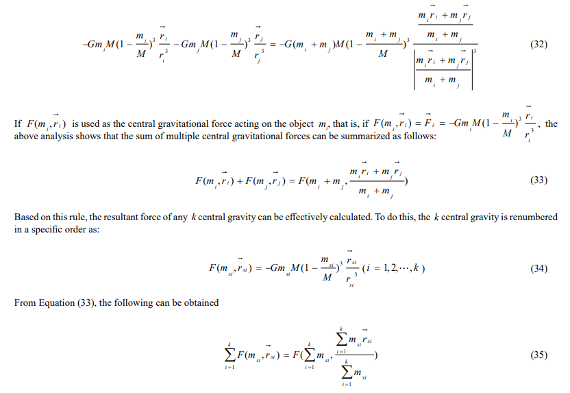
When studying a specific celestial subsystem, the central gravitational force of the whole can be calculated with this formula, and the dynamic behavior and the motion state of the subsystem can be further analyzed and judged accordingly.
Full Kinetic Energy and Full Potential Energy
With the theoretical framework of the central gravitational field, an independent equation of motion can be established for each celestial body according to Newton’s second law. However, even if an object has an independent equation of motion, it does not mean that its dynamic behavior is completely independent. From the perspective of the energy structure, the global interaction energy between a celestial body and the other celestial bodies constitutes the basic physical mechanism of the coordinated evolution of many-body systems


The above expressions are the kinetic and potential energy forms corresponding to the central gravitational field of the celestial body mi.
The kinetic energy of mi in the central gravitational field described in Equation (38) is defined as the total kinetic energy of the celestial body mi. Correspondingly, the potential energy of mi in the central gravitational field described in Equation (39) is defined as the total potential energy of the celestial body mi. This definition reflects the need for a systematic representation of energy in the centroid-of- mass inertial frame of reference.
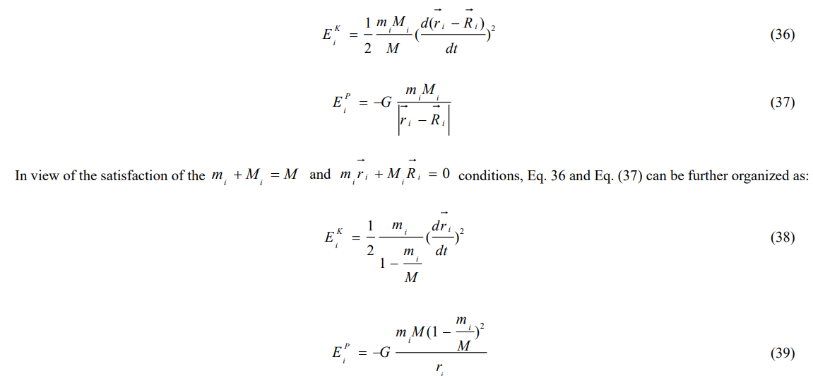
In the center of mass inertial frame, the equation of motion of the celestial body mi with the action of central gravity can still be

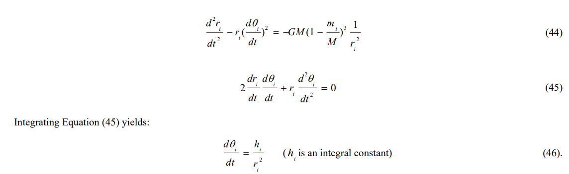
Celestial orbit equations and periodic formulas
The central gravitational theory provides a systematic method for constructing and accurately solving the motion equations of celestial bodies in an inertial reference frame, which significantly simplifies the process of many-body problems. This theory not only improves the solving efficiency but also makes the traditional research methods that rely on approximation models and complex numerical simulations redundant under certain conditions, thus opening up a new method for the analytical solution of many-body problems.
The following shows the analytical solution process of the many-body problem.
Considering a celestial system composed of n objects, letting the mass of the i th object be mi and the position vector in the coordinate


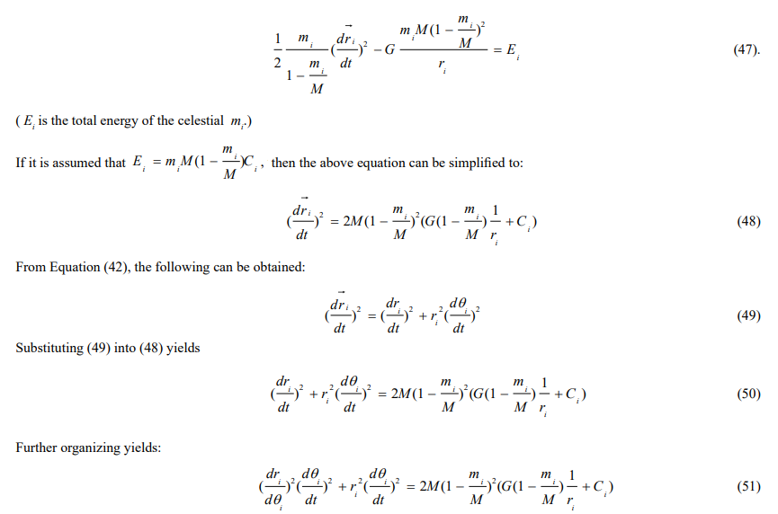
Combining the kinetic energy and potential energy expressions (38) and (39), and according to the law of conservation of energy, the following expression is obtained





By analyzing the orbital equations and the operating periods of celestial bodies, the analytical solution of the many-body problem has been successfully obtained. This achievement marks an important moment of progress in the theoretical exploration, more than 300 years after Newton proposed the many-body problem. The results show that the central gravitational theory has significant theoretical advantages in celestial mechanics. The in-depth development and widespread application of this theory are expected to reveal more laws of celestial motion and provide more solid and reliable theoretical support for astrophysics
Summary
This paper elucidates the limitations of Newton’s law of universal gravitation when applied to many-body systems, identifies theoretical inconsistencies that arise from the inappropriate extrapolation of Newtonian gravitational formulations within conventional central configuration theory, and introduces a refined operational framework for gravitational interactions in many-body environments. Within this framework, gravity is no longer conceptualized as a linear superposition of pairwise forces, but rather redefined as an equivalent field response that is determined by a system’s global structural configuration.
This research constitutes a major breakthrough in the study of gravitational theory. The central gravitational theory, founded upon Newton's laws of motion and the law of universal gravitation, has surmounted the long-standing theoretical bottleneck that has impeded the attainment of analytical solutions for many-body problems.
It has successfully resolved the core challenge of the non-integrability of many-body dynamics equations, thereby propelling theoretical advancements in celestial mechanics. The many-body dynamics equations derived from this theory have yielded the general analytical solution to many-body problems under general conditions. This accomplishment stands as a landmark achievement in the field of celestial mechanics over the more than three centuries since Newton first posed the many-body problem. The current central configuration theory, which occupies a crucial position in celestial mechanics, is less informative than the central gravitational theory in terms of theoretical completeness and scope of application. The former is grounded in the traditional Newtonian gravitational framework and is applicable only to specific geometric configurations and particular scenarios. In contrast, the central gravitational theory, as an extension and refinement of Newtonian gravitational theory, can be applied to many-body systems with any number of bodies and mass distributions, offering a universal analytical solution. Furthermore, in practical applications, the central configuration theory often overlooks the theoretical limitations of Newtonian gravitation in complex many-body environments, demonstrating a propensity for overgeneralizing the gravitational formula. Conversely, the central gravitational theory has undergone rigorous mathematical derivations and systematic verifications, ensuring logical precision and broad applicability at the theorem level. This theory enables the precise characterization of the gravitational structure of celestial systems and unveils the underlying mechanisms governing their stable operation.
Before the derivation of the exact solutions for the many-body problem, celestial mechanics primarily relied on approximate methods such as perturbation theory, mean-field approximations, and numerical orbit integration. However, the misapplication of Newton’s laws in strong gravitational fields leads to exponentially increasing prediction errors. In regions near galactic nuclei or in densely interacting many-body systems, conventional models frequently fail to accurately capture gravitational dynamics. This results in the introduction of hypothetical components such as dark matter and dark energy to reconcile theoretical predictions with observational data. While these constructs reduce certain discrepancies, they introduce additional assumptions that lack direct empirical validation, thereby increasing both model complexity and epistemic uncertainty.
Central gravity theory provides a coherent and systematic foundation for the evaluation and refinement of existing gravitational models in celestial mechanics. It also simplifies the treatment of many-body interactions, improves computational efficiency, and enables fully analytical solutions. Unlike computationally intensive numerical simulations, which often obscure underlying causal mechanisms, the central gravity approach yields closed-form solutions efficiently. This facilitates comprehensive parameter studies, stability analyses, and sensitivity assessments. Analytical solutions for specific classes of many-body systems have now been rigorously derived, challenging the long-standing assumption that these types of problems are inherently intractable. This advancement enhances scientific understanding of the scope and limits of classical mechanics and stimulates progress across related disciplines.
Thus, central gravity theory holds significant theoretical value and offers novel methodological tools for the advancement of celestial mechanics and associated fields. Potential applications include spacecraft trajectory optimization, deep-space navigation, galaxy formation modeling, and gravitational wave source analysis. As observational precision continues to improve and computational capabilities evolve, this theoretical framework is well-positioned for integration into mainstream astrophysics education and engineering practice, where it would serve as a critical bridge between classical mechanics and modern cosmology.
References
- Liu, J. Y. (2025). Rebellious science: Physics correction and innovation. Overseas Chinese Press, 36.
