Research Article - (2025) Volume 2, Issue 1
Causality in Maxwell’s Equations and the Creation of Electromagnetic Fields
2Institute of Science, Pedagogical A. Margulin University Pavlodar, Kazakhstan
Received Date: Feb 10, 2025 / Accepted Date: Mar 17, 2025 / Published Date: Mar 20, 2025
Copyright: ©©2025 Peter M. Enders et al. This is an open-access article distributed under the terms of the Creative Commons Attribution License, which permits unrestricted use, distribution, and reproduction in any medium, provided the original author and source are credited.
Citation: Enders, P. M., Kisabekova, A. A., Anafina, A. (2025). Causality in Maxwellâ??s Equations and the Creation of Electromagnetic Fields. Space Sci J, 2(1), 01-04.
Abstract
As well known, Maxwell’s equations in a vacuum can be transformed into two wave equations, the solutions of which are the electric and magnetic fields as a functional of arbitrary charge and current densities and first derivatives of them. Accordingly, Jefimenko and others have argued that the true sources of the electromagnetic field are the charge and current densities, while the electric and magnetic fields are independent of each other. On the contrary, Maxwell, Weyl, and others interpret Maxwell’s equations such that, in charge- and current-free regions, the electric and magnetic fields induce each other. As a matter of fact, Jefimenko’s arguing, (i), discards the advanced solutions (describing incoming fields), (ii), implies action at a distance, and, (iii), is derived from non-fundamental equations. In contrast, the mutual creation of electric and magnetic fields emerges from fundamental equations and is free of that artifacts.
Introduction
“Causality. . . is a basic concept in physics – so basic, in fact, that it is hard to conceive of a useful model in which effects do not have causes. Indeed, the whole point of a physical model could be said to describe the process of cause and effect in some particularsituation.” (P. Kinsler 2018 [1]. p. 1)
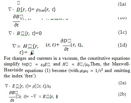
In standard notation and SI units, the Maxwell-Heaviside equations read (SI units; cf. [2,3].)


On Jefimenko’s and Similar Interpretations of EQS. (3)
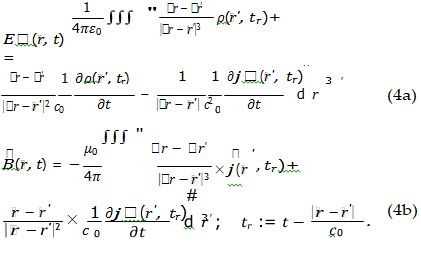
The retarded solutions of the wave equations (3) are [4].

“. . . neither Maxwell’s equations nor their solutions indicate an existence of causal links between electric and magnetic fields. Therefore, we must conclude that an electromagnetic field is a dual entity always having an electric and a magnetic component simultaneously created by their common sources: time- variable electric charges and currents. . . ” [5].
As a matter of fact, in the retarded solutions (4) of the wave equations (3), the values of the fields depend on earlier values of solely the charges and currents. This leads to the conclusion that the latter ones are the (only) causes of the former ones ([6]. p. 382). In particular, “. . . since each of these [Maxwell-Heaviside] equations connects quantities si- multaneous in time, none of these equations can represent a causal relation.” [5]. However, the following arguments speak against such interpretations
They do not apply to the advanced solutions. The latter ones are not nonphysical, do not violate the causality principle as they describe incoming fields [7].
2. They are drawn from non-fundamental equations. As a matter of fact, in contrast to the Maxwell equations (2), the wave equations (3) are not fundamental.
• They are derived from Maxwell’s equations (2).
• The Green’s function of them does not obey a Chapman- Kolmogorov equation which expresses Huygens’ principle, cf. [9,8].
3. If the field interaction is excluded, then the creation of electromagnetic fields in regions free of charges and currents is action at a distance. Despite Newton has stressed more than once the absence of action at a distance, that view discards the energy, momentum, and angular momentum carried by the field itself.
On the Mutual Creation of Electric and Magnetic Fields
According to Weyl, the principle of causality requires the basic equations to be in the form of partial differential equations of first order in time. Referring to Mie, he deals with the following subset of Maxwell’s [11] original equations (in nowadays notation) [10].


Summary and Conclusions
There are two different, actually excluding each other views on the causality in the prop- agation of electromagnetic waves at least in a vacuum.
The [non-fundamental] wave equations for the electric and magnetic fields (3) show that the fields are created solely by the charges and currents and thus independent of each other [5,6].
The fundamental eqs. (6) show the electric and magnetic fields mutually creating each other as illustrated in Figures. 1 and 2.
Kinsler has formulated the following causality criterion. The highest order of time derivative on the l.h.s [1]. should be higher than that of the r.h.s. Unfortunately, it applies to both the wave equations (3) and the evolution equations (6).
However, by virtue of the fact that the Maxwell-Heaviside equations (1) are fundamental (at least more fundamental than the wave equations, cf. also, the second view should be accepted and taught .
Acknowledgment
We feel indebted to Friedrich Wilhelm Hehl for useful comments and hints. These explorations have begun during the stay of one of us (PE) at the Pedagogical A. Margulin University Pavlodar, Kazakhstan. The collaboration and great hospitality over there are truly acknowledged. Moreover, he feels highly indebted to DeepL for providing translations as well as the members of Dante e. V. and many websites that generously support LaTeX users. Last but not least, this work would not have been possible without the numerous people in the internet which share their knowledge and make original texts accessible for free. The authors have no conflicts to disclose.
References
1. Kinsler, P. (2011). How to be causal: time, spacetime and spectra. European journal of physics, 32(6), 1687.
2. Maxwell, J. C. (1865). VIII. A dynamical theory of the electromagnetic field. Philosophical transactions of the Royal Society of London, (155), 459-512.
3. Heaviside, Electromagnetic theory, London, UK: Elibron Classics 2005; Vol. I, AMS Chelsea Publ. 2003 (Vol. 237, preface by E. Whittaker), Cosimo Classics 2007; Vol. II, London: “The Electrician” 1899,
4. Davis, N. O., Arakawa, E. T., Emerson, L. C., & Birkhoff, R. D. (1964). The Angular and Spectral Distributions of Light Emitted from Electron-bombarded Silver Foils (No. ORNL- 3485). Oak Ridge National Lab.(ORNL), Oak Ridge, TN (United States).
5. Jefimenko, O. D. (1999). A relativistic paradox seemingly violating conservation ofmomentum law in electromagnetic systems. European journal of physics, 20(1), 39.
6. Prykarpatski, A. K. (2014). Classical electromagnetic theory revisiting: The AM Ampére law and the vacuum field theory approach. Universal Journal of Physics and Application, 2(8), 381-413.
7. Ibison, M. (2006, October). Are Advanced Potentials Anomalous?. In AIP Conference Proceedings (Vol. 863, No. 1, pp. 3-19). American Institute of Physics.
8. Enders, P. (2009). Huygens' principle as universal model of propagation. Latin-American Journal of Physics Education, 3(1), 4.
9. Feynman, R. P. (1948). Space-time approach to non-relativistic quantum mechanics. Reviews of modern physics, 20(2), 367.
10. Weyl, H. (1918). Gravitation und elektrizität. Sitzungsber. Preuss. Akad. Wiss, 26, 465-478.
11. Maxwell, J. C. (2010). On physical lines of force. Philosophical magazine, 90(S1), 11-23.
12. MihailoviÄ?, D., Kapor, D., CrvenkoviÄ?, S., & MihailoviÄ?, A. (2023). Physics of complex systems: Discovery in the age of Gödel. CRC Press.
13. Hehl, F. W., Obukhov, Y. N., & Rubilar, G. F. (1999). Classical electrodynamics: A Tutorial on its Foundations. arXiv preprint physics/9907046.

