Review Article - (2025) Volume 3, Issue 8
Cables Scab, A Scientific Characterization of The Degradation of XLPE and HV/ HR-PVC Insulation Under the Influence of Ultraviolet Radiation and Excessive Mechanical Stress in An Environment Extremely Hostile to Polymers
Received Date: Jul 02, 2025 / Accepted Date: Jul 31, 2025 / Published Date: Aug 08, 2025
Copyright: ©2025 Ebenezer S Nyadjro, et al. This is an open-access article distributed under the terms of the Creative Commons Attribution License, which permits unrestricted use, distribution, and reproduction in any medium, provided the original author and source are credited.
Citation: Shtat, H. (2025). Cables Scab, A Scientific Characterization of The Degradation of XLPE and HV-PVC Insulation Under the Influence of Ultraviolet Radiation and Excessive Mechanical Stress in An Environment Extremely Hostile to Polymers. Eng OA, 3(8), 01-03.
Abstract
Excellent standard polymer-insulated resistive electrical cables suffer from outer layer deterioration due to excessive mechanical stress, which leads to damage to the jacket (the outer layer of the insulation). Prolonged exposure to ultraviolet (UV) radiation causes physical and chemical changes that affect the adjacent cables, compromising the reliability of the electrical system.
This paper presents a scientific and field description of a condition called "cable scab," a term that refers to a pattern of gradual surface deterioration affecting adjacent cables. This term does not cause immediate failure but rather represents an early indicator of critical deterioration. The concept is extended to include poor implementation during laying. The description is supported by a physical explanation using Einstein's photochemical breakdown equation, an analysis of the effect of UVA,B,C on XLPE and HR-PVC, and technical recommendations for inspection and treatment are provided.
Keywords
Cable Scab, Cable plague, Cable Pest, Tin Pest, Networks Insulation Collapse, Cable Testing
Introduction
Modern power distribution systems rely on cables with outer insulation layers made of polymers such as XLPE, HR-PVC, or both.
Despite their thermal and electrical advantages, these materials are susceptible to gradual deterioration in exposed environments due to prolonged exposure to ultraviolet radiation, as well as excessive mechanical stress during laying.
A field pattern of this deterioration has been observed, resembling scabies in terms of scaling and fragility. Therefore, it has been suggested that this phenomenon be termed "cable scab" as a diagnostic descriptor in field tests, similar to the globally recognized tin scab phenomenon.
Photochemical Breakdown – Einstein's Equation
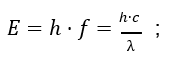
When polymer molecules absorb energy from UV photons, they may break the chemical bonds between the atoms, causing the polymer chain to break down over time. The photon energy depends on the wavelength and is calculated from Einstein's equation:

Photon Energy
Planck's Constant: h = 6.626 × 10-34 J.S
C: Speed of light in a vacuum = 3.00 × 108 m/s λ = wavelength. At 254 nm, the photon energy is about 4.89 electron volts (eV), which is sufficient to break C–C and C–H bonds [1,3].
The Effect of Ultraviolet Rays on XLPE and PVC Insulation
XLPE
• Polymer chain breakdown → brittleness and loss of elongation
• Surface oxidation and formation of carbonyl groups
• Color change and gray spots
• Deterioration is often slow and delayed
Carbon black is used as a UV stabilizer to improve the resistance of XLPE [3]
• H||CL removal (dehydrochlorination) → yellowing and peeling
• Free radical formation → accelerated structural deterioration
• A sharp decrease in tensile strength and elasticity
Note that PVC is more sensitive to photodegradation than XLPE [4,5].
XLPE/PVC Comparison
PVC/XLPE Status
UV resistance to UVA, B, and C: Poor, Medium
Deterioration rate: Slow and delayed, rapid and visible
visible changes: Brittleness, gray spots, yellowing, peeling

Cable Scab
Definition and Comparison
Cable scab is a condition characterized by the gradual deterioration of the insulation of electrical cables, characterized by gradual peeling, discoloration, and brittleness without any immediate electrical failure.
Figure 1: A Picture of Insulator Being Damaged Due to Excessive Mechanical Tension and Extreme Heat, Which Is Beginning to Affect the Adjacent Cables
The phenomenon is similar in nature to Tin scab (Tin Pest), which transforms from a reactive material to a brittle one under stressful environmental conditions [6].
This term is extremely useful for physical and field characterization in maintenance programs.
Labaratory Testing and Analysis
• FTIR: Appearance of carbonyl (C = O) peaks and disappearance of CH and CHâ?? peaks
• Tensile Testing: 30–50% decrease in tensile strength
• Thermogravimetric Computed Tomography (TSCT) shows microcracks and surface corrosion structures
• These tests are used to distinguish cable scabbing from accidental or structural formality.
Service Life Modelling
Arrhenius Equation
The Arrhenius equation is used to calculate the deterioration rate:

• k: degradation rate
• A: reaction coefficient
• Ea: energy activation
• R: free-gas constant
• T: absolute temperature (Kelvin)
Cable Damage Due To Excessive Mechanical Tension And Poor Implementation
symptoms
• Tears in the outer jacket
• Unnatural creases or folds
• Changes in cable cross-section
Causes
• Excessive pulling forces
• Absence of rollers for pulling and tightening
• Insufficient lubricants
• Pulling on sharp corners or directly onto the ground
The Negative Results
• Sheathing exposed to moisture
• Possible partial or complete discharge (leakage or short circuit)
• Reduced cable life
Recommendations
• Monitor tensile forces during installation
• Use appropriate pulling heads and tension meters
• Perform insulation tests on all damaged cables.
• Cut and reconnect damaged areas according to international standards before operation.
• Prevent cables from being exposed to direct sunlight and rain.
• Include the term "cable Scab" as a visual and tactile field inspection indicator during performance tests each time.
• Train teams on safe cable pulling.
Classification of Cables Scab According to the Severity of the Condition
|
Classification |
superficial appearance |
Insulator color |
Recommendation |
|
Mild Effect |
Minor Peeling/Slight Roughness |
Pale Gray |
Periodic Monitoring |
|
Middle |
Small Cracks/Fragility |
Clearly Gray |
Tensile Test / FTIR |
|
Hardly |
Heavy Peeling/Tearing |
Dark/Charred |
Cut and reconnect |
Limitations and Data Restrictions (Study Limitations and Confidentiality Constraints)
Due to confidentiality agreements and company-level restrictions, access to detailed numerical data, case-specific photographs, and project identifiers was prohibited.
While this limitation reduced the extent of quantitative modeling and comparative analysis, the study focused on general field observations and scientifically established mechanisms supported by literature and controlled laboratory testing.
The absence of direct case citations does not affect the general validity of the “Cable Scab” phenomenon as a reproducible and observable condition in hostile environments. Further studies using anonymized datasets or simulations are recommended to deepen the statistical understanding of this deterioration mode.
Conclusion
This paper presents a scientific and field description of the condition of "cable scab," resulting from the effects of ultraviolet radiation and/or excessive mechanical stress in a hostile, high-temperature environment.
The physical and chemical mechanisms of deterioration are analyzed and linked to field practices, providing technical recommendations for prevention and early detection.
The concept of “cable scab” serves as an early visual and tactile indicator for insulation deterioration and can enhance preventive maintenance strategies in power systems.
References
- Einstein, A. (1905). On a heuristic point of view concerning the production and transformation of light. Annalen der Physik, 1-18.
- IEEE Std 400™-2012 – Guide for Field Testing and Evaluation of Shielded Power Cable Systems, IEEE, 2012.
- IEC 60502-1: Power cables with extruded insulation, IEC, 2009.
- ASTM D1248 – Standard Specification for Polyethylene Plastics, ASTM International, 2016.
- A. M. Costa, “UV-induced aging in cable insulation: Effects on morphology and mechanical performance,” Polymer Degradation and Stability, vol. 166, pp. 78–85, Jan.
- Rabek, J. F. (2012). Polymer photodegradation: mechanisms and experimental methods. Springer Science & Business Media.

