Research Article - (2025) Volume 8, Issue 4
A Physical Theory Based on Barycenter Reference Frames I: Principles of Particle Flow Fields
Received Date: Oct 13, 2025 / Accepted Date: Nov 10, 2025 / Published Date: Nov 28, 2025
Copyright: ©2025 Zhong Cheng Liang. This is an open-access article distributed under the terms of the Creative Commons Attribution License, which permits unrestricted use, distribution, and reproduction in any medium, provided the original author and source are credited.
Citation: Liang, Z. C. (2025). A Physical Theory Based on Barycenter Reference Frames I: Principles of Particle Flow Fields. Adv Theo Comp Phy, 8(4), 01-17.
Abstract
In this paper, a new theory of particle flow fields is introduced. Instead of using the point mass model and the inertial frame of reference, this theory is based on the elastic particle (real particle) model and the barycenter frame of reference. This article applies vector analysis to derive a complete set of field equations in a space permeated with moving particles. It reveals a comparable connection between mass quantity and electric quantity within the barycenter reference framework, thereby merging the interactions of gravitation and electromagnetism. The article argues that quantum randomness originates from the uncertainty associated with time and space measurement in barycenter frames. However, this uncertainty can be eliminated by the principle of measurement, thus leading to deterministic conclusions. The proposed theory provides unique solutions and interpretations for various fundamental physics problems, such as the structure of objects, the existence of dark matter, the nature of light, and the phenomenon of black-body radiation. Notably, the presence of a cosmic electron fluid challenges our conventional understanding of the physical world and has significant implications for existing physical laws.
Keywords
Barycenter Frame of Reference, Particle Flow Fields, Elastic Particles, Quantum Uncertainty, Electron Fluid, Unified Field Theory
Introduction
To describe the motion of an object, an appropriate frame of reference must be chosen, and the use of different frames of reference often leads to different theoretical frameworks. Ptolemy's astronomy, for example, utilized the geocentric reference frame, whereas Coper- nicus's astronomy employed the heliocentric reference frame. Newtonian mechanics initially relied on an imaginary absolute frame of reference (absolute space), but later transitioned to the comprehensible inertial frame of reference. At the beginning of the 19th century, Einstein invented the spacetime frame of reference by changing the definition of simultaneity, which created the special theory of rela- tivity and resulted in a paradigm shift from classical physics to modern physics. Because relativity theory intertwines time and space, its counter-intuitive ideas and conclusions are challenging for the general public to understand.
Newton believed that inertia is an intrinsic property of an object and is responsible for maintaining the object's movement in a straight line or at rest. In the context of an inertial frame of reference, an object that is not influenced by external forces will continue to move in accordance with its inertia [1]. However, in the presence of gravitational fields, there is no inertial system. To address this, Einstein introduced the concept of a curved space-time background through the equivalence principle. By applying the inertial principle, he formulated the general theory of relativity within this spacetime framework, also known as the local inertial frame [2]. Since there is no uniform linear motion in the gravitational field, there is no need to adhere to the inertial frame of reference. The laws of motion of objects in inertial systems have a simple form, but a complete theory of gravitation can only be established in non-inertial systems. In order to escape the limitations of inertial frames, the author proposes a novel theory based on the barycenter frame of reference [3-8]. This theory, which differs from classical and modern physics, is an axiomatic system that redefines five fundamental concepts of physics: object, particle, motion, space and time. This paper develops the theory of flow fields using the barycenter frame of reference, elucidates the laws governing the motion of real-particle fluids, and provides original analyses and interpretations of several fundamental problems in physics.
Classical mechanics, electrodynamics, relativistic mechanics and quantum mechanics are four different theoretical frameworks in the history of physics. Starting from the first principle thinking, real-particle theory based on the barycenter reference frame introduces a new paradigm that integrates several theories into a unique discourse. In order to facilitate and improve the communication, the reader needs to be aware of some novel concepts as well as updated terminology to alleviate the conceptual conflicts caused by incommensu- rability [9].
Foundations of Flow Fields
Postulates
There are five postulates in the real particle theory. I. Object: the object is composed of finite discrete real particles with a nested structure. II. Real particle (r-particle): the real particle is an object that has the attributes of mass, volume, and elasticity. III. Real space (r-space): the real space is the dimension in which objects exist. Without space, there are no objects. The r-space is three-dimensional Euclidean and is permeated with moving r-particles. IV. Real time (r-time): the real time is the dimension in which objects move. Without time, there is no motion. The r-time is irreversible in one dimension. V. Motion: objects interact with each other and are in constant motion.
Modern physics considers the continuous field as the original form of matter and the discrete particles as the excited form of the field. According to classical fluid mechanics, discrete particle fluids can have their motion described by a continuous velocity field through the continuum hypothesis. Real particle theory holds that discrete particles are the original constituents of an object, and that the continuous field is a mathematical tool invented by humans to describe the discrete particle systems. The theory of particle flow fields transforms discrete particle distribution into continuous potential field by integral transformation, thus realizing the unity of field theory based on a unified form of matter.
The particles in Newtonian mechanics are point masses. A point mass has only mass, no spatial extension, and is a simplified model of actual objects. Objects have not only mass but also spatial structure. The real particles that make up an object are hierarchically nested, correlated, and in constant motion. The subversive aspect of real particle theory is the replacement of the point-mass model with the real object model. With respect to the center of mass (barycenter) of an object, the motion of the object consists of three modes: translational, rotational, and vibrational. The translation mode is the displacement of the object's barycenter, the rotation mode is the fixed-point rota- tion of the object about its barycenter, and the vibration mode is the radial oscillation of particles within the object relative to the bary- center. Each motion mode has three degrees of freedom, and an object has a total of nine degrees of freedom. The translation mode of the object's barycenter (the point mass) is called the orbital motion. A steady orbital motion can be further decomposed into three states: circulational, pulsational, and nutational. The circulation state is the revolution of the point-mass along a planar circle, the pulsation state is the radial oscillation with respect to the center of the circle, and the nutation state is the normal wobbling with respect to the plane of the circle. This paper proves that the theory of particle flow fields determines the interaction of particles. The theory of particle dynamics will demonstrate that the orbital motion of the particle is governed by the forces of flow fields [10].
Concepts
Measurable Space
According to postulates III and V, the real space is filled with moving particles (objects) and there is no absolutely empty space. As shown in Figure 1a, the real space can be divided into a measurable space and an unmeasurable space. Send a signal from the observation site O at a speed of c, and after a time interval tm, the signal reaches a spherical surface Sm with a radius of Rm = c . tm. The space inside Sm (r0 ≤ Rm) is called the measurable space, and the space outside Sm (r0 > Rm ) is called the unmeasurable space.
Figure 1: (a) Measurable Space and Unmeasurable Space. (b) System and Surrounding, Space Cells and Fieldsons
The observation site O is a reference point for determining the structure of space and time. The simultaneity of measurable space is stipulated by the following protocol. Send a signal of t0 = 0 from site O, and set the time to t = r0 ⁄ c at the distance of r0 (r0 ≤ Rm ). In practice, synchronous signals are transmitted using electromagnetic waves at a rate of c = 2.99792458× 108 m/s.
Measurable space is a time-synchronized, observer-centered, three-dimensional spherical real space. The aim of defining the measurable space is to confine the spatial extent of quantitative investigation and introduce the barycenter frame of reference along with the notion of actual quantity. The flow field theory using the barycenter frame of reference is characterized by its finiteness and quantization.
Fluid Systems
A fluid system is defined as a subset of the measurable space. As shown in Figure 1b, let S be an arbitrary closed surface within the measurable space. All particles contained in S are called the fluid system, and the space outside S but inside Sm is called the fluid sur- roundings. The system and its surroundings can transfer momentum and energy across the interface.
Let the mass of fluid particles be M and the total number of particles be N, then the fluid has the total mass M = ∑Ni=1.Mi The fluid system can be regarded as an object with mass, volume and deformation properties, and its spatial state can be described by the position, profile and posture [5].
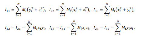
The position state of an object is characterized by the position vector of the barycenter. Considering the object as a point mass system, the position vector of a particle in the Cartesian coordinate system is ri = (xi , yi , zi), and the position vector of the object's barycenter, rc = (xc , yc , zc), can be expressed as follows


The inertia matrix is a third-order real symmetric matrix. According to the linear algebra theory, the inertia matrix has three positive eigenvalues {I1, I2, I3} and three orthogonal eigenvectors {e1, e2, e3 } [11]. The eigenvalues are the principal inertias, which is used to characterize the profile. The eigenvectors represent the inertial principal axes, which is used to characterize the posture. The three motion modes of the object (translation, vibration and rotation) correspond to the temporal changes in position, profile and posture, respectively.
Considering a fluid system as an object is a holistic view. In order to describe the motion of the particles inside the fluid and to include the interactions with the surroundings, a field-theoretic view must be adopted. In this paper, a theory of particle flow fields is developed based on the barycenter frame in the measurable space.
Reference Frames

A Cartesian coordinate system can be established in the barycenter frame of reference. The inertia matrix of the measurable space has three orthogonal eigenvectors, which are served as Cartesian coordinate axes. The barycenter frame of reference is associated with the observer frame of reference, which is confined to the measurable space, and thus they are both bounded frames of reference. Traditional reference frames (both global and local) are unbounded reference frames. The introduction of a bounded frame of reference facilitates the quantization of the flow field and makes it easier to find out the laws of fluid motion.
Quantization

Fieldons

Principles
Actual Quantities

Measurement Principle

Classical physics uses units to represent physical quantities, known as the unit system; real particle theory uses scales to represent physical quantities, known as the scale system. The difference between the two is that the units cannot change continuously, whereas the scales can change continuously. The scale covariance has been called the principle of measurement relativity and the principle of objectivity, both of which are based on the idea that units of measurement can vary continuously within physical constraints [12-14]. In this paper, we refer to relation invariance and scale covariance collectively as the measurement principle. The measurement principle is the central idea and mathematical foundation of real particle theory.
Scale Systems
The use of variable scales as physical units can be understood as a way to study low-dimensional physics in a high-dimensional mathe- matical space. In a real particle system, if there are P well-defined physical quantities, then the dimension of its mathematical parameter space is 2P. Constrained by physical relations, the number of independent scales (scale bases) is only three, and all other scales (derived scales) can be derived from the scale bases. The scale system, or unit system, is an important symbol that distinguishes modern physics from classical physics.

Calculation Rules
The measurement principle determines the rules of arithmetic for actual quantities


Equations of Flow Fields
Density Field

Continuity Theorem


Convolution Field


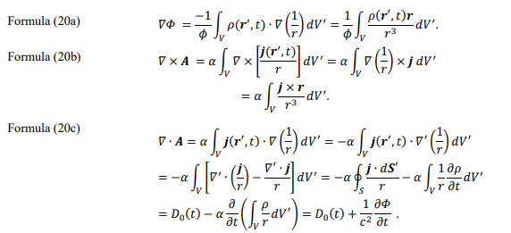
The significance of the action field can be identified from the scale: the gradient represents acceleration, while the divergence and curl indicate vibrational and rotational frequencies, respectively. Both gradient and curl are inversely proportional to the square of the dis- tance, and divergence is proportional to the change rate of the mass potential. The gradient formula is in the same form as Newton's law of gravitation and Coulomb's law of electrostatics, the curl formula is in the same form as the Biot-Savart's law for static magnetic fields, and the divergence formula is similar in form to the Lorenz gauge of electromagnetic fields. The D0 in the divergence formula is the boundary integration constant, which is a constraint on the exchange of energy between the system and the surroundings.
Energy Field


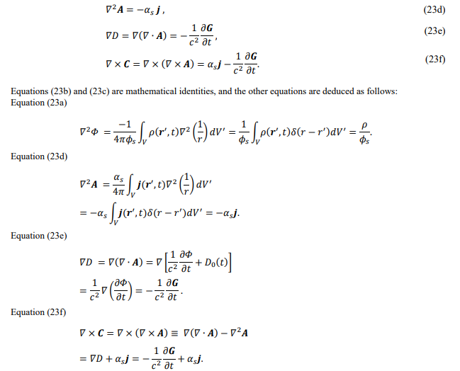
Convolution equations and electromagnetic field equations are alike in their forms. Eq. (23a) is similar to the Gauss theorem of electro- statics, and Eq. (23c) is similar to the Gauss theorem for magnetostatics. Eq. (23d) is comparable to Ampere law, Eq. (23e) is comparable to displacement current, and Eq. (23f) is comparable to Maxwell-Ampere law.
Action Equations


Motion Equation

Properties of Flow Fields
Unified Field
The theory of particle flow field assumes the existence of mass and momentum densities of particles in space, from which a complete set of field formulas and equations are derived. The density field is the original field, and the fields of velocity, convolution, action, energy, and force are all derived fields.
The fluid dynamics equation (27) covers the Navier-Stokes equation and Newton's laws of motion. It is the velocity equation with re- spect to the fieldon and can also be viewed as the equation of motion for a single real particle, which degenerates into Newton's laws of motion for particles under the zero-volume approximation.
The convolution equations (23) encompass Maxwell's equations for the electromagnetic field. When we view the gravitational and electrostatic forces as gradient forces, we can equate charge with mass, electric field with gradient, magnetic induction with curl, and electromagnetic field with divergence. Due to the coverage of attraction and repulsion in the convolution field, weak and strong forces can be attributed to the combined effects of gradient forces, curl forces, and divergence forces.
The action equations (24) can be compared to Einstein's gravitational field equation. In contrast to relativity, real particle theory restores the independence of time and space. However, the action field (G,C,D) is the counterpart of the metric field ( gμν ) and the change rate of the density field is the counterpart of the energy-momentum tensor ( Tμν ). In addition, the particle flow field, which realizes the quan- tization of space and time in the barycenter frame, can be classified as a non-probabilistic quantum field. It can be said that the particle flow field theory is a unified theory of fields.
Gradient Field

Curl Field


Object Structure
Postulates I and II define a nested structure of objects: Objects comprise real particles, and real particles are also objects. They have common attributes (mass, volume and shape), but they belong to different structural levels. The hierarchical nested structure of the object can be expressed by a family of particle sets [5,7].
Topson ⊇ Midson ⊇ Bason ⊇ Hidson

Dark Matter
According to the current theory of cosmology, galaxies are believed to be surrounded by a substance called dark matter, and the entire universe is filled with a form of energy known as dark energy. In the theory of flow field, the term “dark matte” refers to interstellar elec- tron fluid, while the term “dark energy" refers to the energy associated with their motion. Although the nature of this widespread electron fluid is unknown to humans, it constitutes the majority of the mass in the vast universe and exerts a hidden influence on the motion of observable celestial bodies and on the evolution of the cosmos.
We can estimate the density of dark matter. Sunlight that radiates to the Earth is a wave that passes through the electron fluid. Because the fluid background heavily influences the travel of the electron beam, the solar spectrum contains ultraviolet light and is cut off at X-rays. The boundary between ultraviolet rays and X-rays occurs at a wavelength of λc = 0.01μm. The volume of fieldons corresponding to this wavelength is λ 3 = 10-24 m3. Since a fieldon must contain more than one electron, the low bound on the number density is nc = λc -3 = 2 × 1024 m-3, and the lower bound on the mass density is ρc = nc Me = 1.82 × 10-6 kg . m-3. The ρ is much smaller than the mass density of air at standard atmospheric pressure (~1.2 kg.m-3). As a result, it is challenging for humans to perceive the existence of the electron fluid.
Let us estimate the mass of dark matter in the solar system. By considering the orbit of Neptune as the outer boundary, the radius of the solar system is denoted as Ro = 4.4984 ×109 km. Within this range, the mass of the electron fluid can be calculated as MD = (4 ⁄ 3)πR0 3 ρc = 6.94 × 1032 kg. Comparatively, the mass of the Sun plus the eight major planets is Ms = 1.9912 × 1030 kg. Consequently, dark matter in the solar system constitutes at least 99.7% of the total mass. Planetary motion has little impact on the barycenter of the solar system after taking into account the mass of dark matter.

Photon Properties
Lights are waves that travel in the electron fluid, and the electron fluid is the medium to transmit light. Although the mass density of the electron fluid is extremely small, people can perceive its existence through light waves. Photons are fieldons of the electron fluid, with mass, volume and elasticity. Photons are spatially localized and the displacement of their center of mass is less than the wavelength. Photons are related to each other through waves at the speed of light and there is no super distance action. In the process of transmitting light waves, photons are stimulated to vibrate and emit wavelets. The wavelets emitted by photons are spherical waves, which is the physical basis of diffraction optics.

It follows that low-frequency photons are large and soft, and high-frequency photons are smaller and harder. The properties of the elec- tron fluid are very similar to those of the gravitation aether or luminiferous aether: enormous density, but little mass; incompressible, but no resistance; ubiquitous, but hard to detect.
Black-Body Radiation
The energy levels of a photon are

Therefore, the elastic modulus of photons is equivalent to the energy density of photons in their ground state. The function that de- scribes the distribution of frequencies for U1 is given by

The above equation is known as the Planck radiation law. The coefficient a = 2π is determined by comparing it with the standard formula of the black-body radiation.
The findings of cosmological observation provide evidence that the Cosmic Microwave Background (CMB) is consistent with black- body radiation at a temperature of T0 = 2.72548 K [17]. Interpreting the CMB as the thermal equilibrium radiation of the electron fluid suggests that the density of the electron fluid is evenly distributed throughout the universe and that there is no overall motion. The uni- form density of the electron fluid is the underlying cause for the constant speed of light in the interstellar space.
Quantum Nature
In the flow field theory, a fieldon serves as the physical manifestation of quantum, and is the counterpart of fluid micelle in hydrody- namics. The fieldon contains many fluid particles and is not the smallest particle unit. In the electron fluid, for example, photons serve as fieldons, with a single photon of visible light containing approximately 105 electrons. In the statistical theory of real-particles, the quantum is represented by a cluster. A cluster is an object comprising a few number of particles. The translation mode of clusters displays particle-like behavior, the vibration mode exhibits wave-like behavior, and the rotation mode forms the basis for quantum spin.
The scales of space and time are uncertain in the barycenter frame of reference. This fact suggests that quantum unpredictability is not confined to the microscopic realm. Therefore, it is necessary to reconsider the interpretation of quantum mechanics.
Consider a cluster consisting of two stars with masses M1 and M2 (M1 > M2 ), identified as O1 and O2, respectively. Both stars revolve around their shared center of mass Oc with the same period (τ). In the barycenter frame of reference, the two stars have well-defined elliptical orbits expressed by polar coordinates (r, θ) as [18,19].


Conclusions
The real-particle theory is founded on a set of axioms, and the particle flow field theory, centered on barycenter reference frame, in- troduces a fresh paradigm. The particles in the new paradigm are elastic objects, and the uncertainty linked to the barycenter of these flexible entities leads to quantum randomness. However, this randomness can be eliminated by the measurement principle, showing that the laws of physics are deterministic and universal.
The high similarity between electromagnetic field equations and convolution equations shows that electromagnetic phenomena originate from the particle density field, and electromagnetic field is essentially the particle action field. The effect of the action field on the fieldon is expressed by the force field (gradient force, curl force, and divergence force), which should include four fundamental interactions (gravitational, electromagnetic force, strong force, and weak force). It is undoubtedly a important and urgent task to establish a dynamics theory by applying the principle of particle flow fields.
The flow field theory implies that the universe contains an electron fluid that serves as the medium for the transmission of gravitation and light waves. Photons, which serve as elements of flow fields, have a finite mass, a definite volume, and a specific shape. The thermal radiation of this electron fluid is responsible for the Cosmic Microwave Background (CMB). The uniform density of the cosmic elec- tron fluid, indicated by the black-body nature of the CMB, explains the constant speed of light. The electron fluid has huge density and compressive modulus, enabling it to transmit gravitation. In contrast, its mass density and shear modulus are extremely small, making it challenging to detect. However, the existence of the electron fluid can be truly felt through light waves and by its influence on the motion of celestial bodies. The existence of Cosmic Electron Fluid changes the form of existing physical laws and will overturn people's traditional knowledge of the physical world.
References
- Jin, S. N., Ma, Y. L. (2002). Theoretical Mechanics. Higher Education Press.
- Einstein, A. (2025). The meaning of relativity. Princeton, NJ: Princeton University Press.
- Liang, Z. C. (2020). Outline of real physics. Glob. J. Sci. Front. Res. A, 20(3), 9-27.
- Liang, Z. C. (2019, November). Modeling of real particles. In Journal of Physics: Conference Series (Vol. 1391, No. 1, p. 012026). IOP Publishing.
- Liang, Z. C. (2019). Motion, energy, and state of body particle system. Theoretical Physics, 4(2), 67.
- Liang, Z. C. (2019). The origin of gravitation and electromagnetism. Theoretical Physics, 4(2), 85-102.
- Liang, Z. C. (2019). Cluster ensemble statistics of body particle system. New Horiz. Math. Phys, 3, 53.
- Liang, Z. C. (2021). Dark matter and real-particle field theory. Glob. J. Sci. Front. Res. A, 21(6), 27-39.
- Kuhn, T. S. (1970). The Structure of Scientific Revolutions, 2nd enl. ed. University of Chicago Press.
- Liang, Z. C. A physical theory based on barycenter reference frames II. Principles of particle dynamics.
- H. W. Deng. (2008). Linear Algebra, Beijing: Tsinghua University Press. (2008). Comprehensive association analyses of IGF1, ESR2, and CYP17 genes with adult height in Caucasians. European journal of human genetics, 16(11), 1380-1387.
- Liang, Z. (2015). Physical principles of finite particle system. Scientific Research Publishing, Inc. USA.
- Guo, S. H. (2008). Electrodynamics. China Higher Education Press, 121-158.
- Overduin, J. M., & Wesson, P. S. (2002). Dark sky, dark matter. CRC Press.
- Wikipedia contributors. (2024, February 24). Bulk modulus. In Wikipedia, The Free Encyclopedia. Retrieved 15:47, May 29, 2024
- Planck, M. (1900). Zur theorie des gesetzes der energieverteilung im normalspektrum. VhDPG, 2, 238.
- Fixsen, D. J. (2009). The temperature of the cosmic microwave background. The Astrophysical Journal, 707(2), 916.
- Liang, Z. C., & Xie, L. H. (2023). Wave or particle? Quantum behavior of solar system. Glob. J. Sci. Front. Res, 23(9).
- Liang, Z. C., & Chen, N. N. (2023). The distortion and quantization of the Earth’s orbit. J. Phys. Chem. Biophys, 13, 361.
- Qian, B. C. (2006). Quantum Mechanics. Higher Education Pres, 5:191.
