Research Article - (2025) Volume 8, Issue 2
A New Estimate for Doppler Spectrum When Operating Space-Based SAR Over the Ocean
Received Date: Apr 01, 2025 / Accepted Date: Apr 25, 2025 / Published Date: Apr 30, 2025
Copyright: ©?©2025 Mikhail B Kanevsky. This is an open-access article distributed under the terms of the Creative Commons Attribution License, which permits unrestricted use, distribution, and reproduction in any medium, provided the original author and source are credited.
Citation: Kanevsky, M. B. (2025). A New Estimate for Doppler Spectrum When Operating Space-Based SAR Over the Ocean. J Mari Scie Res Ocean, 8(2), 01-02.
Abstract
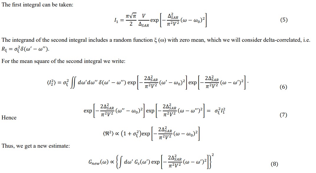
As is known, when operating SAR over the ocean, the simple estimate of the Doppler spectrum (FFT transform of a signal realization) fluctuates strongly around the mean value (i.e. around the Doppler spectrum itself). This circumstance does not allow the Doppler centroid to be accurately determined, which leads to errors in remote measurement of the current velocity on the ocean surface. The solution to this problem by accumulating a sufficient quantity of the estimates mentioned above is hardly possible due to the high speed of the SAR carrier. Smoothing a single estimate with a sliding window also does not guarantee that the centroid will not shift. Below we propose an estimate that, firstly, smoothes the simple one and, secondly, unlike smoothing using a sliding window, reproduces the shape of the Doppler spectrum, preserving the position of its centroid in a statistical sense.
Introduction
As is known, when operating SAR over the ocean, the simple estimate of the Doppler spectrum (FFT transform of a signal realization) fluctuates strongly around the mean value (i.e. around the Doppler spectrum itself). This circumstance does not allow the Doppler centroid to be accurately determined, which leads to errors in remote measurement of the current velocity on the ocean surface. The solution to this problem by accumulating a sufficient quantity of the estimates mentioned above is hardly possible due to the high speed of the SAR carrier. Smoothing a single estimate with a sliding window also does not guarantee that the centroid will not shift. Below we propose an estimate that, firstly, smoothes the simple one and, secondly, unlike smoothing using a sliding window, reproduces the shape of the Doppler spectrum, preserving the position of its centroid in a statistical sense.


It is obvious that the new estimate smoothõs out the simple one, and at the same time its mean value and the Doppler spectrum coincide up to a factor determined by the state of the surface.
Finally, we note that taking into account the influence of relatively weak thermal noise in the SAR receiver leads to the appearance of a small constant part on the right side of formula (7) and a slower decline at the edges of the spectrum. The position of the Doppler centroid remains unchanged
References
1. Kanevsky, M. B. (2024). On the Doppler Spectrum for the Signal of a Space Borne SAR Operated Over the Ocean. J Mari Sci Res Ocean, 2024, 7(2), 01-05

